ПРИМІТКА: Тара, включаючи КСМ і великогабаритну тару, маркірована відповідно до вимог розділів/пунктів 6.1.3, 6.2.2.7, 6.2.2.8, 6.2.2.9, 6.2.2.10, 6.3.4, 6.5.2 або 6.6.3, але затверджена в країні, що не є Договірною стороною, може, проте, використовуватися для перевезення відповідно до ДОПНВ.
4.1.1 Загальні положення з упакування небезпечних вантажів у тару, включаючи КСМ і великогабаритну тару
ПРИМІТКА: У випадку упакування вантажів класів 2, 6.2 і 7 Загальні положення цього розділу застосовуються тільки відповідно до умов, зазначених у пунктах 4.1.8.2 (клас 6.2, № ООН 2814 і 2900), 4.1.9.1.5 (клас 7), і в застосовних інструкціях з упакування, викладених у розділі 4.1.4 (P201, P207 і LP200 – для класу 2 і P620, P621, P622, IBC620, LP621 і LP622 – для класу 6.2).
4.1.1.1 Небезпечні вантажі повинні упаковуватися в доброякісну тару, включаючи КСМ і великогабаритну тару, яка повинна бути досить міцною, щоб витримувати удари й навантаження, що зазвичай виникають під час перевезення, у тому числі при перевантаженні між вантажними транспортними одиницями й між вантажними транспортними одиницями й складами, а також при будь-якому переміщенні з піддона або вилученні з транспортного пакета з метою наступної ручної або механічної обробки. Тара, включаючи КСМ і великогабаритну тару, повинна бути сконструйована й закриватися таким чином, щоб упаковка, підготовлена до транспортування, не допускала якої-небудь втрати вмісту, яка могла б відбутися в нормальних умовах перевезення в результаті вібрації, зміни температури, вологості або тиску (наприклад, через висоту). Тара, включаючи КСМ і великогабаритну тару, повинна закриватися відповідно до інформації, наданої виробником. Під час перевезення на зовнішню поверхню тари, КСМ і великогабаритну тару не повинно налипати ніяких залишків небезпечної речовини. Ці положення відповідним чином застосовуються до нової, багаторазово використовуваної, відновленої або реконструйованої тарі, а також до нових, багаторазово використовуваних, відремонтованих або реконструйованих КСМ і до нової, багаторазово використовуваної або реконструйованої великогабаритної тари.
4.1.1.2 Компоненти тари, включаючи КСМ і великогабаритну тару, що знаходяться у безпосередньому контакті з небезпечними вантажами:
a) не повинні піддаватися впливу цих небезпечних вантажів або значною мірою втрачати свою міцність у результаті такого впливу;
b) не повинні викликати небезпечних ефектів, наприклад каталізувати реакцію або реагувати з небезпечними вантажами; і
c) не повинні допускати витоку небезпечних вантажів, який міг би становити небезпеку в нормальних умовах перевезення.
За необхідності вони повинні бути забезпечені відповідним внутрішнім покриттям або їх внутрішня поверхня повинна бути піддана відповідній обробці.
ПРИМІТКА: Відносно хімічної сумісності пластмасової тари, включаючи КСМ, виготовленої з поліетилену, див. підрозділ 4.1.1.21.
4.1.1.3 Тип конструкції
4.1.1.3.1 Якщо іншими положеннями ДОПНВ не передбачено протилежне, то кожна одиниця тари, включаючи КСМ і великогабаритну тару, за винятком внутрішньої тари, повинна відповідати типу конструкції, що успішно пройшов випробування згідно з вимогами, викладеними, залежно від конкретного випадку, у розділах 6.1.5, 6.3.5, 6.5.6 або 6.6.5.
4.1.1.3.2 Тара, включаючи КСМ і великогабаритну тару, може відповідати одному або декільком успішно випробуваним типам конструкції й може мати більше одного маркувального знака.
4.1.1.4 При наповненні тари, включаючи КСМ і великогабаритну тару, рідинами необхідно залишати достатній вільний простір (недолив) для запобігання витоку або залишковій деформації тари в результаті розширення рідини, викликаній можливою зміною температури під час перевезення. Якщо не передбачено будь-яких спеціальних вимог, рідина не повинна повністю заповнювати тару при температурі 55 °C. Однак при наповненні КСМ слід залишати незаповнений простір, достатній для того, щоб при середній температурі вантажу 50 °C він був заповнений не більше ніж на 98% його місткості по воді. Якщо положеннями для різних класів не передбачено інше, то максимальний ступінь наповнення при температурі наповнення 15 °С не повинен перевищувати наступних величин:
|
а) |
Температура кипіння (температура початку кипіння) речовини, в °C |
< 60 |
≥ 60 < 100 |
≥ 100 < 200 |
≥ 200 < 300 |
≥ 300 |
|
Ступінь наповнення як відсоток від місткості тари |
90 |
92 |
94 |
96 |
98 |
або
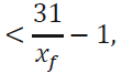
b) ступінь наповнення =
місткості тари.
У цій формулі α означає середню величину коефіцієнта об’ємного розширення рідини в межах між 15 °C і 50 °C, тобто при максимальному збільшенні температури на 35 °C.
α обчислюється за формулою:
де d15 і d50 – відносна щільність1 рідини при температурах відповідно 15 °C і 50 °C; tf – середня температура рідини під час наповнення.
4.1.1.5 Внутрішня тара повинна укладатися в зовнішню тару таким чином, щоб у нормальних умовах перевезення не відбувалося її розриву, проколу або витоку її вмісту в зовнішню тару. Внутрішня тара, що містить рідини, повинна упаковуватися запірними пристроями нагору й укладатися в зовнішню тару відповідно до маркувальних знаків положення, вказаних в підрозділі 5.2.1.10. Крихка або внутрішня тара, що легко пробивається, наприклад виготовлена зі скла, порцеляни, кераміки або деяких пластмасових матеріалів і т.д., повинна укладатися в зовнішню тару з використанням придатного прокладного матеріалу. Будь-який витік умісту не повинен суттєво погіршувати захисні властивості прокладного матеріалу або зовнішньої тари.
4.1.1.5.1 У випадку успішного проведення випробувань зовнішньої тари в складі комбінованої тари або великогабаритної тари разом з різними видами внутрішньої тари в цю зовнішню тару або великогабаритну тару можуть поміщатися різні види такої внутрішньої тари. Крім того, за умови збереження еквівалентного рівня надійності, без додаткового випробування упаковки допускаються наступні варіанти відносно внутрішньої тари:
a) може використовуватися внутрішня тара такого ж самого або меншого розміру за умови, що:
i) внутрішня тара має конструкцію, аналогічну конструкції випробуваної внутрішньої тари (наприклад, форма: кругла, прямокутна і т.д.);
ii) конструкційний матеріал внутрішньої тари (скло, пластмаса, метал і т.д.) чинить опір впливу сил, що виникають при ударі й штабелюванні, у такому ж або більшому ступені, ніж матеріал спочатку випробуваної внутрішньої тари;
iii) внутрішня тара має отвори такого ж самого або меншого розміру, а також затвор аналогічної конструкції (наприклад ковпак, що нагвинчується, притерта пробка і т.д.);
iv) використовується достатня додаткова кількість прокладного матеріалу для заповнення порожнин і запобігання значним переміщенням внутрішньої тари; і
v) внутрішня тара розташована в зовнішній тарі в такий же спосіб, як і у випробуваній упаковці;
b) при випробуваннях може використовуватися менша кількість одиниць внутрішньої тари або альтернативних видів внутрішньої тари, зазначених у підпункті а) вище, за умови додавання достатньої кількості прокладного матеріалу для заповнення вільного(их) простору (просторів) і запобігання значним переміщенням внутрішньої тари.
4.1.1.5.2 Використання додаткової тари усередині зовнішньої тари (наприклад, проміжної тари або посудини усередині необхідної внутрішньої тари), крім тари, передбаченої інструкціями з упакування, дозволяється за умови, що виконані всі відповідні вимоги, включаючи вимоги пункту 4.1.1.3, і, за необхідності, використаний придатний прокладний матеріал для запобігання переміщенням усередині тари.
4.1.1.6 Небезпечні вантажі не повинні міститися в ту саму зовнішню тару або великогабаритну тару разом з небезпечними або іншими вантажами, якщо вони можуть вступати один з одним у небезпечну реакцію й викликати:
a) загоряння або виділення значної кількості тепла;
b) виділення займистих, задушливих, окиснювальних або токсичних газів;
c) утворення корозійних речовин; або
d) утворення нестійких речовин.
ПРИМІТКА: Відносно спеціальних положень зі сумісного упакування див. розділ 4.1.10.
4.1.1.7 Затвори тари, що містить зволожені або розведені речовини, повинні бути такими, щоб під час перевезення процентний вміст рідини (води, розчинника або флегматизатора) не зменшувався нижче встановлених меж.
4.1.1.7.1 Якщо на КСМ є два або більше послідовно розташованих затворів, то найближчий до речовини, що перевозиться, затвор повинен закриватися в першу чергу.
4.1.1.8 Якщо усередині упаковки за рахунок виділення газів її вмістом (у результаті підвищення температури або з іншої причини) може підвищитися тиск, тара або КСМ можуть бути оснащені вентиляційним отвором, за умови, що газ, який виділився, не створює небезпеки, наприклад, у силу своєї токсичності, займистості або вивільненої кількості.
Якщо в результаті звичайного розкладання речовин може виникнути небезпечний надлишковий тиск, повинно бути передбачено вентиляційний пристрій. Вентиляційний отвір повинно бути виконано так, щоб у тому положенні тари або КСМ, у якому передбачене їх транспортування, виключалася можливість витоку рідини й проникнення сторонніх речовин у нормальних умовах перевезення.
ПРИМІТКА: При повітряних перевезеннях наявність вентиляційних отворів у тарі не допускається.
4.1.1.8.1 Рідини можуть заливатися тільки у внутрішню тару, здатну витримати внутрішній тиск, який може виникнути у нормальних умовах перевезення.
4.1.1.9 Нова, реконструйована або багаторазово використовувана тара, включаючи КСМ і великогабаритну тару, відновлена тара або КСМ, що були відремонтовані або пройшли поточне технічне обслуговування, повинні бути здатні витримувати випробування, вказані, залежно від конкретного випадку, у розділах 6.1.5, 6.3.5, 6.5.6 або 6.6.5. Перед наповненням і пред’явленням до перевезення кожна одиниця тари, включаючи КСМ і великогабаритну тару, повинна бути перевірена на предмет відсутності корозії, забруднення або будь-яких інших ушкоджень, а кожний КСМ – на предмет належного функціонування всього експлуатаційного обладнання. Кожна одиниця тари з ознаками зменшення міцності в порівнянні із затвердженим типом конструкції не повинна далі використовуватися або повинна бути відновлена таким чином, щоб вона могла витримати випробування, передбачені для даного типу конструкції. Кожний КСМ із ознаками зменшення міцності в порівнянні з випробуваним типом конструкції не повинен далі використовуватися або повинен бути відремонтований або підданий поточному технічному обслуговуванню таким чином, щоб він міг витримати випробування, передбачені для даного типу конструкції.
4.1.1.10 Рідини повинні заливатися тільки в тару, включаючи КСМ, здатну витримати внутрішній тиск, який може виникнути в нормальних умовах перевезення. Тара й КСМ, у маркуванні яких зазначений випробувальний гідравлічний тиск, вказаний відповідно в пунктах 6.1.3.1 d) і 6.5.2.2.1, повинні заповнюватися тільки такими рідинами, у яких тиск пар:
a) такий, що загальний манометричний тиск у тарі або КСМ (тобто тиск пар речовини, що заливається, плюс парціальний тиск повітря або інших інертних газів за винятком 100 кПа) при 55 °C, розрахований для максимального ступеня наповнення відповідно до підрозділу 4.1.1.4 і температури наповнення 15 °C, не перевищить 2/3 зазначеного в маркуванні випробувального тиску; або
b) при 50 °C складе менше 4/7 зазначеного в маркуванні випробувального тиску плюс 100 кПа; або
c) при 55 °C складе менше 2/3 зазначеного в маркуванні випробувального тиску плюс 100 кПа.
КСМ, призначені для перевезення рідин, не повинні використовуватися для перевезення рідин, що мають тиск пар більше 110 кПа (1,1 бар) при 50 °C або 130 кПа (1,3 бар) при 55 °C.
Приклади необхідних значень, що вказуються в маркуванні, випробувального тиску для тари, включаючи КСМ, розрахованих відповідно до пункту 4.1.1.10 с)
|
№ ООН |
Найменування |
Клас |
Група упаку-вання |
Vp55 (кПа) |
Vp55 ´ 1,5 (кПа) |
(Vp55 ´ 1,5) мінус 100 (кПа) |
Необхідний мінімальний (манометричний) випробувальний тиск відповідно до пункту 6.1.5.5.4 c) (кПа) |
Мінімальний (манометричний) випробувальний тиск, що вказується на упаковці (кПа) |
|
Тетрагідрофуран |
3 |
II |
70 |
105 |
5 |
100 |
100 |
|
|
н-Декан |
3 |
III |
1,4 |
2,1 |
–97,9 |
100 |
100 |
|
|
Дихлорметан |
6.1 |
III |
164 |
246 |
146 |
146 |
150 |
|
|
Ефір діетиловий |
3 |
I |
199 |
299 |
199 |
199 |
250 |
ПРИМІТКА 1: Для чистих рідин тиск пар при 55 °C (Vp55) часто можна одержати з таблиць, наведених у науково-технічних довідниках.
ПРИМІТКА 2: Наведені в таблиці значення розраховані тільки згідно з пунктом 4.1.1.10 c), тобто випробувальний тиск, що вказується на упаковці, повинен в 1,5 рази перевищувати тиск пар при 55 °C мінус 100 кПа. Якщо, наприклад, випробувальний тиск для н-декану визначається відповідно до пункту 6.1.5.5.4 a), то мінімальний зазначений на упаковці випробувальний тиск може бути нижче.
ПРИМІТКА 3: Для діетилового ефіру необхідний мінімальний випробувальний тиск відповідно до пункту 6.1.5.5.5 становить 250 кПа.
4.1.1.11 До порожньої тари, включаючи КСМ і великогабаритну тару, що містила небезпечну речовину, застосовуються ті ж самі вимоги, що й до тари з вантажем, якщо тільки не вжиті відповідні заходи для усунення будь-якої небезпеки.
ПРИМІТКА: Коли така тара перевозиться для видалення, утилізації або рекуперації її матеріалу, вона може перевозитися також під № ООН 3509 за умови виконання вимог спеціального положення 663 глави 3.3.
4.1.1.12 Кожна одиниця тари, зазначеної в главі 6.1, що призначена для наповнення рідиною, повинна пройти відповідне випробування на герметичність. Дане випробування є частиною програми забезпечення якості, передбаченої в пункті 6.1.1.4, яка підтверджує здатність відповідати належному рівню випробувань, зазначеному в пункті 6.1.5.4.3:
a) до першого використання з метою перевезення;
b) після реконструкції або відновлення будь-якої тари, перед її черговим використанням з метою перевезення.
Для цього випробування не потрібно, щоб тара була оснащена власними затворами. Внутрішні посудини складеної тари можуть випробовуватися без зовнішньої тари за умови, що це не вплине на результати випробування. Це випробування не потрібно для:
– внутрішньої тари в складі комбінованої тари або великогабаритної тари;
– внутрішніх посудин складеної тари (зі скла, порцеляни або кераміки), маркірованої символом «RID/ADR» відповідно до пункту 6.1.3.1 а) ii);
– легкої металевої тари, маркірованої символом «RID/ADR» відповідно до пункту 6.1.3.1 а) ii).
4.1.1.13 Тара, включаючи КСМ, використовувана для твердих речовин, здатних переходити в рідкий стан при температурах, які можуть виникнути під час перевезення, повинна бути також здатна втримувати речовину в рідкому стані.
4.1.1.14 Тара, включаючи КСМ, використовувана для порошкоподібних або гранульованих речовин, повинна бути щільною або оснащена вкладишем.
4.1.1.15 Якщо компетентний орган не прийняв іншого рішення, то для пластмасових барабанів і каністр, твердих пластмасових КСМ і складених КСМ із пластмасовою внутрішньою ємністю дозволений період експлуатації для перевезення небезпечних речовин становить п’ять років з дати виготовлення посудин/ємностей, за винятком тих випадків, коли вказаний більш короткий період експлуатації через характер речовини, що перевозиться.
ПРИМІТКА: Для складаних КСМ період експлуатації стосується дати виготовлення внутрішньої ємності.
4.1.1.16 Якщо в якості холодоагенту використовується лід, він не повинен порушувати цілісність тари.
4.1.1.17 (Виключено)
4.1.1.18 Вибухові речовини й вироби, самореактивні речовини й органічні пероксиди
Якщо в ДОПНВ не міститься спеціального положення, яке передбачає інше, то тара, включаючи КСМ і великогабаритну тару, використовувана для упакування вантажів класу 1, самореактивних речовин класу 4.1 і органічних пероксидів класу 5.2, повинна відповідати вимогам, встановленим до групи речовин середнього ступеня небезпеки (група упакування II).
4.1.1.19 Використання аварійної тари й великогабаритної аварійної тари
4.1.1.19.1 Упаковки, що були ушкоджені, мають дефекти, протекли, що не відповідають вимогам або що мають витеклі або просипані небезпечні вантажі можуть перевозитися в аварійній тарі, яка згадана в пункті 6.1.5.1.11, і великогабаритній аварійній тарі, згаданій в пункті 6.6.5.1.9. При цьому не виключається можливість використання тари більших розмірів, КСМ типу 11А або великогабаритної тари відповідного типу й рівня випробувань із дотриманням умов, викладених у пунктах 4.1.1.19.2 і 4.1.1.19.3.
4.1.1.19.2 Повинні вживатися відповідні заходи для запобігання надмірним переміщенням упаковок, що були ушкоджені або протекли усередині аварійної тари або великогабаритної аварійної тари. Якщо аварійна тара або великогабаритна аварійна тара містить рідини, в неї повинна бути поміщена достатня кількість інертного абсорбувального матеріалу, здатного поглинути рідину, що вивільнилася.
4.1.1.19.3 Повинні вживатися відповідні заходи для запобігання небезпечному підвищенню тиску.
4.1.1.20 Використання аварійних посудин під тиском
4.1.1.20.1 У випадку посудин під тиском, що були ушкоджені, мають дефекти, протікають або не відповідають вимогам, можуть використовуватися аварійні посудини під тиском відповідно до підрозділу 6.2.3.11.
ПРИМІТКА: Аварійна посудина під тиском може використовуватися в якості транспортного пакета відповідно до розділу 5.1.2. Коли він використовується як транспортний пакет, маркувальні знаки повинні відповідати вимогам пункту 5.1.2.1, а не пункту 5.2.1.3.
4.1.1.20.2 Посудини під тиском повинні поміщуватися в аварійні посудини під тиском відповідного розміру. В одну й ту саму аварійну посудину під тиском можна поміщати більше однієї посудини під тиском тільки в тому випадку, якщо вантажі, що містяться в посудинах, відомі й ці вантажі не вступають у небезпечну реакцію один з одним (див. пункт 4.1.1.6). У цьому випадку загальна сума значень місткості по воді поміщених посудин під тиском не повинна перевищувати 3 000 літрів. Повинні вживатися відповідні заходи для запобігання переміщенню посудин під тиском усередині аварійної посудини під тиском, наприклад за допомогою використання перегородок, кріплень або прокладного матеріалу.
4.1.1.20.3 Посудина під тиском може бути поміщена в аварійну посудину під тиском тільки в тому випадку, якщо:
a) аварійна посудина під тиском відповідає вимогам підрозділу 6.2.3.11 і є копія свідоцтва про затвердження;
b) частини аварійної посудини під тиском, які знаходяться або можуть знаходитися в прямому контакті з небезпечними вантажами, не будуть ушкоджені або ослаблені цими небезпечними вантажами й не викличуть небезпечного ефекту (наприклад, не будуть каталізувати реакцію або реагувати з небезпечними вантажами); і
c) уміст посудини(ин) під тиском, що міститься(яться) в аварійній посудині під тиском, обмежений по тиску й об’єму таким чином, що у випадку його повного скидання в аварійну посудину під тиском тиск в аварійній посудині під тиском при 65 °С не перевищить його випробувального тиску (відносно газів див. інструкцію з упакування P200 (3) у підрозділі 4.1.4.1). Необхідно брати до уваги можливість зменшення корисної місткості по воді аварійної посудини під тиском, наприклад через наявність у посудині будь-якого обладнання або прокладного матеріалу.
4.1.1.20.4 Для цілей перевезення на аварійну посудину під тиском повинні наноситися належне відвантажувальне найменування, номер ООН, якому передують літери «UN», і знак(и) небезпеки, вказані для упаковок у главі 5.2, які застосовуються до небезпечних вантажів, що містяться в посудині(ах) під тиском, поміщеній(их) в аварійну посудину під тиском.
4.1.1.20.5 Аварійні посудини під тиском повинні піддаватися очищенню, продувці й візуальній перевірці їх зовнішнього й внутрішнього стану після кожного використання. Вони повинні проходити періодичні перевірки і випробування відповідно до підрозділу 6.2.3.5 принаймні кожні п’ять років.
4.1.1.21 Перевірка хімічної сумісності пластмасової тари, включаючи КСМ, на підставі віднесення наповнювачів до стандартних рідин
4.1.1.21.1 Сфера застосування
У випадку тари з поліетилену, зазначеної в пункті 6.1.5.2.6, і КСМ із поліетилену, зазначених у пункті 6.5.6.3.5, хімічна сумісність із наповнювачами може бути перевірена на підставі віднесення наповнювачів до стандартних рідин відповідно до процедур, викладених у пунктах 4.1.1.21.3-4.1.1.21.5, і з використанням переліку, що міститься в таблиці пункту 4.1.1.21.6, за умови що окремі типи конструкції випробувані з використанням цих стандартних рідин відповідно до розділів 6.1.5 або 6.5.6 з урахуванням розділу 6.1.6 і дотримані умови, передбачені в пункті 4.1.1.21.2. Коли віднесення до стандартних рідин відповідно до цього підрозділу не є можливим, хімічна сумісність повинна бути перевірена шляхом проведення випробувань типу конструкції відповідно до пункту 6.1.5.2.5 або лабораторних випробувань відповідно до пункту 6.1.5.2.7 у випадку тари й відповідно до пунктів 6.5.6.3.3 або 6.5.6.3.6 у випадку КСМ.
ПРИМІТКА: Незалежно від положень цього підрозділу, на використання тари, включаючи КСМ, для окремого наповнювача поширюються обмеження, передбачені в таблиці А глави 3.2, і інструкції з упакування, викладені в главі 4.1.
4.1.1.21.2 Умови
Значення відносної щільності наповнювачів не повинні перевищувати значень, які застосовувалися для визначення висоти при випробуванні на падіння, успішно проведеному відповідно до пунктів 6.1.5.3.5 або 6.5.6.9.4, і для визначення маси при випробуванні на штабелювання, успішно проведеному відповідно до підрозділу 6.1.5.6 або, за необхідності, відповідно до підрозділу 6.5.6.6 з використанням еквівалентної(их) стандартної(их) рідини (рідин). Значення тиску пар наповнювачів при 50 °С або 55 °С не повинні перевищувати значень, які застосовувалися для визначення тиску при випробуванні на внутрішній тиск (гідравлічний), успішно проведеному відповідно до пунктів 6.1.5.5.4 або 6.5.6.8.4.2 з використанням еквівалентної(их) стандартної(их) рідини (рідин). У тому випадку, якщо наповнювачі віднесені до комбінації стандартних рідин, значення відповідних характеристик наповнювачів не повинні перевищувати мінімальних значень, отриманих на підставі значень висоти падіння, маси при штабелюванні й внутрішнього тиску стандартних рідин, що застосовувалися при випробуваннях з використанням еквівалентних стандартних рідин.
Приклад: № ООН 1736 Бензоїлхлорид відноситься до комбінації стандартних рідин «суміш вуглеводнів і змочувальний розчин». Бензоїлхлорид має при 50 °С тиск пар 0,34 кПа й відносну щільність приблизно 1,2. Випробування типу конструкції пластмасових барабанів і каністр часто здійснюються на мінімальному необхідному рівні випробувань. На практиці це означає, що випробування на штабелювання зазвичай проводиться із застосуванням навантажень, розрахованих на основі значення відносної щільності, що становить лише 1,0 у випадку «суміші вуглеводнів» і 1,2 у випадку «змочувального розчину» (див. визначення стандартних рідин у розділі 6.1.6). Внаслідок цього хімічна сумісність випробуваних у такий спосіб типів конструкції не може бути перевірена для бензоїлхлориду через неадекватний рівень випробувань типу конструкції з використанням стандартної рідини «суміш вуглеводнів». (Оскільки в більшості випадків застосовуваний при випробуваннях внутрішній гідравлічний тиск становить не менше 100 кПа, значення тиску пар бензоїлхлориду буде враховане при такому рівні випробувань відповідно до підрозділу 4.1.1.10.)
Усі компоненти наповнювача, якими можуть бути розчин, суміш або препарат, наприклад змочувальні компоненти детергентів і дезінфікуючих засобів, як небезпечні, так і безпечні, повинні враховуватися в рамках процедури віднесення до стандартних рідин.
4.1.1.21.3 Процедура віднесення до стандартних рідин
Для віднесення наповнювачів до речовин або груп речовин, перелічених у таблиці 4.1.1.21.6, слід ужити наступних заходів (див. також схему на рис. 4.1.1.21.1):
a) класифікувати наповнювач відповідно до процедур і критеріїв, викладених у частині 2 (визначення номера ООН і групи упакування);
b) якщо він зазначений в таблиці 4.1.1.21.6, знайти відповідний номер ООН у стовпчику 1 цієї таблиці;
c) вибрати відповідну графу з погляду групи упакування, концентрації, температури спалаху, присутності безпечних компонентів і т.д., виходячи з інформації, наведеної у стопвчиках 2а, 2b і 4, якщо для даного номера ООН є кілька позицій.
Якщо зробити це неможливо, хімічна сумісність повинна бути перевірена відповідно до пунктів 6.1.5.2.5 або 6.1.5.2.7 у випадку тари й відповідно до пунктів 6.5.6.3.3 або 6.5.6.3.6 у випадку КСМ (однак у випадку водних розчинів див. пункт 4.1.1.21.4);
d) якщо номер ООН і група упакування наповнювача, визначені відповідно до підпункту а), не зазначені в переліку еквівалентів, хімічна сумісність повинна бути доведена відповідно до пунктів 6.1.5.2.5 або 6.1.5.2.7 у випадку тари й відповідно до пунктів 6.5.6.3.3 або 6.5.6.3.6 у випадку КСМ;
e) застосувати «Правило для зведених позицій», викладене в пункті 4.1.1.21.5, якщо воно зазначене в стовпчику 5 для обраної графи;
f) хімічна сумісність наповнювача може вважатися перевіреною з урахуванням пунктів 4.1.1.21.1 і 4.1.1.21.2, якщо в стовпчику 5 зазначена еквівалентна стандартна рідина або комбінація стандартних рідин і тип конструкції затверджено для цієї(их) стандартної(их) рідини (рідин).
Рис. 4.1.1.21.1. Схема віднесення наповнювачів до стандартних рідин

4.1.1.21.4 Водні розчини
Водні розчини речовин і груп речовин, віднесених до певної(их) стандартної(их) рідини (рідин) відповідно до пункту 4.1.1.21.3, можуть бути також віднесені до тієї (тих) ж самої(их) стандартної(их) рідини (рідин) при дотриманні наступних умов:
a) водний розчин може бути віднесений до того ж самого номеру ООН, що й зазначена в переліку речовина, відповідно до критеріїв, викладених у підрозділі 2.1.3.3; і
b) водний розчин конкретно не зазначений іншим способом у переліку еквівалентів у пункті 4.1.1.21.6; і
c) між небезпечною речовиною й водою, що міститься в розчині, не відбувається хімічної реакції.
Приклад: Водні розчини № ООН 1120 трет-бутанолу:
– чистий трет-бутанол сам по собі віднесений у переліку еквівалентів до стандартної рідини «оцтова кислота»;
– водні розчини трет-бутанолу можуть бути віднесені до позиції під № ООН 1120 БУТАНОЛИ відповідно до підрозділу 2.1.3.3, оскільки водний розчин трет-бутанолу не відрізняється від зазначених у відповідних позиціях чистих речовин з погляду класу, групи (груп) упакування й фізичного стану. Крім того, позиція «1120 БУТАНОЛИ» прямо не обмежується лише чистими речовинами, і водні розчини цих речовин конкретно не зазначені іншим способом у таблиці А глави 3.2 і в переліку еквівалентів;
– № ООН 1120 БУТАНОЛИ не реагують із водою в нормальних умовах перевезення.
Отже, водні розчини № ООН 1120 трет-бутанолу можуть бути віднесені до стандартної рідини «оцтова кислота».
4.1.1.21.5 Правило для зведених позицій
Для віднесення до стандартних рідин наповнювачів, у відношенні яких у стовпчику 5 зазначене «Правило для зведених позицій», слід ужити наступних заходів при дотриманні наступних умов (див. також схему на рис. 4.1.1.21.2):
a) Виконати процедуру віднесення до стандартних рідин для кожного небезпечного компонента розчину, суміші або препарату відповідно до пункту 4.1.1.21.3 з урахуванням умов, передбачених у пункті 4.1.1.21.2. У випадку узагальнених позицій можна не враховувати компоненти, які, як відомо, не виявляють руйнуючого впливу на поліетилен високої щільності (наприклад, тверді барвники, що відносяться до № ООН 1263 ФАРБА або МАТЕРІАЛ ЛАКОФАРБОВИЙ).
b) Розчин, суміш або препарат не можуть бути віднесені до стандартної рідини, якщо
i) номер ООН і група упакування одного або декількох з небезпечних компонентів не зазначені в переліку еквівалентів; або
ii) «Правило для зведених позицій» зазначено в стовпчику 5 переліку еквівалентів для одного або декількох з компонентів; або
iii) (за винятком № ООН 2059 НІТРОЦЕЛЮЛОЗИ РОЗЧИНУ ЛЕГКОЗАЙМИСТОГО) класифікаційний код одного або декількох з небезпечних компонентів відрізняється від класифікаційного коду розчину, суміші або препарату.
c) Якщо всі небезпечні компоненти зазначені в переліку еквівалентів і їх класифікаційні коди відповідають класифікаційному коду самих розчину, суміші або препарату й усі небезпечні компоненти віднесено в стовпчику 5 до однієї й тієї ж стандартної рідини або комбінації стандартних рідин, то хімічна сумісність розчину, суміші або препарату може вважатися перевіреною з урахуванням положень пунктів 4.1.1.21.1 і 4.1.1.21.2.
d) Якщо всі небезпечні компоненти зазначені в переліку еквівалентів і їх класифікаційні коди відповідають класифікаційному коду самих розчину, суміші або препарату, але в стовпчику 5 зазначені різні стандартні рідини, то хімічна сумісність може вважатися перевіреною з урахуванням положень пунктів 4.1.1.21.1 і 4.1.1.21.2 тільки для наступних комбінацій стандартних рідин:
i) вода/азотна кислота (55%), за винятком неорганічних кислот із класифікаційним кодом С1, які віднесені до стандартної рідини «вода»;
ii) вода/змочувальний розчин;
iii) вода/оцтова кислота;
iv) вода/суміш вуглеводнів;
v) вода/н-бутилацетат – н-бутилацетат – насичений змочувальний розчин.
e) У рамках сфери застосування цього правила хімічна сумісність не вважається перевіреною для інших комбінацій стандартних рідин, крім тих, які зазначені в підпункті d), і для всіх випадків, зазначених у підпункті b). У таких випадках хімічна сумісність повинна бути перевірена іншим способом (див. пункт 4.1.1.21.3 d)).
Приклад 1: Суміш № ООН 1940 КИСЛОТИ ТІОГЛІКОЛЕВОЇ (50%) і № ООН 2531 КИСЛОТИ МЕТАКРИЛОВОЇ СТАБІЛІЗОВАНОЇ (50%); класифікація даної суміші: № ООН 3265 КОРОЗІЙНА РІДИНА КИСЛА ОРГАНІЧНА, Н.З.К.
– У перелік еквівалентів включені як номери ООН компонентів, так і номер ООН суміші;
– як компоненти, так і суміш мають один і той самий класифікаційний код: C3;
– № ООН 1940 КИСЛОТА ТІОГЛІКОЛЕВА відноситься до стандартної рідини «оцтова кислота», а № ООН 2531 КИСЛОТА МЕТАКРИЛОВА СТАБІЛІЗОВАНА – до стандартної рідини «н-Бутилацетат/н-бутилацетат – насичений змочувальний розчин». Відповідно до підпункту d) ця комбінація стандартних рідин не є прийнятною. Хімічна сумісність цієї суміші повинна бути перевірена іншим способом.
Приклад 2: Суміш № 1793 КИСЛОТИ ІЗОПРОПІЛФОСФОРНОЇ (50%) і № ООН 1803 ФЕНОЛСУЛЬФОКИСЛОТИ РІДКОЇ (50%); класифікація даної суміші: № ООН 3265 КОРОЗІЙНА РІДИНА КИСЛА ОРГАНІЧНА, Н.З.К.
– У перелік еквівалентів включені як номери ООН компонентів, так і номер ООН суміші;
– як компоненти, так і суміш мають один і той самий класифікаційний код: C3;
– № ООН 1793 КИСЛОТА ІЗОПРОПІЛФОСФОРНА відноситься до стандартної рідини «змочувальний розчин», а № ООН 1803 ФЕНОЛСУЛЬФОКИСЛОТА РІДКА – до стандартної рідини «вода». Відповідно до підпункту d) ця комбінація стандартних рідин є однією з прийнятних. Отже, хімічна сумісність цієї суміші може вважатися перевіреною за умови, що тип конструкції тари затверджений для стандартних рідин «змочувальний розчин» і «вода».
Рис. 4.1.1.21.2. Схема «Правила для зведених позицій»

Прийнятні комбінації стандартних рідин:
– вода/азотна кислота (55%), за винятком неорганічних кислот із класифікаційним кодом C1, які віднесені до стандартної рідини «вода»;
– вода/змочувальний розчин;
– вода/оцтова кислота;
– вода/суміш вуглеводнів;
– вода/н-бутилацетат – н-бутилацетат – насичений змочувальний розчин.
4.1.1.21.6 Перелік еквівалентів
У нижченаведеній таблиці (перелік еквівалентів) небезпечні речовини наведені в порядку їх номерів ООН. Як правило, у кожній графі зазначена одна небезпечна речовина, одна одиночна позиція або одна зведена позиція, яким присвоєний окремий номер ООН. Однак для одного й того ж самого номера ООН можуть бути використані кілька послідовно розташованих граф, якщо речовини, що відносяться до одного й того ж самого номера ООН, мають різні найменування (наприклад, окремі ізомери з групи речовин), різні хімічні властивості, різні фізичні властивості та/або вказані для них різні умови перевезення. У таких випадках одиночна позиція або зведена позиція в рамках даної групи упакування вказується в останній з таких послідовно розташованих граф.
Стовпчики 1–4 таблиці 4.1.1.21.6, схожої за своєю структурою з таблицею А глави 3.2, використовуються для ідентифікації речовини для цілей цього підрозділу. В останньому стовпчику вказується(ються) стандартна(і) рідина(и), до якої(их) може бути віднесена відповідна речовина.
Пояснення до стовпчиків:
Стовпчик 1 № ООН
У цьому стовпчику зазначений номер ООН:
– небезпечної речовини, якщо цій речовині присвоєний власний окремий номер ООН, або
– зведеної позиції, до якої віднесені небезпечні речовини, не зазначені за найменуванням, відповідно до критеріїв частини 2 («схеми прийняття рішення»).
Стовпчик 2а Належне відвантажувальне найменування або технічне найменування
У цьому стовпчику зазначене найменування речовини, найменування одиночної позиції, яке може охоплювати різні ізомери, або найменування зведеної позиції.
Зазначене найменування може відрізнятися від застосовного належного відвантажувального найменування.
Стовпчик 2b Опис
У цьому стовпчику міститься опис, що уточнює сферу охоплення відповідної позиції в тих випадках, коли класифікація, умови перевезення та/або хімічна сумісність речовини можуть варіюватися.
Стовпчик 3a Клас
У цьому стовпчику зазначений номер класу, назва якого охоплює дану небезпечну речовину. Цей номер класу привласнюється відповідно до процедур і критеріїв, викладених в частині 2.
Стовпчик 3b Класифікаційний код
У цьому стовпчику зазначений класифікаційний код, присвоєний небезпечній речовині відповідно до процедур і критеріїв, викладених в частині 2.
Стовпчик 4 Група упакування
У цьому стовпчику зазначений(і) номер(а) групи упакування (I, II або III), присвоєний(і) даній небезпечній речовині відповідно до процедур і критеріїв, викладених в частині 2. Деякі речовини не віднесені до груп упакування.
Стовпчик 5 Стандартна рідина
У цьому стовпчику зазначена – у якості точного еквівалента – стандартна рідина або комбінація стандартних рідин, до яких може бути віднесена дана речовина, або міститься посилання на правило для зведених позицій, викладене в пункті 4.1.1.21.5.
Таблиця 4.1.1.21.6. Перелік еквівалентів
|
Номер ООН |
Належне відвантажувальне найменування або технічне найменування |
Опис |
Клас |
Класи-фіка-ційний код |
Група упаку-вання |
Стандартна рідина |
|
3.1.2 |
3.1.2 |
2.2 |
2.2 |
2.1.1.3 |
||
|
(1) |
(2a) |
(2b) |
(3a) |
(3b) |
(4) |
(5) |
|
Ацетон |
3 |
F1 |
II |
Суміш вуглеводнів Зауваження: застосовується тільки в тому випадку, якщо доведено, що просочування речовини з упаковки, призначеної для перевезення, відбувається в прийнятних межах |
||
|
Акрилонітрил стабілізований |
3 |
FT1 |
I |
н-Бутилацетат/н- бутилацетат – насичений змочувальний розчин |
||
|
Амілацетати |
чисті ізомери й ізомерна суміш |
3 |
F1 |
III |
н-Бутилацетат/н- бутилацетат – насичений змочувальний розчин |
|
|
Пентаноли |
чисті ізомери й ізомерна суміш |
3 |
F1 |
II/III |
н-Бутилацетат/н- бутилацетат – насичений змочувальний розчин |
|
|
Аміламіни |
чисті ізомери й ізомерна суміш |
3 |
FC |
II/III |
Суміш вуглеводнів і змочувальний розчин |
|
|
Амілформіати |
чисті ізомери й ізомерна суміш |
3 |
F1 |
III |
н-Бутилацетат/н- бутилацетат – насичений змочувальний розчин |
|
|
Бутаноли |
чисті ізомери й ізомерна суміш |
3 |
F1 |
II/III |
Оцтова кислота |
|
|
Бутилацетати |
чисті ізомери й ізомерна суміш |
3 |
F1 |
II/III |
н-Бутилацетат/н- бутилацетат – насичений змочувальний розчин |
|
|
н-Бутиламін |
3 |
FC |
II |
Суміш вуглеводнів і змочувальний розчин |
||
|
н-Бутилформіат |
3 |
F1 |
II |
н-Бутилацетат/н- бутилацетат – насичений змочувальний розчин |
||
|
Бутиральдегід |
3 |
F1 |
II |
Суміш вуглеводнів |
||
|
Клеї |
що містять легко-займисту рідину |
3 |
F1 |
I/II/III |
Правило для зведених позицій |
|
|
Розчин для нанесення покриття |
включаючи розчини для обробки або покриття поверхонь, використовувані в промислових або інших цілях, наприклад для нанесення ґрунтувального покриття на корпус автомобілів, футерування барабанів або бочок |
3 |
F1 |
I/II/III |
Правило для зведених позицій |
|
|
Циклогексан |
3 |
F1 |
II |
Суміш вуглеводнів |
||
|
Циклопентан |
3 |
F1 |
II |
Суміш вуглеводнів |
||
|
Ефір діетиловий етиленгліколю |
3 |
F1 |
III |
н-Бутилацетат/н- бутилацетат – насичений змочувальний розчин і суміш вуглеводнів |
||
|
Діетиламін |
3 |
FC |
II |
Суміш вуглеводнів і змочувальний розчин |
||
|
Діізопропіламін |
3 |
FC |
II |
Суміш вуглеводнів і змочувальний розчин |
||
|
Диметиламіну водний розчин |
3 |
FC |
II |
Суміш вуглеводнів і змочувальний розчин |
||
|
Діоксан |
3 |
F1 |
II |
Суміш вуглеводнів |
||
|
Етанол або етанолу розчин |
водний розчин |
3 |
F1 |
II/III |
Оцтова кислота |
|
|
Ефір моноетиловий етиленгліколю |
3 |
F1 |
III |
н-Бутилацетат/н- бутилацетат – насичений змочувальний розчин і суміш вуглеводнів |
||
|
Ефір моноетиловий етиленгліколю й кислоти оцтової |
3 |
F1 |
III |
н-Бутилацетат/н- бутилацетат – насичений змочувальний розчин і суміш вуглеводнів |
||
|
Етилацетат |
3 |
F1 |
II |
н-Бутилацетат/н- бутилацетат – насичений змочувальний розчин |
||
|
2-Етилбутилацетат |
3 |
F1 |
III |
н-Бутилацетат/н- бутилацетат – насичений змочувальний розчин |
||
|
2-Етилбутиральдегід |
3 |
F1 |
II |
Суміш вуглеводнів |
||
|
Етилбутират |
3 |
F1 |
III |
н-Бутилацетат/н- бутилацетат – насичений змочувальний розчин |
||
|
Ефір монометиловий етиленгліколю |
3 |
F1 |
III |
н-Бутилацетат/н- бутилацетат – насичений змочувальний розчин і суміш вуглеводнів |
||
|
Ефір монометиловий етиленгліколю й кислоти оцтової |
3 |
F1 |
III |
н-Бутилацетат/н- бутилацетат – насичений змочувальний розчин і суміш вуглеводнів |
||
|
Етилформіат |
3 |
F1 |
II |
н-Бутилацетат/н- бутилацетат – насичений змочувальний розчин |
||
|
Альдегіди октилові |
чисті ізомери й ізомерна суміш |
3 |
F1 |
III |
Суміш вуглеводнів |
|
|
Етиллактат |
3 |
F1 |
III |
н-Бутилацетат/н- бутилацетат – насичений змочувальний розчин |
||
|
Етилпропіонат |
3 |
F1 |
II |
н-Бутилацетат/н- бутилацетат – насичений змочувальний розчин |
||
|
Екстракти рідкі для додання смаку або аромату |
3 |
F1 |
II/III |
Правило для зведених позицій |
||
|
Формальдегіду розчин, легкозаймистий |
водний розчин, температура спалаху від 23 °C до 60 °C |
3 |
FC |
III |
Оцтова кислота |
|
|
Паливо дизельне |
що відповідає стандарту EN 590:2013 + AC:2014 або з температурою спалаху не більше 100 °C |
3 |
F1 |
III |
Суміш вуглеводнів |
|
|
Газойль |
температура спалаху не більше 100 °C |
3 |
F1 |
III |
Суміш вуглеводнів |
|
|
Паливо пічне легке |
украй легке |
3 |
F1 |
III |
Суміш вуглеводнів |
|
|
Паливо пічне легке |
що відповідає стандарту EN 590:2013 + AC:2017 або з температурою спалаху не більше 100 °С |
3 |
F1 |
III |
Суміш вуглеводнів |
|
|
Бензин моторний, або газолін, або петрол |
3 |
F1 |
II |
Суміш вуглеводнів |
||
|
Гептани |
чисті ізомери й ізомерна суміш |
3 |
F1 |
II |
Суміш вуглеводнів |
|
|
Гексальдегід |
н-Гексальдегід |
3 |
F1 |
III |
Суміш вуглеводнів |
|
|
Гексани |
чисті ізомери й ізомерна суміш |
3 |
F1 |
II |
Суміш вуглеводнів |
|
|
Фарба типографська або Матеріал, використовуваний з типографською фарбою |
легкозаймиста (ий), включаючи розріджувач або розчинник типографської фарби |
3 |
F1 |
I/II/III |
Правило для зведених позицій |
|
|
Ізобутанол |
3 |
F1 |
III |
Оцтова кислота |
||
|
Ізобутилацетат |
3 |
F1 |
II |
н-Бутилацетат/н- бутилацетат – насичений змочувальний розчин |
||
|
Ізобутиламін |
3 |
FC |
II |
Суміш вуглеводнів і змочувальний розчин |
||
|
Ізооктени |
чисті ізомери й ізомерна суміш |
3 |
F1 |
II |
Суміш вуглеводнів |
|
|
Ізопропанол |
3 |
F1 |
II |
Оцтова кислота |
||
|
Ізопропілацетат |
3 |
F1 |
II |
н-Бутилацетат/н- бутилацетат – насичений змочувальний розчин |
||
|
Ізопропіламін |
3 |
FC |
I |
Суміш вуглеводнів і змочувальний розчин |
||
|
Гас |
3 |
F1 |
III |
Суміш вуглеводнів |
||
|
3,3-Диметил-2-бутанон |
3 |
F1 |
II |
Суміш вуглеводнів |
||
|
Кетони рідкі, н.з.к. |
3 |
F1 |
II/III |
Правило для зведених позицій |
||
|
Метанол |
3 |
FT1 |
II |
Оцтова кислота |
||
|
Метилацетат |
3 |
F1 |
II |
н-Бутилацетат/н- бутилацетат – насичений змочувальний розчин |
||
|
Метиламілацетат |
3 |
F1 |
III |
н-Бутилацетат/н- бутилацетат – насичений змочувальний розчин |
||
|
Метиламіну водний розчин |
3 |
FC |
II |
Суміш вуглеводнів і змочувальний розчин |
||
|
Метилбутират |
3 |
F1 |
II |
н-Бутилацетат/н- бутилацетат – насичений змочувальний розчин |
||
|
Метилметакрилату мономер стабілізований |
3 |
F1 |
II |
н-Бутилацетат/н- бутилацетат – насичений змочувальний розчин |
||
|
Метилпропіонат |
3 |
F1 |
II |
н-Бутилацетат/н- бутилацетат – насичений змочувальний розчин |
||
|
Октани |
чисті ізомери й ізомерна суміш |
3 |
F1 |
II |
Суміш вуглеводнів |
|
|
Фарба або Матеріал лакофарбовий |
включаючи фарбу, лак, емаль, барвник, шелак, оліфу, політуру, рідкий наповнювач і рідку лакову основу або включаючи розріджувач або розчинник фарби |
3 |
F1 |
I/II/III |
Правило для зведених позицій |
|
|
Пентани |
н-Пентан |
3 |
F1 |
II |
Суміш вуглеводнів |
|
|
Парфумерні продукти |
що містять легкозаймисті розчинники |
3 |
F1 |
II/III |
Правило для зведених позицій |
|
|
Смола кам’яновугільна, лігроїн |
тиск пар при 50 °С не більше 110 кПа |
3 |
F1 |
II |
Суміш вуглеводнів |
|
|
Нафти дистиляти, н.з.к. або Нафтопродукти, н.з.к. |
3 |
F1 |
I/II/III |
Правило для зведених позицій |
||
|
н-Пропанол |
3 |
F1 |
II/III |
Оцтова кислота |
||
|
Пропиональдегід |
3 |
F1 |
II |
Суміш вуглеводнів |
||
|
н-Пропілацетат |
3 |
F1 |
II |
н-Бутилацетат/н- бутилацетат – насичений змочувальний розчин |
||
|
Пропіламін |
н-Пропіламін |
3 |
FC |
II |
Суміш вуглеводнів і змочувальний розчин |
|
|
Пропілформіати |
чисті ізомери й ізомерна суміш |
3 |
F1 |
II |
н-Бутилацетат/н- бутилацетат – насичений змочувальний розчин |
|
|
Піридин |
3 |
F1 |
II |
Суміш вуглеводнів |
||
|
Масло смоляне |
3 |
F1 |
II/III |
Правило для зведених позицій |
||
|
Каучуку розчин |
3 |
F1 |
II/III |
Правило для зведених позицій |
||
|
Триетиламін |
3 |
FC |
II |
Суміш вуглеводнів і змочувальний розчин |
||
|
Триметиламіну водний розчин |
з масовою часткою триметиламіну не більше 50% |
3 |
FC |
I/II/III |
Суміш вуглеводнів і змочувальний розчин |
|
|
Вінілацетилат стабілізований |
3 |
F1 |
II |
н-Бутилацетат/н- бутилацетат – насичений змочувальний розчин |
||
|
Антисептики для деревини рідкі |
3 |
F1 |
II/III |
Правило для зведених позицій |
||
|
Анілін |
6.1 |
T1 |
II |
Оцтова кислота |
||
|
Дихлораніліни рідкі |
чисті ізомери й ізомерна суміш |
6.1 |
T1 |
II |
Оцтова кислота |
|
|
Барвник рідкий токсичний, н.з.к. або Напівпродукт синтезу барвників рідкий токсичний, н.з.к. |
6.1 |
T1 |
I/II/III |
Правило для зведених позицій |
||
|
Етилендіамін |
8 |
CF1 |
II |
Суміш вуглеводнів і змочувальний розчин |
||
|
Ангідрид оцтовий |
8 |
CF1 |
II |
Оцтова кислота |
||
|
Ацетилхлорид |
3 |
FC |
II |
н-Бутилацетат/н- бутилацетат – насичений змочувальний розчин |
||
|
Кислота бутилфосфорна |
8 |
C3 |
III |
Змочувальний розчин |
||
|
Сірководень |
водний розчин |
8 |
C5 |
III |
Оцтова кислота |
|
|
Лужна рідина їдка, н.з.к. |
неорганічна |
8 |
C5 |
II/III |
Правило для зведених позицій |
|
|
Сурми пентахлорид рідкий |
чистий |
8 |
C1 |
II |
Вода |
|
|
Бензоїлхлорид |
8 |
C3 |
II |
Суміш вуглеводнів і змочувальний розчин |
||
|
Кислоти хлороцтової розчин |
водний розчин |
6.1 |
TC1 |
II |
Оцтова кислота |
|
|
Кислоти хлороцтової розчин |
суміші моно- і дихлороцтової кислоти |
6.1 |
TC1 |
II |
Оцтова кислота |
|
|
Хлорацетилхлорид |
6.1 |
TC1 |
I |
н-Бутилацетат/н- бутилацетат – насичений змочувальний розчин |
||
|
Кислоти хромової розчин |
водний розчин, що містить не більше 30% хромової кислоти |
8 |
C1 |
II/III |
Азотна кислота |
|
|
Ціанамід |
водний розчин, що містить не більше 50% ціанаміду |
8 |
C9 |
II |
Вода |
|
|
O,O-Діетилдитіофосфорна кислота |
8 |
C9 |
II |
н-Бутилацетат/н- бутилацетат – насичений змочувальний розчин |
||
|
O,O-Діізопропіл-дитіофосфорна кислота |
8 |
C9 |
II |
н-Бутилацетат/н- бутилацетат – насичений змочувальний розчин |
||
|
O,O-Ди-н-пропіл-дитіофосфорна кислота |
8 |
C9 |
II |
н-Бутилацетат/н- бутилацетат – насичений змочувальний розчин |
||
|
Корозійна рідина, н.з.к. |
температура спалаху 60 °С |
8 |
C9 |
I/II/III |
Правило для зведених позицій |
|
|
Мідьетилендіаміну розчин |
водний розчин |
8 |
CT1 |
II/III |
Суміш вуглеводнів і змочувальний розчин |
|
|
Кислота дихлороцтова |
8 |
C3 |
II |
Оцтова кислота |
||
|
Кислота борфтористо- воднева |
водний розчин, що містить не більше 50% борфтористоводневої кислоти |
8 |
C1 |
II |
Вода |
|
|
Кислота кремнефтористо- воднева |
8 |
C1 |
II |
Вода |
||
|
Кислота мурашина |
з масовою часткою кислоти більше 85% |
8 |
C3 |
II |
Оцтова кислота |
|
|
Гексаметилендіаміну розчин |
водний розчин |
8 |
C7 |
II/III |
Суміш вуглеводнів і змочувальний розчин |
|
|
Кислота йодистоводнева |
водний розчин |
8 |
C1 |
II/III |
Вода |
|
|
Кислота бромистоводнева |
водний розчин |
8 |
C1 |
II/III |
Вода |
|
|
Кислота хлористоводнева |
водний розчин, що містить не більше 38% кислоти |
8 |
C1 |
II/III |
Вода |
|
|
Кислота фтористоводнева |
що містить не більше 60% фтористого водню |
8 |
CT1 |
II |
Вода припустимий період використання: не більше двох років |
|
|
Гіпохлориту розчин |
водний розчин, що містить змочувальні речовини, прийняті в торгівлі |
8 |
C9 |
II/III |
Азотна кислота й змочувальний розчин* |
|
|
Гіпохлориту розчин |
водний розчин |
8 |
C9 |
II/III |
Азотна кислота* |
|
|
* Для № ООН 1791: Випробування повинно проводитися тільки за наявності вентиляційного обладнання. Якщо випробування проводяться з азотною кислотою в якості стандартної рідини, то повинні використовуватися стійкі до впливу кислоти вентиляційний пристрій й прокладка. Якщо випробування проводиться із самими розчинами гіпохлориту, дозволяється також використовувати вентиляційні пристрої й прокладки того ж самого типу конструкції, стійкі до впливу гіпохлориту (наприклад, із силіконового каучуку), але не стійкі до впливу азотної кислоти. |
||||||
|
Кислота ізопропілфосфорна |
8 |
C3 |
III |
Змочувальний розчин |
||
|
Кислота хлорна |
водний розчин з масовою часткою кислоти не більше 50% |
8 |
CO1 |
II |
Вода |
|
|
Фенолсульфокислота рідка |
ізомерна суміш |
8 |
C3 |
II |
Вода |
|
|
Кислоти фосфорної розчин |
8 |
C1 |
III |
Вода |
||
|
Калію гідроксиду розчин |
водний розчин |
8 |
C5 |
II/III |
Вода |
|
|
Натрію гідроксиду розчин |
водний розчин |
8 |
C5 |
II/III |
Вода |
|
|
Кислота сірчана |
що містить більше 51% чистої кислоти |
8 |
C1 |
II |
Вода |
|
|
Кислота сірчана відпрацьована |
хімічно стійка |
8 |
C1 |
II |
Вода |
|
|
Кислота сірчиста |
8 |
C1 |
II |
Вода |
||
|
Третраметиламонію гідроксиду розчин |
водний розчин, температура спалаху більше 60 °С |
8 |
C7 |
II |
Вода |
|
|
Цинку хлориду розчин |
водний розчин |
8 |
C1 |
III |
Вода |
|
|
Кислота пропіонова |
з масовою часткою кислоти не менше 10% і менше 90% |
8 |
C3 |
III |
н-Бутилацетат/н- бутилацетат – насичений змочувальний розчин |
|
|
Етилкротонат |
3 |
F1 |
II |
н-Бутилацетат/н- бутилацетат – насичений змочувальний розчин |
||
|
Паливо авіаційне для турбінних двигунів |
3 |
F1 |
I/II/III |
Суміш вуглеводнів |
||
|
Смоли розчин |
легкозаймистий |
3 |
F1 |
I/II/III |
Правило для зведених позицій |
|
|
Кислота діізооктилфосфорна |
8 |
C3 |
III |
Змочувальний розчин |
||
|
Кислота сірчана, регенерована з кислого гудрону |
8 |
C1 |
II |
Азотна кислота |
||
|
Хлориту розчин |
водний розчин |
8 |
C9 |
II/III |
Оцтова кислота |
|
|
Бутилпропіонати |
3 |
F1 |
III |
н-Бутилацетат/н- бутилацетат – насичений змочувальний розчин |
||
|
Циклогексанон |
3 |
F1 |
III |
Суміш вуглеводнів |
||
|
Етилакрилат стабілізований |
3 |
F1 |
II |
н-Бутилацетат/н- бутилацетат – насичений змочувальний розчин |
||
|
Метилакрилат стабілізований |
3 |
F1 |
II |
н-Бутилацетат/н- бутилацетат – насичений змочувальний розчин |
||
|
Нонани |
чисті ізомери й ізомерна суміш, температура спалаху від 23 °С до 60 °С |
3 |
F1 |
III |
Суміш вуглеводнів |
|
|
Ціаніду розчин, н.з.к. |
неорганічний |
6.1 |
T4 |
I/II/III |
Вода |
|
|
Кислота тіогліколева |
8 |
C3 |
II |
Оцтова кислота |
||
|
Спирти легкозаймисті токсичні, н.з.к. |
3 |
FT1 |
I/II/III |
Правило для зведених позицій |
||
|
Циклогексанол |
технічно чистий |
3 |
F1 |
III |
Оцтова кислота |
|
|
Спирти, н.з.к. |
3 |
F1 |
II/III |
Правило для зведених позицій |
||
|
Альдегіди легкозаймисті токсичні, н.з.к. |
3 |
FT1 |
I/II/III |
Правило для зведених позицій |
||
|
Альдегіди, н.з.к. |
3 |
F1 |
I/II/III |
Правило для зведених позицій |
||
|
2,6-цис-Диметилморфолін |
3 |
FT1 |
III |
Суміш вуглеводнів |
||
|
Легкозаймиста рідина токсична, н.з.к. |
3 |
FT1 |
I/II/III |
Правило для зведених позицій |
||
|
Вініловий ефір пропіонової кислоти |
3 |
F1 |
II |
н-Бутилацетат/н- бутилацетат – насичений змочувальний розчин |
||
|
(1-Метокси-2-пропіл) ацетат |
3 |
F1 |
III |
н-Бутилацетат/н- бутилацетат – насичений змочувальний розчин |
||
|
Легкозаймиста рідина, н.з.к. |
3 |
F1 |
I/II/III |
Правило для зведених позицій |
||
|
Водню пероксиду водний розчин |
що містить не менше 20%, але не більше 60% пероксиду водню, стабілізований, якщо необхідно |
5.1 |
OC1 |
II |
Азотна кислота |
|
|
Кислота крезилова |
рідка суміш, що містить крезоли, ксиленоли й метилфеноли |
6.1 |
TC1 |
II |
Оцтова кислота |
|
|
Гідразину водний розчин |
з масовою часткою гідразину не менше 37%, але не більше 64% |
8 |
CT1 |
II |
Вода |
|
|
Гідразину гідрат |
водний розчин, що містить 64% гідразину |
8 |
CT1 |
II |
Вода |
|
|
Кислота азотна |
крім червоної димлячої, зі вмістом чистої кислоти не більше 55% |
8 |
CO1 |
II |
Азотна кислота |
|
|
Ізобутиральдегід |
3 |
F1 |
II |
Суміш вуглеводнів |
||
|
Діізобутилену ізомерні сполуки |
3 |
F1 |
II |
Суміш вуглеводнів |
||
|
Метилізобутилкарбінол |
3 |
F1 |
III |
Оцтова кислота |
||
|
Морфолиін |
8 |
CF1 |
I |
Суміш вуглеводнів |
||
|
Трипропілен |
3 |
F1 |
II/III |
Суміш вуглеводнів |
||
|
Валеральдегід |
чисті ізомери й ізомерна суміш |
3 |
F1 |
II |
Суміш вуглеводнів |
|
|
Нітроцелюлози розчин легкозаймистий |
3 |
D |
I/II/III |
Правило для зведених позицій: у відступ від загальної процедури це правило може застосовуватися до розчинників із класифікаційним кодом F1 |
||
|
Хлораль безводний стабілізований |
6.1 |
T1 |
II |
Змочувальний розчин |
||
|
Крезоли рідкі |
чисті ізомери й ізомерна суміш |
6.1 |
TC1 |
II |
Оцтова кислота |
|
|
Толуолдіізоціанат |
рідкий |
6.1 |
T1 |
II |
н-Бутилацетат/н- бутилацетат – насичений змочувальний розчин |
|
|
Діетилентриамін |
8 |
C7 |
II |
Суміш вуглеводнів |
||
|
Формальдегіду розчин |
водний розчин, що містить 37% формальдегіду, вміст метанолу: 8–10% |
8 |
C9 |
III |
Оцтова кислота |
|
|
Формальдегіду розчин |
водний розчин, що містить не менше 25% формальдегіду |
8 |
C9 |
III |
Вода |
|
|
Кислота акрилова стабілізована |
8 |
CF1 |
II |
н-Бутилацетат/н- бутилацетат – насичений змочувальний розчин |
||
|
н-Бутилметакрилат стабілізований |
3 |
F1 |
III |
н-Бутилацетат/н- бутилацетат – насичений змочувальний розчин |
||
|
Хлорбензилхлориди рідкі |
пара-Хлорбензилхлорид |
6.1 |
T2 |
III |
Суміш вуглеводнів |
|
|
Циклогептан |
3 |
F1 |
II |
Суміш вуглеводнів |
||
|
Циклогептен |
3 |
F1 |
II |
Суміш вуглеводнів |
||
|
Циклогексилацетат |
3 |
F1 |
III |
н-Бутилацетат/н- бутилацетат – насичений змочувальний розчин |
||
|
Циклопентанол |
3 |
F1 |
III |
Оцтова кислота |
||
|
Циклопентанон |
3 |
F1 |
III |
Суміш вуглеводнів |
||
|
н-Декан |
3 |
F1 |
III |
Суміш вуглеводнів |
||
|
Ди-н-бутиламін |
8 |
CF1 |
II |
Суміш вуглеводнів |
||
|
1,2-Пропілентетрамін |
8 |
CF1 |
II |
Суміш вуглеводнів і змочувальний розчин |
||
|
Триетилентетрамін |
8 |
C7 |
II |
Вода |
||
|
Трипропіламін |
3 |
FC |
III |
Суміш вуглеводнів і змочувальний розчин |
||
|
Диметилциклогексани |
чисті ізомери й ізомерна суміш |
3 |
F1 |
II |
Суміш вуглеводнів |
|
|
N,N-Диметил-циклогексиламін |
8 |
CF1 |
II |
Суміш вуглеводнів і змочувальний розчин |
||
|
N,N-Диметилформамід |
3 |
F1 |
III |
н-Бутилацетат/н- бутилацетат – насичений змочувальний розчин |
||
|
Диметил-N-пропіламін |
3 |
FC |
II |
Суміш вуглеводнів і змочувальний розчин |
||
|
3,3’-Імінодипропіламін |
8 |
C7 |
III |
Суміш вуглеводнів і змочувальний розчин |
||
|
Етиламіну водний розчин |
що містить не менше 50%, але не більше 70% етиламіну, температура спалаху нижче 23 °С, корозійний або слабокорозійний |
3 |
FC |
II |
Суміш вуглеводнів і змочувальний розчин |
|
|
2-Етилбутанол |
3 |
F1 |
III |
н-Бутилацетат/н- бутилацетат – насичений змочувальний розчин |
||
|
2-Етилгексиламін |
3 |
FC |
III |
Суміш вуглеводнів і змочувальний розчин |
||
|
Етилметакрилат стабілізований |
3 |
F1 |
II |
н-Бутилацетат/н- бутилацетат – насичений змочувальний розчин |
||
|
н-Гептен |
3 |
F1 |
II |
Суміш вуглеводнів |
||
|
Гексаноли |
чисті ізомери й ізомерна суміш |
3 |
F1 |
III |
н-Бутилацетат/н- бутилацетат – насичений змочувальний розчин |
|
|
Ізобутилметакрилат стабілізований |
3 |
F1 |
III |
н-Бутилацетат/н- бутилацетат – насичений змочувальний розчин |
||
|
Пентаметилгептан |
3 |
F1 |
III |
Суміш вуглеводнів |
||
|
Ізогептени |
3 |
F1 |
II |
Суміш вуглеводнів |
||
|
Ізогексени |
3 |
F1 |
II |
Суміш вуглеводнів |
||
|
Ізофорондіамін |
8 |
C7 |
III |
Суміш вуглеводнів і змочувальний розчин |
||
|
4-Метокси-4-метил-пентанон-2 |
3 |
F1 |
III |
Суміш вуглеводнів |
||
|
Метилциклогексан |
3 |
F1 |
II |
Суміш вуглеводнів |
||
|
Метилциклогексанон |
чисті ізомери й ізомерна суміш |
3 |
F1 |
III |
Суміш вуглеводнів |
|
|
Метилциклопентан |
3 |
F1 |
II |
Суміш вуглеводнів |
||
|
5-Метилгексанон-2 |
3 |
F1 |
III |
Суміш вуглеводнів |
||
|
Кислота нітрозилсірчана, рідка |
8 |
C1 |
II |
Вода |
||
|
Октадієни |
3 |
F1 |
II |
Суміш вуглеводнів |
||
|
Пиколіни |
чисті ізомери й ізомерна суміш |
3 |
F1 |
III |
Суміш вуглеводнів |
|
|
Натрію купроціаніду розчин |
водний розчин |
6.1 |
T4 |
I |
Вода |
|
|
Тетраетиленпентамін |
8 |
C7 |
III |
Суміш вуглеводнів і змочувальний розчин |
||
|
Триізобутилен |
суміш моноолефінів C12, температура спалаху від 23 °С до 60 °С |
3 |
F1 |
III |
Суміш вуглеводнів |
|
|
Триметилцикло-гексиламін |
8 |
C7 |
III |
Суміш вуглеводнів і змочувальний розчин |
||
|
Триметилгексаметилен-діаміни |
чисті ізомери й ізомерна суміш |
8 |
C7 |
III |
Суміш вуглеводнів і змочувальний розчин |
|
|
Ундекан |
3 |
F1 |
III |
Суміш вуглеводнів |
||
|
Алілформіат |
3 |
FT1 |
I |
н-Бутилацетат/н- бутилацетат – насичений змочувальний розчин |
||
|
Бутилакрилати стабілізовані |
чисті ізомери й ізомерна суміш |
3 |
F1 |
III |
н-Бутилацетат/н- бутилацетат – насичений змочувальний розчин |
|
|
Циклогексиламін |
температура спалаху від 23 °С до 60 °С |
8 |
CF1 |
II |
Суміш вуглеводнів і змочувальний розчин |
|
|
Діізобутиламін |
3 |
FC |
III |
Суміш вуглеводнів і змочувальний розчин |
||
|
Діетилкарбонат |
3 |
F1 |
III |
н-Бутилацетат/н- бутилацетат – насичений змочувальний розчин |
||
|
альфа-Метилвалер-альдегід |
3 |
F1 |
II |
Суміш вуглеводнів |
||
|
Гексен-1 |
3 |
F1 |
II |
Суміш вуглеводнів |
||
|
1,2-Ди-(диметиламіно)-етан |
3 |
F1 |
II |
Суміш вуглеводнів і змочувальний розчин |
||
|
1,3-Диметилбутиламін |
3 |
FC |
II |
Суміш вуглеводнів і змочувальний розчин |
||
|
Дипропіламін |
3 |
FC |
II |
Суміш вуглеводнів і змочувальний розчин |
||
|
Етилізобутират |
3 |
F1 |
II |
н-Бутилацетат/н- бутилацетат – насичений змочувальний розчин |
||
|
Ізобутилформіат |
3 |
F1 |
II |
н-Бутилацетат/н- бутилацетат – насичений змочувальний розчин |
||
|
Ізобутилпропіонат |
температура спалаху від 23 °С до 60 °С |
3 |
F1 |
III |
н-Бутилацетат/н- бутилацетат – насичений змочувальний розчин |
|
|
Альдегід метакриловий стабілізований |
3 |
FT1 |
II |
Суміш вуглеводнів |
||
|
Метилізовалерат |
3 |
F1 |
II |
н-Бутилацетат/н- бутилацетат – насичений змочувальний розчин |
||
|
Піперидин |
8 |
CF1 |
I |
Суміш вуглеводнів і змочувальний розчин |
||
|
Ізопропенілацетат |
3 |
F1 |
II |
н-Бутилацетат/н- бутилацетат – насичений змочувальний розчин |
||
|
Ізопропілбутират |
3 |
F1 |
III |
н-Бутилацетат/н- бутилацетат – насичений змочувальний розчин |
||
|
Ізопропілізобутират |
3 |
F1 |
II |
н-Бутилацетат/н- бутилацетат – насичений змочувальний розчин |
||
|
Ізопропілпропіонат |
3 |
F1 |
II |
н-Бутилацетат/н- бутилацетат – насичений змочувальний розчин |
||
|
1,2,3,6-Тетрагідро-піридин |
3 |
F1 |
II |
Суміш вуглеводнів |
||
|
Калію хлорату водний розчин |
5.1 |
O1 |
II/III |
Вода |
||
|
Натрію хлорату водний розчин |
5.1 |
O1 |
II/III |
Вода |
||
|
Кальцію хлорату водний розчин |
5.1 |
O1 |
II/III |
Вода |
||
|
Кислота тіооцтова |
3 |
F1 |
II |
Оцтова кислота |
||
|
2,3-Диметилбутан |
3 |
F1 |
II |
Суміш вуглеводнів |
||
|
Етаноламін |
8 |
C7 |
III |
Змочувальний розчин |
||
|
Етаноламіну розчин |
водний розчин |
8 |
C7 |
III |
Змочувальний розчин |
|
|
Ангідрид пропіоновий |
8 |
C3 |
III |
н-Бутилацетат/н- бутилацетат – насичений змочувальний розчин |
||
|
Етилортоформіат |
3 |
F1 |
III |
н-Бутилацетат/н- бутилацетат – насичений змочувальний розчин |
||
|
Фурфуриламін |
3 |
FC |
III |
Суміш вуглеводнів і змочувальний розчин |
||
|
Ізобутилакрилат стабілізований |
3 |
F1 |
III |
н-Бутилацетат/н- бутилацетат – насичений змочувальний розчин |
||
|
Ізобутилізобутират |
3 |
F1 |
III |
н-Бутилацетат/н- бутилацетат – насичений змочувальний розчин |
||
|
Кислота ізомасляна |
3 |
FC |
III |
н-Бутилацетат/н- бутилацетат – насичений змочувальний розчин |
||
|
Кислота метакрилова стабілізована |
8 |
C3 |
II |
н-Бутилацетат/н- бутилацетат – насичений змочувальний розчин |
||
|
Трибутиламін |
6.1 |
T1 |
II |
Суміш вуглеводнів |
||
|
2-Метилпентанол-2 |
3 |
F1 |
III |
н-Бутилацетат/н- бутилацетат – насичений змочувальний розчин |
||
|
Кислоти трихлороцтової розчин |
водний розчин |
8 |
C3 |
II/III |
Оцтова кислота |
|
|
Дициклогексиламін |
8 |
C7 |
III |
Суміш вуглеводнів і змочувальний розчин |
||
|
Кислота етилсірчана |
8 |
C3 |
II |
н-Бутилацетат/н- бутилацетат – насичений змочувальний розчин |
||
|
Кислоти алкілсірчані |
8 |
C3 |
II |
Правило для зведених позицій |
||
|
Алюмінію броміду розчин |
водний розчин |
8 |
C1 |
III |
Вода |
|
|
Алюмінію хлориду розчин |
водний розчин |
8 |
C1 |
III |
Вода |
|
|
Заліза (III) хлориду розчин |
водний розчин |
8 |
C1 |
III |
Вода |
|
|
Метансульфокислота |
що містить більше 5% вільної сірчаної кислоти |
8 |
C1 |
II |
Вода |
|
|
Алкілсульфокислоти рідкі |
що містять більше 5% вільної сірчаної кислоти |
8 |
C1 |
II |
н-Бутилацетат/н- бутилацетат – насичений змочувальний розчин |
|
|
Бензолсульфокислота |
що містить більше 5% вільної сірчаної кислоти |
8 |
C1 |
II |
Вода |
|
|
Толуолсульфокислоти |
що містять більше 5% вільної сірчаної кислоти |
8 |
C1 |
II |
Вода |
|
|
Арилсульфокислоти рідкі |
що містять більше 5% вільної сірчаної кислоти |
8 |
C1 |
II |
н-Бутилацетат/н- бутилацетат – насичений змочувальний розчин |
|
|
Метансульфокислота |
що містить більше 5% вільної сірчаної кислоти |
8 |
C1 |
III |
Вода |
|
|
Алкілсульфокислоти рідкі |
що містять більше 5% вільної сірчаної кислоти |
8 |
C1 |
III |
н-Бутилацетат/н- бутилацетат – насичений змочувальний розчин |
|
|
Бензолсульфокислота |
що містить більше 5% вільної сірчаної кислоти |
8 |
C1 |
III |
Вода |
|
|
Толуолсульфокислоти |
що містять більше 5% вільної сірчаної кислоти |
8 |
C1 |
III |
Вода |
|
|
Арилсульфокислоти рідкі |
що містять більше 5% вільної сірчаної кислоти |
8 |
C1 |
III |
н-Бутилацетат/н- бутилацетат – насичений змочувальний розчин |
|
|
Триаліламін |
3 |
FC |
III |
Суміш вуглеводнів і змочувальний розчин |
||
|
Спирт металіловий |
3 |
F1 |
III |
Оцтова кислота |
||
|
Метилциклогексаноли |
чисті ізомери й ізомерна суміш, температура спалаху від 23 °С до 60 °С |
3 |
F1 |
III |
Оцтова кислота |
|
|
Диметилбензиламін |
8 |
CF1 |
II |
Суміш вуглеводнів і змочувальний розчин |
||
|
Амілбутирати |
чисті ізомери й ізомерна суміш, температура спалаху від 23 °С до 60 °С |
3 |
F1 |
III |
н-Бутилацетат/н- бутилацетат – насичений змочувальний розчин |
|
|
Гліцидальдегід |
температура спалаху нижче 23 °С |
3 |
FT1 |
II |
Суміш вуглеводнів |
|
|
Кислоти хлорнуватої водний розчин |
що містить не більше 10% хлорнуватої кислоти |
5.1 |
O1 |
II |
Азотна кислота |
|
|
Хінолін |
температура спалаху більше 60 °С |
6.1 |
T1 |
III |
Вода |
|
|
Аміаку розчин |
у воді, з відносною щільністю від 0,880 до 0,957 при температурі 15 °С, що містить більше 10%, але не більше 35% аміаку |
8 |
C5 |
III |
Вода |
|
|
Амонію сульфіду розчин |
водний розчин, температура спалаху від 23 °С до 60 °С |
8 |
CFT |
II |
Оцтова кислота |
|
|
3-Діетиламінопропіламін |
3 |
FC |
III |
Суміш вуглеводнів і змочувальний розчин |
||
|
N,N-Діетилетилен- діамін |
8 |
CF1 |
II |
Суміш вуглеводнів і змочувальний розчин |
||
|
Бісульфітів водний розчин, н.з.к. |
неорганічний |
8 |
C1 |
III |
Вода |
|
|
Диметилдіоксани |
чисті ізомери й ізомерна суміш |
3 |
F1 |
II/III |
Суміш вуглеводнів |
|
|
Аміни легкозаймисті корозійні, н.з.к. або Поліаміни легкозаймисті корозійні, н.з.к. |
3 |
FC |
I/II/III |
Суміш вуглеводнів і змочувальний розчин |
||
|
Ди-втор-бутиламін |
8 |
CF1 |
II |
Суміш вуглеводнів |
||
|
Аміни рідкі корозійні легкозаймисті, н.з.к. або Поліаміни рідкі корозійні легкозаймисті, н.з.к. |
8 |
CF1 |
I/II |
Суміш вуглеводнів і змочувальний розчин |
||
|
Аміни рідкі корозійні, н.з.к. або Поліаміни рідкі корозійні, н.з.к. |
8 |
C7 |
I/II/III |
Суміш вуглеводнів і змочувальний розчин |
||
|
Ангідрид масляний |
8 |
C3 |
III |
н-Бутилацетат/н- бутилацетат – насичений змочувальний розчин |
||
|
Кислота оцтова крижана або Кислоти оцтової розчин |
водний розчин з масовою часткою кислоти більше 80% |
8 |
CF1 |
II |
Оцтова кислота |
|
|
Кислоти оцтової розчин |
водний розчин з масовою часткою кислоти більше 10%, але не більше 80% |
8 |
C3 |
II/III |
Оцтова кислота |
|
|
Кислота сірчана |
що містить не більше 51% чистої кислоти |
8 |
C1 |
II |
Вода |
|
|
Рідина акумуляторна лужна |
водний розчин гідроксиду калію/натрію |
8 |
C5 |
II |
Вода |
|
|
2-Хлор-6-фторбензилхлорид |
стабілізований |
6.1 |
T1 |
III |
Суміш вуглеводнів |
|
|
2-Фенілетанол |
6.1 |
T1 |
III |
Оцтова кислота |
||
|
Ефір моногексиловий етиленгліколю |
6.1 |
T1 |
III |
Оцтова кислота |
||
|
Токсична рідина органічна, н.з.к. |
6.1 |
T1 |
I/II/III |
Правило для зведених позицій |
||
|
N-Аміноетилпиперазин |
8 |
CТ1 |
III |
Суміш вуглеводнів і змочувальний розчин |
||
|
Амонію полісульфіду розчин |
водний розчин |
8 |
CT1 |
II/III |
Оцтова кислота |
|
|
Амілфосфат |
8 |
C3 |
III |
Змочувальний розчин |
||
|
Кислота масляна |
кислота-н-масляна |
8 |
C3 |
III |
н-Бутилацетат/н- бутилацетат – насичений змочувальний розчин |
|
|
Фенолу розчин |
водний розчин, токсичний, нелужний |
6.1 |
T1 |
II/III |
Оцтова кислота |
|
|
Кислота капронова |
кислота-н-капронова |
8 |
C3 |
III |
н-Бутилацетат/н- бутилацетат – насичений змочувальний розчин |
|
|
Бісульфатів водний розчин |
8 |
C1 |
II/III |
Вода |
||
|
Вінілбутират стабілізований |
3 |
F1 |
II |
н-Бутилацетат/н- бутилацетат – насичений змочувальний розчин |
||
|
Ди-н-аміламін |
3 |
FT1 |
III |
Суміш вуглеводнів і змочувальний розчин |
||
|
Пропілену тетрамер |
суміш моноолефінів C12, температура спалаху від 23 °С до 60 °С |
3 |
F1 |
III |
Суміш вуглеводнів |
|
|
Дибутиламіноетанол |
N,N-Ди-н-Бутиламіно-етанол |
6.1 |
T1 |
III |
Оцтова кислота |
|
|
Спирт фурфуриловий |
6.1 |
T1 |
III |
Оцтова кислота |
||
|
O,O-Діетилдитіо- фосфорна кислота |
температура спалаху від 23 °С до 60 °С |
8 |
CF1 |
II |
н-Бутилацетат/н- бутилацетат – насичений змочувальний розчин |
|
|
O,O-Диметилдитіо-фосфорна кислота |
температура спалаху від 23 °С до 60 °С |
8 |
CF1 |
II |
Змочувальний розчин |
|
|
Водень бромистий |
33% розчин у крижаній оцтовій кислоті |
8 |
CF1 |
II |
Змочувальний розчин |
|
|
Тетраметиламонію гідроксид |
водний розчин, температура спалаху від 23 °С до 60 °С |
8 |
CF1 |
II |
Вода |
|
|
Корозійна рідина легкозаймиста, н.з.к. |
8 |
CF1 |
I/II |
Правило для зведених позицій |
||
|
Амонію сульфід |
водний розчин, температура спалаху більше 60 °С |
8 |
CT1 |
II |
Вода |
|
|
Крезоли |
водний лужний розчин, суміш крезоляту натрію й калію |
8 |
CT1 |
II |
Оцтова кислота |
|
|
Фенол |
водний лужний розчин, суміш феноляту натрію й калію |
8 |
CT1 |
II |
Оцтова кислота |
|
|
Натрію гідродифторид |
водний розчин |
8 |
CT1 |
III |
Вода |
|
|
Корозійна рідина токсична, н.з.к. |
8 |
CT1 |
I/II/III |
Правило для зведених позицій |
||
|
Легкозаймиста рідина корозійна, н.з.к. |
слабокорозійна |
3 |
FC |
I/II/III |
Правило для зведених позицій |
|
|
Токсична рідина корозійна органічна, н.з.к. |
6.1 |
TC1 |
I/II |
Правило для зведених позицій |
||
|
Метил-2-хлорпропіонат |
3 |
F1 |
III |
н-Бутилацетат/н- бутилацетат – насичений змочувальний розчин |
||
|
Ізопропіл-2-хлорпропіонат |
3 |
F1 |
III |
н-Бутилацетат/н- бутилацетат – насичений змочувальний розчин |
||
|
Етил-2-хлорпропіонат |
3 |
F1 |
III |
н-Бутилацетат/н- бутилацетат – насичений змочувальний розчин |
||
|
Кислота тіомолочна |
6.1 |
T1 |
II |
Оцтова кислота |
||
|
Фтораніліни |
чисті ізомери й ізомерна суміш |
6.1 |
T1 |
III |
Оцтова кислота |
|
|
Тетрагідрофурфурил-амін |
3 |
F1 |
III |
Суміш вуглеводнів |
||
|
N-Метилбутиламін |
3 |
FC |
II |
Суміш вуглеводнів і змочувальний розчин |
||
|
2-Аміно-діетилу- мінопентан |
6.1 |
T1 |
III |
Суміш вуглеводнів і змочувальний розчин |
||
|
Ізопропілхлорацетат |
3 |
F1 |
III |
н-Бутилацетат/н- бутилацетат – насичений змочувальний розчин |
||
|
Водню пероксиду водний розчин |
що містить не менше 8%, але менше 20% пероксиду водню, стабілізований, якщо необхідно |
5.1 |
O1 |
III |
Азотна кислота |
|
|
н-Гептальдегід |
3 |
F1 |
III |
Суміш вуглеводнів |
||
|
Напої алкогольні |
що містять більше 24% спирту за об’ємом |
3 |
F1 |
II/III |
Оцтова кислота |
|
|
Фарба або Матеріал лакофарбовий |
включаючи фарбу, лак, емаль, барвник, шелак, оліфу, політуру, рідкий наповнювач і рідку лакову основу або включаючи розчинник або розріджувач фарби |
8 |
C9 |
II/III |
Правило для зведених позицій |
|
|
Метакрилонітрид стабілізований |
6.1 |
TF1 |
I |
н-Бутилацетат/н- бутилацетат – насичений змочувальний розчин |
||
|
Спиртовий C6–C17 (вторинний) полі (3–6) етоксилат |
9 |
M6 |
III |
н-Бутилацетат/н- бутилацетат – насичений змочувальний розчин і суміш вуглеводнів |
||
|
Спиртовий C12–C15 полі (1–3) етоксилат |
9 |
M6 |
III |
н-Бутилацетат/н- бутилацетат – насичений змочувальний розчин і суміш вуглеводнів |
||
|
Спиртовий C13–C15 полі (1–6) етоксилат |
9 |
M6 |
III |
н-Бутилацетат/н- бутилацетат – насичений змочувальний розчин і суміш вуглеводнів |
||
|
Авіаційне турбінне паливо JP-5 |
температура спалаху більше 60 °С |
9 |
M6 |
III |
Суміш вуглеводнів |
|
|
Авіаційне турбінне паливо JP-7 |
температура спалаху більше 60 °С |
9 |
M6 |
III |
Суміш вуглеводнів |
|
|
Смола кам’яновугільна |
температура спалаху більше 60 °С |
9 |
M6 |
III |
Суміш вуглеводнів |
|
|
Смола кам’яновугільна, лігроїн |
температура спалаху більше 60 °С |
9 |
M6 |
III |
Суміш вуглеводнів |
|
|
Креозот, отриманий з кам’яновугільної смоли |
температура спалаху більше 60 °С |
9 |
M6 |
III |
Суміш вуглеводнів |
|
|
Креозот, отриманий з деревної смоли |
температура спалаху більше 60 °С |
9 |
M6 |
III |
Суміш вуглеводнів |
|
|
Крезилдифенілфосфат |
9 |
M6 |
III |
Змочувальний розчин |
||
|
Децилакрилат |
9 |
M6 |
III |
н-Бутилацетат/н- бутилацетат – насичений змочувальний розчин і суміш вуглеводнів |
||
|
Діізобутилфталат |
9 |
M6 |
III |
н-Бутилацетат/н- бутилацетат – насичений змочувальний розчин і суміш вуглеводнів |
||
|
Ди-н-бутилфталат |
9 |
M6 |
III |
н-Бутилацетат/н- бутилацетат – насичений змочувальний розчин і суміш вуглеводнів |
||
|
Вуглеводні |
рідкі, температура спалаху більше 60 °С, небезпечні для довкілля |
9 |
M6 |
III |
Правило для зведених позицій |
|
|
Ізодецилдифенілфосфат |
9 |
M6 |
III |
Змочувальний розчин |
||
|
Метилнафталіни |
ізомерна суміш, рідка |
9 |
M6 |
III |
Суміш вуглеводнів |
|
|
Триарилфосфати |
н.з.к. |
9 |
M6 |
III |
Змочувальний розчин |
|
|
Трикрезилфосфат |
що містить не більше 3% орто-ізомеру |
9 |
M6 |
III |
Змочувальний розчин |
|
|
Триксиленілфосфат |
9 |
M6 |
III |
Змочувальний розчин |
||
|
Цинкалкілдитіофосфат |
C3–C14 |
9 |
M6 |
III |
Змочувальний розчин |
|
|
Цинкарилдитіофосфат |
C7–C16 |
9 |
M6 |
III |
Змочувальний розчин |
|
|
Речовина, небезпечна для довкілля, рідка, н.з.к. |
9 |
M6 |
III |
Правило для зведених позицій |
||
|
Окиснювальна рідина токсична, н.з.к. |
5.1 |
OT1 |
I/II/III |
Правило для зведених позицій |
||
|
Органічний пероксид типу B, C, D, E або F рідкий або Органічний пероксид типу B, C, D, E або F рідкий з регульованою температурою |
5.2 |
P1 |
н-Бутилацетат/н- бутилацетат – насичений змочувальний розчин і суміш вуглеводнів і азотна кислота** |
|||
|
** Для № ООН 3101, 3103, 3105, 3107, 3109, 3111, 3113, 3115, 3117, 3119 (за винятком трет-Бутилгідропероксиду зі вмістом пероксиду більше 40% і надоцтових кислот): усі органічні пероксиди в технічно чистому вигляді або в розчині з розчинниками, які з урахуванням їх сумісності охоплюються стандартною рідиною «суміш вуглеводнів» у цьому переліку. Сумісність вентиляційних приладів і прокладок з органічними пероксидами може бути перевірена також незалежно від випробувань за типом конструкції шляхом проведення лабораторних випробувань із використанням азотної кислоти. |
||||||
|
Бутилфеноли |
рідкі, н.з.к. |
8 |
C3 |
I/II/III |
Оцтова кислота |
|
|
Алкілфеноли, рідкі, н.з.к. |
Включаючи гомологи C2–C12 |
8 |
C3 |
I/II/III |
н-Бутилацетат/н- бутилацетат – насичений змочувальний розчин |
|
|
Водню пероксиду й кислоти надоцтової суміш стабілізована |
що містить № ООН 2790 кислоту оцтову, № ООН 2796 кислоту сірчану та/або № ООН 1805 кислоту фосфорну, воду й не більше 5% надоцтової кислоти |
5.1 |
OC1 |
II |
Змочувальний розчин і азотна кислота |
|
|
Хлоратів неорганічних водний розчин, н.з.к. |
5.1 |
O1 |
II/III |
Вода |
||
|
Перхлоратів неорганічних водний розчин, н.з.к. |
5.1 |
O1 |
II/III |
Вода |
||
|
Броматів неорганічних водний розчин, н.з.к. |
5.1 |
O1 |
II/III |
Вода |
||
|
Перманганатів неорганічних водний розчин, н.з.к. |
5.1 |
O1 |
II |
Вода |
||
|
Персульфатів неорганічних водний розчин, н.з.к. |
5.1 |
O1 |
III |
Змочувальний розчин |
||
|
Нітратів неорганічних водний розчин, н.з.к. |
5.1 |
O1 |
II/III |
Вода |
||
|
Нітритів неорганічних водний розчин, н.з.к. |
5.1 |
O1 |
II/III |
Вода |
||
|
Міді хлорид |
водний розчин, слабокорозійний |
8 |
C1 |
III |
Вода |
|
|
Гідроксиламіну сульфат |
25% водний розчин |
8 |
C1 |
III |
Вода |
|
|
Кислота фосфориста |
водний розчин |
8 |
C1 |
III |
Вода |
|
|
Корозійна рідина кисла неорганічна, н.з.к. |
температура спалаху більше 60 °С |
8 |
C1 |
I/II/III |
Правило для зведених позицій; не застосовується до сумішей, до складу яких входять наступні компоненти: № ООН 1830, 1832, 1906 і 2308 |
|
|
Кислота метоксіоцтова |
8 |
C3 |
I |
н-Бутилацетат/н- бутилацетат – насичений змочувальний розчин |
||
|
Алілсукціоновий ангідрид |
8 |
C3 |
II |
н-Бутилацетат/н- бутилацетат – насичений змочувальний розчин |
||
|
Дитіогліколева кислота |
8 |
C3 |
II |
н-Бутилацетат/н- бутилацетат – насичений змочувальний розчин |
||
|
Бутилфосфат |
суміш моно- і дибутилфосфату |
8 |
C3 |
III |
Змочувальний розчин |
|
|
Кислота каприлова |
8 |
C3 |
III |
н-Бутилацетат/н- бутилацетат – насичений змочувальний розчин |
||
|
Кислота ізовалеріанова |
8 |
C3 |
III |
н-Бутилацетат/н- бутилацетат – насичений змочувальний розчин |
||
|
Кислота пеларгонова |
8 |
C3 |
III |
н-Бутилацетат/н- бутилацетат – насичений змочувальний розчин |
||
|
Кислота піровиноградна |
8 |
C3 |
III |
н-Бутилацетат/н- бутилацетат – насичений змочувальний розчин |
||
|
Кислота валеріанова |
8 |
C3 |
III |
Оцтова кислота |
||
|
Корозійна рідина кисла органічна, н.з.к. |
температура спалаху більше 60 °С |
8 |
C3 |
I/II/III |
Правило для зведених позицій |
|
|
Натрію гідросульфід |
водний розчин |
8 |
C5 |
II |
Оцтова кислота |
|
|
Натрію сульфід |
водний розчин, слабокорозійний |
8 |
C5 |
III |
Оцтова кислота |
|
|
Корозійна рідина лужна неорганічна, н.з.к. |
температура спалаху більше 60 °С |
8 |
C5 |
I/II/III |
Правило для зведених позицій |
|
|
2,2ꞌ-(Бутиліміно)- діетанол |
8 |
C7 |
II |
Суміш вуглеводнів і змочувальний розчин |
||
|
Корозійна рідина лужна органічна, н.з.к. |
температура спалаху більше 60 °С |
8 |
C7 |
I/II/III |
Правило для зведених позицій |
|
|
Ефір монобутиловий етиленгліколю |
температура спалаху 60 °С |
3 |
F1 |
III |
Оцтова кислота |
|
|
Ефір, н.з.к. |
3 |
F1 |
II/III |
Правило для зведених позицій |
||
|
Ефір трет-бутиловий акрилової кислоти |
3 |
F1 |
II |
н-Бутилацетат/н- бутилацетат – насичений змочувальний розчин |
||
|
Ізобутилпропіонат |
температура спалаху нижче 23 °С |
3 |
F1 |
II |
н-Бутилацетат/н- бутилацетат – насичений змочувальний розчин |
|
|
Метилвалерат |
3 |
F1 |
II |
н-Бутилацетат/н- бутилацетат – насичений змочувальний розчин |
||
|
Триметил-орто-форміат |
3 |
F1 |
II |
н-Бутилацетат/н- бутилацетат – насичений змочувальний розчин |
||
|
Етилвалерат |
3 |
F1 |
III |
н-Бутилацетат/н- бутилацетат – насичений змочувальний розчин |
||
|
Ізобутилізовалерат |
3 |
F1 |
III |
н-Бутилацетат/н- бутилацетат – насичений змочувальний розчин |
||
|
н-Амілпропіонат |
3 |
F1 |
III |
н-Бутилацетат/н- бутилацетат – насичений змочувальний розчин |
||
|
н-Бутилбутират |
3 |
F1 |
III |
н-Бутилацетат/н- бутилацетат – насичений змочувальний розчин |
||
|
Метиллактат |
3 |
F1 |
III |
н-Бутилацетат/н- бутилацетат – насичений змочувальний розчин |
||
|
Ефір складний, н.з.к. |
3 |
F1 |
II/III |
Правило для зведених позицій |
||
|
Натрію нітрат |
40% водний розчин |
6.1 |
T4 |
III |
Вода |
|
|
Токсична рідина неорганічна, н.з.к. |
6.1 |
T4 |
I/II/III |
Правило для зведених позицій |
||
|
Відходи лікарняного походження різні, н.з.к. |
Рідкі |
6.2 |
I3 |
Вода |
||
|
Гідразину водний розчин |
з масовою часткою гідразину не більше 37% |
6.1 |
T4 |
III |
Вода |
|
|
Гептени |
н.з.к. |
3 |
F1 |
II |
Суміш вуглеводнів |
|
|
Нонани |
температура спалаху нижче 23 °С |
3 |
F1 |
II |
Суміш вуглеводнів |
|
|
Декани |
н.з.к. |
3 |
F1 |
III |
Суміш вуглеводнів |
|
|
1,2,3-Триметилбензол |
3 |
F1 |
III |
Суміш вуглеводнів |
||
|
Вуглеводні рідкі, н.з.к. |
3 |
F1 |
I/II/III |
Правило для зведених позицій |
||
|
Барію хлорату розчин |
водний розчин |
5.1 |
OT1 |
II/III |
Вода |
|
|
Барію перхлорату розчин |
водний розчин |
5.1 |
OT1 |
II/III |
Вода |
|
|
Свинцю перхлорату розчин |
водний розчин |
5.1 |
OT1 |
II/III |
Вода |
|
|
Калію ціаніду розчин |
водний розчин |
6.1 |
T4 |
I/II/III |
Вода |
|
|
Натрію ціаніду розчин |
водний розчин |
6.1 |
T4 |
I/II/III |
Вода |
|
|
Натрію фториду розчин |
водний розчин |
6.1 |
T4 |
III |
Вода |
|
|
Калію фториду розчин |
водний розчин |
6.1 |
T4 |
III |
Вода |
|
4.1.2 Додаткові загальні положення, що стосуються використання КСМ
4.1.2.1 Якщо КСМ використовуються для перевезення рідин з температурою спалаху 60 °C (закрита посудина) або нижче, або для перевезення порошків, пил яких є вибухонебезпечним, повинні бути вжиті заходи для запобігання небезпечному електростатичному розряду.
4.1.2.2 Кожний металевий, твердий пластмасовий і складений КСМ повинен пройти відповідні перевірки і випробування згідно з положеннями пунктів 6.5.4.4 або 6.5.4.5:
– перед початком експлуатації;
– згодом, через проміжки часу, що не перевищують двох з половиною й п’яти років, залежно від конкретного випадку;
– після ремонту або реконструкції, перед повторним використанням з метою перевезення.
КСМ не повинен наповнюватися й пред’являтися до перевезення після закінчення терміну дії останнього періодичного випробування або останньої періодичної перевірки. Однак КСМ, наповнений до закінчення терміну дії останнього періодичного випробування або останньої періодичної перевірки, може перевозитися протягом періоду, що не перевищує трьох місяців, після дати закінчення терміну дії останнього періодичного випробування або останньої періодичної перевірки. Крім того, після закінчення терміну дії останнього періодичного випробування або останньої періодичної перевірки КСМ може перевозитися в наступних випадках:
a) після спорожнювання, але до очищення – для цілей проходження необхідного випробування або необхідної перевірки перед черговим наповненням; і
b) якщо компетентний орган не прийняв іншого рішення, – протягом періоду, що не перевищує шести місяців, після закінчення терміну дії останнього періодичного випробування або останньої періодичної перевірки, з метою повернення небезпечних вантажів або залишків для належного видалення або переробки.
ПРИМІТКА: Відносно записів у транспортному документі див. пункт 5.4.1.1.11.
4.1.2.3 КСМ типу 31HZ2 повинні заповнюватися щонайменше на 80% об’єму зовнішньої оболонки.
4.1.2.4 За винятком випадків поточне технічне обслуговування металевих, твердих пластмасових, складених і м’яких КСМ проводиться власником КСМ, державна приналежність і найменування або затверджений символ якого нанесені на КСМ у вигляді зносостійкого маркування, сторона, що робить поточне технічне обслуговування, наносить на КСМ, поруч із проставленим виробником маркувальним знаком типу конструкції «UN», зносостійке маркування, що вказує:
а) державу, у якій було проведено поточне технічне обслуговування; і
b) найменування або затверджений символ сторони, яка провела поточне технічне обслуговування.
4.1.3 Загальні положення, що стосуються інструкцій з упакування
4.1.3.1 Інструкції з упакування, застосовні до небезпечних вантажів класів 1–9, наведено в розділі 4.1.4. Вони згруповані по трьом підрозділам залежно від типу тари, на яку вони поширюються:
підрозділ 4.1.4.1 для тари, крім КСМ і великогабаритної тари; ці інструкції з упакування позначені буквено-цифровим кодом, що починається з літери «P» або «R», якщо мова йде про тару, передбачену МПНВ і ДОПНВ;
підрозділ 4.1.4.2 для КСМ; ці інструкції з упакування позначені буквено-цифровим кодом, що починаються з літер «IBC»;
підрозділ 4.1.4.3 для великогабаритної тари; ці інструкції з упакування позначені буквено-цифровим кодом, що починається з літер «LP».
Як правило, в інструкціях з упакування вказується, що застосовуються загальні положення розділів 4.1.1, 4.1.2 або 4.1.3 залежно від конкретного випадку. У цих інструкціях може бути також зазначено, що повинні дотримуватися спеціальні положення розділів 4.1.5, 4.1.6, 4.1.7, 4.1.8 або 4.1.9, коли це необхідно. Для окремих речовин або виробів в інструкції з упакування можуть бути також викладені спеціальні положення з упакування. Вони також позначаються буквено-цифровим кодом, що складається з наступних літер:
«PP» для тари, крім КСМ і великогабаритної тари, або «RR», якщо мова йде про спеціальні положення, передбачені МПНВ і ДОПНВ;
«B» для КСМ або «ВВ», якщо мова йде про спеціальні положення, передбачені МПНВ і ДОПНВ;
«L» для великогабаритної тари або «LL», якщо мова йде про спеціальні положення з упакування, передбачені МПНВ і ДОПНВ.
Якщо не зазначено інше, кожна одиниця тари повинна відповідати відповідним вимогам частини 6. Як правило, в інструкціях з упакування не даються вказівки щодо сумісності, і тому перед вибором тари користувачу слід перевірити сумісність речовини з обраним пакувальним матеріалом (наприклад, для більшості фторидів скляні посудини непридатні). Якщо в інструкціях з упакування дозволяється використання скляних посудин, допускається також використовувати тару з порцеляни, глини й кераміки.
4.1.3.2 У стовпчику 8 таблиці А глави 3.2 для кожного виробу або речовини зазначено, яку (які) інструкцію (інструкції) з упакування слід використовувати. У стовпчиках 9а й 9b зазначені спеціальні положення з упакування й положення зі сумісного упакування (див. розділ 4.1.10), застосовні до окремих речовин або виробів.
4.1.3.3 У відповідних випадках у кожній інструкції з упакування зазначена прийнятна для використання одиночна або комбінована тара. Для комбінованої тари зазначені прийнятна зовнішня й внутрішня тара й у відповідних випадках максимальна кількість, яку дозволяється перевозити в кожній одиниці внутрішньої або зовнішньої тари. Визначення максимальної маси нетто й максимальної місткості наведені в розділі 1.2.1. Якщо тара, яка не обов'язково повинна відповідати вимогам пункту 4.1.1.3 (наприклад, ящики, піддони), дозволена в інструкції з упакування або спеціальних положеннях, зазначених в таблиці A глави 3.2, на цю тару не поширюються обмеження за масою або об'ємом, зазвичай застосовувані до тари, що відповідає вимогам глави 6.1, якщо у відповідній інструкції з упакування або спеціальному положенні не зазначено інше.
4.1.3.4 Не допускається використання нижчевказаних видів тари, якщо в ході перевезення речовини, що перевозяться, можуть переходити в рідкий стан:
Тара
Барабани: 1D і 1G
Ящики: 4A, 4B, 4N, 4C1, 4C2, 4D, 4F, 4G, 4H1 і 4H2
Мішки: 5L1, 5L2, 5L3, 5H1, 5H2, 5H3, 5H4, 5M1 і 5M2
Складана тара: 6HC, 6HD2, 6HG1, 6HG2, 6HD1, 6PC, 6PD1, 6PD2, 6PG1, 6PG2 і 6PH1
Великогабаритна тара
З м’якої пластмаси: 51Н (зовнішня тара)
КСМ
Для речовин групи упакування I: усі типи КСМ
Для речовин груп упакування II і III:
Дерев’яні: 11C, 11D і 11F
З фібрового картону: 11G
М’які: 13H1, 13H2, 13H3, 13H4, 13H5, 13L1, 13L2, 13L3, 13L4, 13M1 і 13M2
Складані: 11HZ2 і 21HZ2
Для цілей цього пункту речовини й суміші речовин, що мають температуру плавлення 45 °C або менше, уважаються твердими речовинами, здатними переходити в рідкий стан під час перевезення.
4.1.3.5 Якщо відповідно до інструкцій з упакування, що містяться в цій главі, дозволяється використання конкретного типу тари (наприклад, 4G; 1А2), то з дотриманням таких же самих умов і обмежень, застосовних відносно даного типу тари згідно з відповідними інструкціями з упакування, може також використовуватися тара, що має аналогічний код тари, за яким ідуть літери «V», «U» або «W» і який наноситься відповідно до вимог частини 6 (наприклад, 4GV, 4GU або 4GW; 1А2V, 1А2U або 1А2W). Наприклад, може використовуватися комбінована тара, на яку нанесений код тари «4GV», якщо дозволене використання комбінованої тари, позначеної кодом «4G», за умови дотримання вимог відносно типів внутрішньої тари й кількісних обмежень, що містяться у відповідній інструкції з упакування.
4.1.3.6 Посудини під тиском для рідин і твердих речовин
4.1.3.6.1 Якщо в ДОПНВ не зазначено інше, посудини під тиском, що відповідають:
а) застосовним вимогам глави 6.2 або
b) національним або міжнародним стандартам на проектування, конструкцію, випробування, виготовлення й перевірку, застосовуваним країною, де були виготовлені дані посудини під тиском, за умови дотримання положень підрозділу 4.1.3.6 і того, що металеві балони, трубки, барабани під тиском, в’язки балонів і аварійні посудини під тиском повинні бути виготовлені таким чином, щоб мінімальна величина коефіцієнта розриву (тиск розриву, ділений на випробувальний тиск) становила:
i) 1,50 – для посудин під тиском багаторазового використання,
ii) 2,00 – для посудин під тиском одноразового використання,
дозволяється використовувати для перевезення будь-якої рідини або будь-якої твердої речовини, за винятком вибухових речовин, термічно нестійких речовин, органічних пероксидів, самореактивних речовин, речовин, здатних призвести до значного підвищення тиску в результаті наростання хімічної реакції, і радіоактивних матеріалів (якщо тільки їх перевезення не дозволене згідно з розділом 4.1.9).
Цей підрозділ не застосовується до речовин, згаданих у підрозділі 4.1.4.1, інструкція з упакування Р200, таблиця 3.
4.1.3.6.2 Кожний тип конструкції посудини під тиском затверджується або компетентним органом країни виготовлення, або відповідно до вимог глави 6.2.
4.1.3.6.3 Якщо не зазначено інше, використовуються посудини під тиском з мінімальним випробувальним тиском в 0,6 МПа.
4.1.3.6.4 Якщо не зазначено інше, посудини під тиском можуть бути обладнані пристроєм аварійного скидання тиску для запобігання розриву посудини у випадку переповнення або пожежі.
Клапани посудин під тиском повинні бути сконструйовані й виготовлені таким чином, щоб вони були здатні витримати ушкодження без викиду вмісту, або повинні бути захищені від ушкодження, яке могло б призвести до довільного викиду вмісту посудини під тиском, за допомогою одного з методів, зазначених у пунктах 4.1.6.8 а)–e).
4.1.3.6.5 Ступінь наповнення не повинен перевищувати 95% місткості посудини під тиском при 50 °С. Залишається достатній незаповнений об’єм (вільний об’єм для розширення рідини в резервуарі), для уникнення заповненню всього внутрішнього об’єму посудини під тиском рідиною при температурі 55 °С.
4.1.3.6.6 Якщо не зазначено інше, посудини під тиском проходять кожні п’ять років періодичну перевірку й випробування. Періодична перевірка включає зовнішній огляд, внутрішній огляд або альтернативний метод, затверджений компетентним органом, випробування під тиском або рівноцінне ефективне неруйнуюче випробування за згодою компетентного органу, включаючи перевірку всього допоміжного обладнання (наприклад, герметичності клапанів, пристроїв аварійного скидання тиску або плавких елементів). Посудини під тиском не наповнюються після того, як настав строк проведення їх періодичної перевірки й випробування, однак вони можуть перевозитися після закінчення граничного строку. Ремонт посудин під тиском проводиться відповідно до вимог пункту 4.1.6.11.
4.1.3.6.7 Перед наповненням посудини під тиском особа, яка робить наповнення, перевіряє посудину й впевнюється в тому, що вона дозволена для речовин, що підлягають перевезенню, і що вимоги ДОПНВ дотримані. Після наповнення запірні вентилі закриваються й залишаються закритими під час перевезення. Відправник вантажу перевіряє запірні пристрої й обладнання на предмет витоку.
4.1.3.6.8 Посудини під тиском багаторазового використання наповнюються речовиною, яка відрізняється від речовин, що раніше містилися в них, тільки після виконання необхідних операцій з перепрофілювання.
4.1.3.6.9 Маркування посудин під тиском для рідин і твердих речовин, що відповідають положенням підрозділу 4.1.3.6 (але не відповідають вимогам глави 6.2), проводиться відповідно до вимог компетентного органу країни виготовлення.
4.1.3.7 Тара або КСМ, використання яких прямо не дозволене у відповідній інструкції з упакування, не повинні використовуватися для перевезення тієї або іншої речовини або виробу, крім тих випадків, коли таке їх використання прямо дозволене на підставі тимчасового відступу, погодженого Договірними сторонами відповідно до розділу 1.5.1.
4.1.3.8 Неупаковані вироби, крім виробів класу 1
4.1.3.8.1 Якщо великогабаритні й масивні вироби не можуть бути впаковані відповідно до вимог глав 6.1 або 6.6 і повинні перевозитися порожніми, неочищеними й неупакованими, то компетентний орган країни походження2 може дозволити таке перевезення. При цьому компетентний орган повинен брати до уваги наступне:
а) великогабаритні й масивні вироби повинні бути досить міцними, щоб витримувати удари й навантаження, які зазвичай мають місце в ході перевезення, включаючи перевантаження між вантажними транспортними одиницями або між вантажними транспортними одиницями й складами, а також будь-яке переміщення з піддона для наступної ручної або механічної обробки;
b) усі затвори й отвори повинні бути герметизовані таким чином, щоб не відбувалося втрати вмісту, яка могла б відбутися в нормальних умовах перевезення в результаті вібрації або змін температури, вологості або тиску (наприклад, через зміну висоти). Ніякі залишки небезпечної речовини не повинні налипати на зовнішню поверхню великогабаритних і масивних виробів;
с) частини великогабаритних і масивних виробів, що знаходяться у прямому контакті з небезпечними вантажами:
i) не повинні ушкоджуватися або значно послаблятися під впливом цих небезпечних вантажів; і
ii) не повинні викликати небезпечного ефекту, наприклад каталізувати реакцію або вступати в реакцію з небезпечними вантажами;
d) великогабаритні й масивні вироби, що містять рідини, повинні укладатися й закріплюватися таким чином, щоб у ході перевезення не відбувалося витоку з виробу або його залишкової деформації;
е) вони повинні бути встановлені на опори, або поміщені в лати або інші транспортно-завантажувальні пристрої, або поміщені у вантажну транспортну одиницю таким чином, щоб у нормальних умовах перевезення вони не могли переміщатися.
4.1.3.8.2 На неупаковані вироби, перевезення яких дозволене компетентним органом відповідно до положень пункту 4.1.3.8.1, поширюються процедури відправлення, передбачені в частині 5. Крім того, відправник вантажу таких виробів зобов’язаний забезпечити, щоб до транспортного документа додавався екземпляр такого дозволу.
ПРИМІТКА: До великогабаритних і масивних виробівможуть відноситися гнучкі системи втримання палива, військове обладнання, машини або механізми, що містять небезпечні вантажі в кількостях, що перевищують значення обмежених кількостей відповідно до розділу 3.4.1.
4.1.4 Перелік інструкцій з упакування
ПРИМІТКА: Незважаючи на те що наведені нижче інструкції з упакування пронумеровані так само, як у МКМПНВ і Типових правилах ООН, слід пам’ятати, що у випадку ДОПНВ деякі окремі вимоги можуть бути іншими.
4.1.4.1 Інструкції з упакування, що стосуються використання тари (крім КСМ і великогабаритної тари)
|
P001 ІНСТРУКЦІЯ З УПАКУВАННЯ (РІДИНИ) Р001 |
||||
|
За умови дотримання загальних положень, викладених у розділах 4.1.1 і 4.1.3, дозволяється використовувати наступну тару: |
||||
|
Комбінована тара: |
Максимальна місткість/маса нетто (див. пункт 4.1.3.3) |
|||
|
Внутрішня тара |
Зовнішня тара |
Група упакування I |
Група упакування II |
Група упакування III |
|
Барабани |
||||
|
Скляна 10 л |
сталеві (1A1, 1A2) |
250 кг |
400 кг |
400 кг |
|
Пластмасова 30 л |
алюмінієві (1B1, 1B2) |
250 кг |
400 кг |
400 кг |
|
Металева 40 л |
інші металеві (1N1, 1N2) |
250 кг |
400 кг |
400 кг |
|
пластмасові (1Н1, 1H2) |
250 кг |
400 кг |
400 кг |
|
|
фанерні (1D) |
150 кг |
400 кг |
400 кг |
|
|
фіброві (1G) |
75 кг |
400 кг |
400 кг |
|
|
Ящики |
||||
|
сталеві (4A) |
250 кг |
400 кг |
400 кг |
|
|
алюмінієві (4B) |
250 кг |
400 кг |
400 кг |
|
|
інші металеві (4N) |
250 кг |
400 кг |
400 кг |
|
|
з природної деревини (4C1, 4C2) |
150 кг |
400 кг |
400 кг |
|
|
фанерні (4D) |
150 кг |
400 кг |
400 кг |
|
|
з деревного матеріалу (4F) |
75 кг |
400 кг |
400 кг |
|
|
з фібрового картону (4G) |
75 кг |
400 кг |
400 кг |
|
|
з пінопласту (4H1) |
60 кг |
60 кг |
60 кг |
|
|
з твердої пластмаси (4H2) |
150 кг |
400 кг |
400 кг |
|
|
Каністри |
||||
|
сталеві (3А1, 3A2) |
120 кг |
120 кг |
120 кг |
|
|
алюмінієві (3В1, 3B2) |
120 кг |
120 кг |
120 кг |
|
|
пластмасові (3Н1, 3H2) |
120 кг |
120 кг |
120 кг |
|
|
Одиночна тара: |
||||
|
Барабани |
||||
|
сталеві, з незнімним днищем (1A1) |
250 л |
450 л |
450 л |
|
|
сталеві, зі знімним днищем (1A2) |
250 л a |
450 л |
450 л |
|
|
алюмінієві, з незнімним днищем (1B1) |
250 л |
450 л |
450 л |
|
|
алюмінієві, зі знімним днищем (1B2) |
250 л a |
450 л |
450 л |
|
|
інші металеві, крім сталевих або алюмінієвих, з незнімним днищем (1N1) |
250 л |
450 л |
450 л |
|
|
інші металеві, крім сталевих або алюмінієвих, зі знімним днищем (1N2) |
250 л a |
450 л |
450 л |
|
|
пластмасові, з незнімним днищем (1H1) |
250 л |
450 л |
450 л |
|
|
пластмасові, зі знімним днищем (1H2) |
250 л a |
450 л |
450 л |
|
|
Каністри |
||||
|
сталеві, з незнімним днищем (3A1) |
60 л |
60 л |
60 л |
|
|
сталеві, зі знімним днищем (3A2) |
60 л a |
60 л |
60 л |
|
|
алюмінієві, з незнімним днищем (3B1) |
60 л |
60 л |
60 л |
|
|
алюмінієві, зі знімним днищем (3B2) |
60 л a |
60 л |
60 л |
|
|
пластмасові, з незнімним днищем (3H1) |
60 л |
60 л |
60 л |
|
|
пластмасові, зі знімним днищем (3H2) |
60 л a |
60 л |
60 л |
|
|
a Допускається перевезення тільки речовин, що мають в’язкість більше 2 680 мм2/с. |
||||
|
(продовж. на наст. стор.) |
||||
|
P001 ІНСТРУКЦІЯ З УПАКУВАННЯ (РІДИНИ) (продовж.) Р001 |
|||
|
Одиночна тара (продовж.): |
Максимальна місткість/маса нетто (див. пункт 4.1.3.3) |
||
|
Складана тара |
Група упакування I |
Група упакування II |
Група упакування III |
|
пластмасова посудина в зовнішньому сталевому, алюмінієвому або пластмасовому барабані (6HA1, 6HB1, 6HH1) |
250 л |
250 л |
250 л |
|
пластмасова посудина в зовнішньому фібровому або фанерному барабані (6HG1, 6HD1) |
120 л |
250 л |
250 л |
|
пластмасова посудина в зовнішніх сталевих або алюмінієвих латах або ящику або пластмасова посудина в зовнішньому ящику з деревини, фанери, фібрового картону або твердої пластмаси (6HA2, 6HB2, 6HC, 6HD2, 6HG2 або 6HH2) |
60 л |
60 л |
60 л |
|
скляна посудина в зовнішньому барабані зі сталі, алюмінію, фібрового картону, фанери, пінопласту або твердої пластмаси (6РА1, 6РВ1, 6PG1, 6PD1, 6PH1 або 6РН2) або в зовнішньому ящику або латах зі сталі або алюмінію, або в зовнішньому ящику з деревини або фібрового картону, або в зовнішньому плетеному кошику (6РА2, 6РВ2, 6РС, 6PG2 або 6PD2) |
60 л |
60 л |
60 л |
|
Посудини під тиском, за умови дотримання загальних положень, викладених у підрозділі 4.1.3.6. |
|||
|
Додаткова вимога: Для речовин класу 3, група упакування III, що виділяють у малих кількостях діоксид вуглецю або азот, повинна бути передбачена можливість вентилювання тари. |
|||
|
Спеціальні положення з упакування: PP1 Для № ООН 1133, 1210, 1263 і 1866 і для клеїв, типографських фарб, матеріалів, використовуваних з типографською фарбою, фарб, лакофарбових матеріалів і розчинів смоли, віднесених до № ООН 3082: металева або пластмасова тара для речовин груп упакування II і III у кількостях не більше 5 літрів на одиницю тари може не відповідати вимогам експлуатаційних випробувань, передбаченим у главі 6.1, у випадку перевезення: a) у пакетах, ящиках-піддонах або в тарно-навантажувальному пристосуванні; наприклад, окремі упаковки укладаються або штабелюються на піддоні й закріплюються за допомогою стрічки, термоусадочного або розтягувального матеріалу або іншим придатним способом; b) у якості внутрішньої тари комбінованої тари максимальною масою нетто 40 кг. PP2 Для № ООН 3065: можуть використовуватися дерев’яні бочки максимальною місткістю 250 літрів, які не задовольняють положенням розділу 6.1. PP4 Для № ООН 1774: тара повинна задовольняти експлуатаційним вимогам для групи упакування II. PP5 Для № ООН 1204: тара повинна бути сконструйована таким чином, щоб у результаті збільшення внутрішнього тиску не могло відбутися вибуху. Для цих речовин не повинні використовуватися балони, трубки й барабани під тиском. PP6 (Виключено) PP10 Для № ООН 1791, група упакування II: повинна бути передбачена можливість вентилювання тари. PP31 Для № ООН 1131: тара повинна бути герметично запечатана. PP33 Для № ООН 1308, групи упакування I і II: дозволяється використовувати тільки комбіновану тару максимальною масою брутто 75 кг. PP81 Для № ООН 1790 зі вмістом фтористого водню більше 60%, але не більше 85% і № ООН 2031 зі вмістом азотної кислоти більше 55%: пластмасові барабани й каністри дозволяється використовувати як одиночну тару протягом двох років з дати їх виготовлення. PP93 Для № ООН 3532 і 3534: тара повинна бути сконструйована й виготовлена таким чином, щоб була можливість випуску газу або пари для запобігання підвищенню тиску, який міг би призвести до розриву тари у випадку втрати стабілізації. |
|||
|
Спеціальні положення з упакування, передбачені МПНВ і ДОПНВ: RR2 Для № ООН 1261: не дозволяється використовувати тару зі знімним днищем. |
|||
|
P002 ІНСТРУКЦІЯ З УПАКУВАННЯ (ТВЕРДІ РЕЧОВИНИ) P002 |
||||
|
За умови дотримання загальних положень, викладених у розділах 4.1.1 і 4.1.3, дозволяється використовувати наступну тару: |
||||
Комбінована тара: |
Максимальна маса нетто (див. пункт 4.1.3.3) |
|||
Внутрішня тара |
Зовнішня тара |
Група упакування I |
Група упакування II |
Група упакування III |
|
Скляна 10 кг Пластмасова а 50 кг Металева 50 кг Паперова a, b, c 50 кг Фіброва a, b, c 50 кг |
Барабани сталеві (1A1, 1A2) алюмінієві (1В1, 1B2) інші металеві (1N1, 1N2) пластмасові (1Н1, 1H2) фанерні (1D) фіброві (1G) |
400 кг 400 кг 400 кг 400 кг 400 кг 400 кг |
400 кг 400 кг 400 кг 400 кг 400 кг 400 кг |
400 кг 400 кг 400 кг 400 кг 400 кг 400 кг |
|
Ящики
сталеві (4А) алюмінієві (4В) інші металеві (4N) з природної деревини (4С1) з природної деревини із щільно пригнаними стінками (4С2) фанерні (4D) з деревного матеріалу (4F) з фібрового картону (4G) з пінопласту (4Н1) з твердої пластмаси (4Н2) |
400 кг 400 кг 400 кг 250 кг 250 кг 250 кг 125 кг 125 кг 60 кг 250 кг |
400 кг 400 кг 400 кг 400 кг 400 кг 400 кг 400 кг 400 кг 60 кг 400 кг |
400 кг 400 кг 400 кг 400 кг 400 кг 400 кг 400 кг 400 кг 60 кг 400 кг |
|
|
Каністри сталеві (3А1, 3А2) алюмінієві (3В1, 3В2) пластмасові (3Н1, 3Н2) |
120 кг 120 кг 120 кг |
120 кг 120 кг 120 кг |
120 кг 120 кг 120 кг |
|
Одиночна тара: |
||||
|
Барабани |
||||
|
сталеві (1A1 або 1A2 d) |
400 кг |
400 кг |
400 кг |
|
|
алюмінієві (1B1 або 1B2 d) |
400 кг |
400 кг |
400 кг |
|
|
інші металеві, крім сталевих або алюмінієвих (1N1 або 1N2 d) |
400 кг |
400 кг |
400 кг |
|
|
пластмасові (1H1 або 1H2 d) |
400 кг |
400 кг |
400 кг |
|
|
фіброві (1G) e |
400 кг |
400 кг |
400 кг |
|
|
фанерні (1D) e |
400 кг |
400 кг |
400 кг |
|
|
Каністри |
||||
|
сталеві (3A1 або 3A2 d) |
120 кг |
120 кг |
120 кг |
|
|
алюмінієві (3B1 або 3B2 d) |
120 кг |
120 кг |
120 кг |
|
|
пластмасові (3H1 або 3H2 d) |
120 кг |
120 кг |
120 кг |
|
|
a Така внутрішня тара повинна бути непроникною для сипучих речовин. b Така внутрішня тара не повинна використовуватися, коли речовини, що перевозяться, можуть перейти в рідкий стан у ході перевезення (див. пункт 4.1.3.4). c Така внутрішня тара не повинна використовуватися для речовин групи упакування I. d Така тара не повинна використовуватися для речовин групи упакування I, які можуть переходити в рідкий стан у ході перевезення (див. пункт 4.1.3.4). e Така тара не повинна використовуватися для речовин, які можуть переходити в рідкий стан у ході перевезення (див. пункт 4.1.3.4). |
||||
|
(продовж. на наст. стор.) |
||||
|
P002 ІНСТРУКЦІЯ З УПАКУВАННЯ (ТВЕРДІ РЕЧОВИНИ) (продовж.) P002 |
|||
|
Максимальна маса нетто (див. пункт 4.1.3.3) |
|||
|
Одиночна тара (продовж.): |
Група упакування I |
Група упакування II |
Група упакування III |
|
Ящики |
|||
|
сталеві (4A) e |
Не дозволяється |
400 кг |
400 кг |
|
алюмінієві (4B) e |
Не дозволяється |
400 кг |
400 кг |
|
інші металеві (4N) е |
Не дозволяється |
400 кг |
400 кг |
|
з природної деревини (4C1) e |
Не дозволяється |
400 кг |
400 кг |
|
фанерні (4D) e |
Не дозволяється |
400 кг |
400 кг |
|
з деревного матеріалу (4F) e |
Не дозволяється |
400 кг |
400 кг |
|
з природної деревини із щільно пригнаними стінками (4C2) e |
Не дозволяється |
400 кг |
400 кг |
|
з фібрового картону (4G) e |
Не дозволяється |
400 кг |
400 кг |
|
з твердої пластмаси (4H2) e |
Не дозволяється |
400 кг |
400 кг |
|
Мішки |
|||
|
мішки (5H3, 5H4, 5L3, 5M2) e |
Не дозволяється |
50 кг |
50 кг |
|
Складана тара: |
|||
|
пластмасова посудина в зовнішньому сталевому, алюмінієвому, фанерному, фібровому або пластмасовому барабані (6HA1, 6HB1, 6HG1 e, 6HD1 e або 6HH1) |
400 кг |
400 кг |
400 кг |
|
пластмасова посудина в зовнішніх сталевих або алюмінієвих латах або ящику або в ящику з деревини, фанери, фібрового картону або твердої пластмаси (6HA2, 6HB2, 6HC, 6HD2 e, 6HG2 e або 6HH2) |
75 кг |
75 кг |
75 кг |
|
скляна посудина в зовнішньому сталевому, алюмінієвому, фанерному або фібровому барабані (6PA1, 6PB1, 6PD1 e або 6PG1 e) або в зовнішньому сталевому або алюмінієвому ящику або латах, або в зовнішньому ящику з деревини або фібрового картону, або в зовнішньому плетеному кошику (6PA2, 6PB2, 6PC, 6PD2 e або 6PG2 e), або у зовнішній тарі з пінопласту або твердої пластмаси (6PH1 або 6PH2 e) |
75 кг |
75 кг |
75 кг |
|
Посудини під тиском, за умови дотримання загальних положень, викладених у підрозділі 4.1.3.6. |
|||
|
e Така тара не повинна використовуватися для речовин, які можуть переходити в рідкий стан у ході перевезення (див. пункт 4.1.3.4). |
|||
(продовж. на наст. стор.)
|
P002 ІНСТРУКЦІЯ З УПАКУВАННЯ (ТВЕРДІ РЕЧОВИНИ) (продовж.) P002 |
|
Спеціальні положення з упакування: PP6 (Виключено) PP7 Для № ООН 2000: целулоїд може також перевозитися в неупакованому вигляді на піддонах, загорнених у пластмасову плівку й закріплених придатними засобами, такими як сталеві обручі, повним завантаженням у закритих транспортних засобах або закритих контейнерах. Вага кожного піддона не повинна перевищувати 1 000 кг. PP8 Для № ООН 2002: тара повинна бути сконструйована таким чином, щоб у результаті збільшення внутрішнього тиску не могло відбутися вибуху. Для цих речовин не повинні використовуватися балони, трубки й барабани під тиском. PP9 Для № ООН 3175, 3243 і 3244: тара повинна відповідати типу конструкції, що пройшов випробування на герметичність відповідно до експлуатаційних вимог для групи упакування II. Для № ООН 3175: випробування на герметичність не потрібне, якщо рідини повністю абсорбовані твердим матеріалом, що міститься в герметично закритих мішках. PP11 Для № ООН 1309, група упакування III, і № ООН 1362: дозволяється використання мішків 5H1, 5L1 і 5M1, якщо вони поміщені в полімерні мішки й загорнені в термоусадочний матеріал або плівку, що розтягується, на піддоні. PP12 Для № ООН 1361, 2213 і 3077: дозволяється використання мішків 5H1, 5L1 і 5M1 у випадку перевезення в закритих транспортних засобах або закритих контейнерах. PP13 Для виробів, віднесених до № ООН 2870: дозволяється використання тільки комбінованої тари, що відповідає експлуатаційним вимогам для групи упакування I. PP14 Для № ООН 2211, 2698 і 3314: не потрібно, щоб тара відповідала вимогам випробувань, передбаченим у главі 6.1. PP15 Для № ООН 1324 і 2623: тара повинна відповідати експлуатаційним вимогам для групи упакування III. PP20 Для № ООН 2217: можуть використовуватися будь-які непроникні для сипучих речовин і міцні на розрив посудини. PP30 Для № ООН 2471: не дозволяється використання паперової або фібрової внутрішньої тари. PP34 Для № ООН 2969 (цільні боби): дозволяється використання мішків 5H1, 5L1 і 5M1. PP37 Для № ООН 2590 і 2212: дозволяється використання мішків 5M1. Мішки всіх типів повинні перевозитися в закритих транспортних засобах або закритих контейнерах або повинні поміщуватися в закриті тверді транспортні пакети. PP38 Для № ООН 1309, група упакування II: використання мішків дозволяється тільки в закритих транспортних засобах або закритих контейнерах. PP84 Для № ООН 1057: повинна використовуватися тверда зовнішня тара, що відповідає експлуатаційним вимогам для групи упакування II. Ця тара повинна бути сконструйована, виготовлена й розміщена таким чином, щоб виключалася можливість переміщення, випадкового загоряння обладнання або випадкового витоку займистого газу або легкозаймистої рідини. ПРИМІТКА: Відносно запальничок, що відробили, зібраних окремо, див. главу 3.3, спеціальне положення 654. PP92 Для № ООН 3531 і 3533: тара повинна бути сконструйована й виготовлена таким чином, щоб була можливість випуску газу або пари для запобігання підвищенню тиску, який міг би призвести до розриву тари у випадку втрати стабілізації. |
|
Спеціальне положення з упакування, передбачене МПНВ і ДОПНВ: RR5 Незалежно від вимог спеціального положення з упакування PP84, повинні дотримуватися лише загальні положення пунктів 4.1.1.1, 4.1.1.2 і 4.1.1.5–4.1.1.7 за умови, що маса брутто упаковки не перевищує 10 кг. ПРИМІТКА: Відносно запальничок, що відробили, зібраних окремо, див. главу 3.3, спеціальне положення 654. |
|
P003 ІНСТРУКЦІЯ З УПАКУВАННЯ P003 |
|
Небезпечні вантажі повинні бути поміщені в придатну зовнішню тару. Тара повинна відповідати положенням пунктів 4.1.1.1, 4.1.1.2, 4.1.1.4, 4.1.1.8 і розділу 4.1.3 і бути сконструйована таким чином, щоб вона задовольняла вимогам відносно конструкції, передбаченим у розділі 6.1.4. Повинна використовуватися зовнішня тара, що виготовлена з придатного матеріалу й має належну міцність і конструкцію залежно від місткості тари і її призначення. Якщо дана інструкція з упакування застосовується для перевезення виробів або внутрішньої тари комбінованої тари, то ця тара повинна бути сконструйована й виготовлена таким чином, щоб виключалася можливість випадкового випадання виробів у нормальних умовах перевезення. |
|
Спеціальні положення з упакування: |
|
PP16 Для № ООН 2800: батареї повинні бути захищені від короткого замикання й надійно впаковані в міцну зовнішню тару. ПРИМІТКА 1: Батареї типу, що не проливається, які є складовим елементом механічного або електронного обладнання або які необхідні для його функціонування, мають бути надійно закріплені в тримачі, що є на обладнанні, та захищені таким чином, щоб виключити можливість ушкодження або короткого замикання. ПРИМІТКА 2: Відносно батарей, що відробили (№ ООН 2800) див. Р801. |
|
PP17 Для № ООН 2037: у випадку тари з фібрового картону маса нетто упаковок не повинна перевищувати 55 кг, а у випадку іншої тари – не повинна перевищувати 125 кг. |
|
PP19 Для № ООН 1364 і 1365: дозволяється перевезення в тюках. |
|
PP20 Для № ООН 1363, 1386, 1408 і 2793: можуть використовуватися будь-які непроникні для сипучих матеріалів і міцні на розрив посудини. |
|
PP32 Для № ООН 2857, 3358 і масивних виробів, що відправляються під № ООН 3164: дозволяється перевезення без упаковки, у латах або в належних транспортних пакетах. ПРИМІТКА: Маса нетто дозволеної тари може перевищувати 400 кг (див. пункт 4.1.3.3). |
|
PP87 (Виключено) |
|
PP88 (Виключено) |
|
PP90 Для № ООН 3506: повинні використовуватися герметично закриті внутрішні вкладиші або мішки з міцного, стійкого до проколу й непроникного для ртуті матеріалу, які будуть запобігати витоку речовини з упаковки, незалежно від її розташування або орієнтації. PP91 Для № ООН 1044: великогабаритні вогнегасники можуть також перевозитися в неупакованому вигляді за умови, що виконані вимоги пунктів 4.1.3.8.1 a)–e), вентилі захищено з використанням одного з методів, зазначених у пунктах 4.1.6.8 a)–d), та інше обладнання, встановлене на вогнегаснику, забезпечене захистом для запобігання випадковому спрацьовуванню. Для цілей цього спеціального положення з упакування під «великогабаритними вогнегасниками» маються на увазі вогнегасники, описувані в пунктах с)–е) спеціального положення 225 глави 3.3. PP96 Для № ООН 2037: для відбракованих газових балончиків, що перевозяться відповідно до спеціальних положень 327 глави 3.3, тара повинна відповідним чином вентилюватися для запобіганя утворенню небезпечних середовищ і підвищення тиску. |
|
Спеціальні положення з упакування, передбачені МПНВ і ДОПНВ: |
|
RR6 Для № ООН 2037: у випадку перевезення повним завантаженням металеві вироби можуть бути також упаковані в такий спосіб: вироби розміщаються блоками на підставках і закріплюються за допомогою плівкового покриття з відповідного полімерного матеріалу; такі блоки повинні укладатися один на одного й відповідним чином закріплюватися на піддонах. RR9 Для № ООН 3509: тара необов’язково повинна відповідати вимогам пункту 4.1.1.3. Повинна використовуватися тара, що відповідає вимогам розділу 6.1.4 й забезпечує герметичність або оснащена герметичним стійким до проколів вкладишем або мішком. Якщо єдиним типом залишків є тверді залишки, які не можуть перейти в рідкий стан при температурах, які можуть виникнути під час перевезення, може використовуватися м’яка тара. За наявності рідких залишків повинна використовуватися тверда тара, що має засіб утримання (наприклад абсорбувальний матеріал). Перед завантаженням і пред’явленням до перевезення кожна одиниця тари повинна бути перевірена на предмет відсутності корозії, забруднення або інших ушкоджень. Будь-яка тара з ознаками зменшення міцності не повинна далі використовуватися (незначні вм’ятини й подряпини не вважаються такими, що зменшують міцність тари). Тара, призначена для перевезення відбракованої порожньої неочищеної тари із залишками речовин класу 5.1, повинна бути сконструйована або пристосована таким чином, щоб вантажі не могли стикатися з деревом або яким-небудь іншим горючим матеріалом. |
|
P004 ІНСТРУКЦІЯ З УПАКУВАННЯ P004 |
|
Ця інструкція застосовується до № ООН 3473, 3476, 3477, 3478 і 3479. |
|
Дозволяється використовувати наступну тару: |
|
(1) Для касет паливних елементів за умови дотримання загальних положень, викладених у підрозділах 4.1.1.1, 4.1.1.2, 4.1.1.3, 4.1.1.6 і розділі 4.1.3: барабани (1A2, 1B2, 1N2, 1H2, 1D, 1G); ящики (4A, 4B, 4N, 4C1, 4C2, 4D, 4F, 4G, 4H1, 4H2); каністри (3A2, 3B2, 3H2). Тара повинна відповідати експлуатаційним вимогам для групи упакування II. |
|
(2) Для касет паливних елементів, упакованих з обладнанням: міцну зовнішню тару, що відповідає загальним положенням, викладеним у підрозділах 4.1.1.1, 4.1.1.2, 4.1.1.6 і розділі 4.1.3. Коли касети паливних елементів упаковуються з обладнанням, вони повинні поміщуватися у внутрішню тару або укладатися в зовнішню тару із прокладним матеріалом або роздільною(ими) перегородкою(ами) таким чином, щоб касети паливних елементів були захищені від ушкодження, яке може бути викликане пересуванням або переміщенням умісту усередині зовнішньої тари. Обладнання повинно бути закріплене, щоб не відбувалося його переміщення усередині зовнішньої тари. Для цілей цієї інструкції з упакування «обладнання» означає обладнання, для функціонування якого потрібні впаковані разом з ним касети паливних елементів. |
|
(3) Для касет паливних елементів, що містяться в обладнанні: міцну зовнішню тару, що відповідає загальним положенням, викладеним у підрозділах 4.1.1.1, 4.1.1.2, 4.1.1.6 і розділі 4.1.3. Великогабаритне масивне обладнання (див. підрозділ 4.1.3.8), що містить касети паливних елементів, може перевозитися в неупакованому вигляді. Якщо касети паливних елементів містяться в обладнанні, уся система повинна бути захищена від короткого замикання й випадкового спрацьовування. ПРИМІТКА: Маса нетто тари, дозволеної в пунктах (2) і (3), може перевищувати 400 кг (див. пункт 4.1.3.3). |
|
P005 |
ІНСТРУКЦІЯ З УПАКУВАННЯ |
P005 |
|
Якщо двигун або машина сконструйовані й виготовлені таким чином, що засоби втримання, що містять небезпечні вантажі, належним чином захищені, зовнішня тара не потрібна. У протилежному випадку небезпечні вантажі, що містяться у двигунах або машинах, повинні впаковуватися в зовнішню тару, виготовлену з придатного матеріалу, що має належну міцність і конструкцію залежно від місткості тари і її призначення й що відповідає застосовним вимогам пункту 4.1.1.1, або ж вони повинні бути закріплені таким чином, щоб у нормальних умовах перевезення вони не могли переміщатися (наприклад, установлені на опори, поміщені в лати або інші транспортно-завантажувальні пристрої). ПРИМІТКА: Маса нетто дозволеної тари може перевищувати 400 кг (див. пункт 4.1.3.3). Крім того, спосіб розміщення засобів утримання усередині двигуна або машини повинен бути таким, щоб у нормальних умовах перевезення не відбувалося ушкодження засобів утримання, що містять небезпечні вантажі, а у випадку ушкодження засобів утримання, що містять рідкі небезпечні вантажі, був неможливий витік небезпечних вантажів із двигуна або машини (для виконання цієї вимоги може використовуватися герметичний вкладиш). Засоби втримання, що містять небезпечні вантажі, повинні укладатися, закріплюватися або обкладатися прокладним матеріалом таким чином, щоб запобігти їх руйнуванню або витоку з них і обмежити їх переміщення у двигуні або машині в нормальних умовах перевезення. Прокладний матеріал не повинен вступати в небезпечну реакцію із умістом засобів утримання. Будь-який витік умісту не повинен суттєво погіршувати захисні властивості прокладного матеріалу. |
||
|
Додаткова вимога: Інші небезпечні вантажі (наприклад, батареї, вогнегасники, акумулятори стисненого газу або запобіжні пристрої), необхідні для функціонування або безпечної експлуатації двигуна або машини, повинні бути надійно встановлені у двигуні або машині. |
||
|
P006 |
ІНСТРУКЦІЯ З УПАКУВАННЯ |
P006 |
|
(1) За умови дотримання загальних положень, викладених у розділах 4.1.1 і 4.1.3, дозволяється використовувати таку тару: |
||
|
барабани (1A2, 1B2, 1N2, 1H2, 1D, 1G); |
||
|
ящики (4A, 4B, 4N, 4C1, 4C2, 4D, 4F, 4G, 4H1, 4H2); |
||
|
каністри (3A2, 3B2, 3H2). |
||
|
Тара повинна відповідати експлуатаційним вимогам для групи упакування II. |
||
|
(2) Крім того, для масивних виробів дозволяється використовувати таку тару: |
||
|
міцну зовнішню тару, що виготовлена з придатного матеріалу й що має належну міцність і конструкцію залежно від місткості тари і її призначення. Тара повинна відповідати положенням пунктів 4.1.1.1, 4.1.1.2, 4.1.1.8 і 4.1.3, для того щоб забезпечити рівень захисту, принаймні еквівалентний рівню, передбаченому главою 6.1. Вироби можуть перевозитися в неупакованому вигляді або на піддонах, якщо виріб, у якому містяться небезпечні вантажі, забезпечує їм еквівалентний захист. ПРИМІТКА: Маса нетто дозволеної тари може перевищувати 400 кг (див. пункт 4.1.3.3). |
||
|
(3) Крім того, повинні виконуватися наступні умови: |
||
|
a) посудини у виробах, що містять рідину або тверду речовину, повинні виготовлятися з відповідних матеріалів і закріплюватися у виробі таким чином, щоб у нормальних умовах перевезення не відбувалося їх розриву, проколу або витоку їх умісту в сам виріб або зовнішню тару; |
||
|
b) посудини з рідиною, оснащені запірними пристроями, повинні впаковуватися при правильній орієнтації таких пристроїв. Крім того, посудини повинні відповідати положенням підрозділу 6.1.5.5, що стосуються випробування на внутрішній тиск; |
||
|
с) крихкі посудини, або посудини, що легко пробиваються, наприклад виготовлені зі скла, порцеляни, кераміки або деяких пластмасових матеріалів, повинні бути надійно закріплені. Витік умісту не повинен суттєво погіршувати захисні властивості виробу або зовнішньої тари; |
||
|
d) посудини у виробах, що містять газ, повинні відповідати вимогам розділу 4.1.6 і глави 6.2, залежно від конкретного випадку, або могти забезпечити такий же самий рівень захисту, як і інструкції з упакування P200 або P208; |
||
|
e) у тому випадку, якщо виріб не містить посудин, небезпечні речовини повинні поміщуватися в нього повністю, і виріб повинен запобігати їх витоку у нормальних умовах перевезення. |
||
|
(4) Вироби повинні бути впаковані таким чином, щоб не відбувалося їх переміщення й випадкового спрацьовування у нормальних умовах перевезення. |
||
|
P010 ІНСТРУКЦІЯ З УПАКУВАННЯ P010 |
||
|
За умови дотримання загальних положень, викладених у розділах 4.1.1 і 4.1.3, дозволяється використовувати наступну тару: |
||
|
Комбінована тара |
||
|
Внутрішня тара |
Зовнішня тара |
Максимальна маса нетто (див. 4.1.3.3) |
Зі скла 1 л Сталева 40 л |
Барабани |
|
сталеві (1A1,1A2) |
400 кг |
|
пластмасові (1H1,1H2) |
400 кг |
|
фанерні (1D) |
400 кг |
|
фіброві (1G) |
400 кг |
|
Ящики |
||
сталеві (4A) |
400 кг |
|
з природної деревини (4C1, 4C2) |
400 кг |
|
фанерні (4D) |
400 кг |
|
з деревного матеріалу (4F) |
400 кг |
|
з фібрового картону (4G) |
400 кг |
|
з пінопласту (4H1) |
60 кг |
|
|
з твердої пластмаси (4H2) |
400 кг |
|
|
Одиночна тара |
Максимальна місткість (див. 4.1.3.3) |
|
|
Барабани |
||
|
сталеві, з незнімним днищем (1A1) |
450 л |
|
|
Каністри |
||
|
сталеві, з незнімним днищем (3A1) |
60 л |
|
|
Складана тара |
||
|
пластмасова посудина в сталевому барабані (6HA1) |
250 л |
|
|
Сталеві посудини під тиском: за умови дотримання загальних положень, викладених у підрозділі 4.1.3.6. |
||
|
P101 ІНСТРУКЦІЯ З УПАКУВАННЯ P101 |
|
Дозволяється використання тільки тієї тари, яка затверджена компетентним органом країни походження. Якщо країна походження не є Договірною стороною ДОПНВ, тара повинна бути затверджена компетентним органом першої країни, що є Договірною стороною ДОПНВ, за маршрутом перевезення вантажу. Відмітний знак, використовуваний на транспортних засобах, що перебувають у міжнародному дорожньому русіа, країни, від імені якої виступає компетентний орган, вказується в транспортних документах у такий спосіб: |
|
«Тара, затверджена компетентним органом...» (див. пункт 5.4.1.2.1 e)) |
a Відмітний знак держави реєстрації, використовуваний на автомобілях і причепах, що знаходяться у міжнародному дорожньому русі, наприклад відповідно до Женевської конвенції про дорожній рух 1949 року або Віденської конвенції про дорожній рух 1968 року.
|
P110а ІНСТРУКЦІЯ З УПАКУВАННЯ Р110а |
|
(Зарезервовано) ПРИМІТКА: Ця інструкція з упакування, передбачена в Типових правилах ООН, не застосовується до перевезень, здійснюваних у режимі ДОПНВ. |
|
P110b ІНСТРУКЦІЯ З УПАКУВАННЯ P110b |
||
|
За умови дотримання загальних положень, викладених у розділах 4.1.1 і 4.1.3, і спеціальних положень, викладених у розділі 4.1.5, дозволяється використовувати наступну тару: |
||
|
Внутрішня тара Ємності металеві дерев’яні гумові, теплопровідні пластмасові, теплопровідні Мішки гумові, теплопровідні полімерні, теплопровідні |
Проміжна тара Роздільні перегородки металеві дерев’яні пластмасові з фібрового картону |
Зовнішня тара Ящики з природної деревини, із щільно пригнаними стінками (4С2) фанерні (4D) з деревного матеріалу (4F) |
|
Спеціальне положення з упакування: PP42 Для № ООН 0074, 0113, 0114, 0129, 0130, 0135 і 0224 – повинні виконуватися наступні вимоги: а) внутрішня тара повинна містити не більше 50 г вибухової речовини (кількість, що відповідає масі сухої речовини); b) кожний відсік між роздільними перегородками повинен містити не більше однієї одиниці внутрішньої тари, яка повинна бути міцно закріплена; с) зовнішня тара може бути розділена не більше ніж на 25 відсіків. |
||
|
P111 ІНСТРУКЦІЯ З УПАКУВАННЯ Р111 |
||
|
За умови дотримання загальних положень, викладених у розділах 4.1.1 і 4.1.3, і спеціальних положень, викладених у розділі 4.1.5, дозволяється використовувати наступну тару: |
||
|
Внутрішня тара Мішки паперові, вологонепроникні полімерні з текстилю, прогумовані Ємності дерев’яні Листи полімерні з текстилю, прогумовані |
Проміжна тара Не потрібно |
Зовнішня тара Ящики сталеві (4А) алюмінієві (4В) інші металеві (4N) з природної деревини, звичайні (4С1) з природної деревини, із щільно пригнаними стінками (4С2) фанерні (4D) з деревного матеріалу (4F) з фібрового картону (4G) з пінопласту (4Н1) з твердої пластмаси (4Н2) Барабани сталеві (1А1, 1А2) алюмінієві (1В1, 1В2) інші металеві (1N1, 1N2) фанерні (1D) з фібрового картону (1G) пластмасові (1H1, 1Н2) |
|
Спеціальне положення з упакування: PP43 Для № ООН 0159: внутрішня тара не потрібна, якщо в якості зовнішньої тари використовуються металеві (1А1, 1А2, 1В1, 1В2, 1N1 або 1N2) або пластмасові (1Н1 або 1Н2) барабани. |
||
|
P112а ІНСТРУКЦІЯ З УПАКУВАННЯ P112a (Для зволожених твердих речовин, 1.1D) |
||
|
За умови дотримання загальних положень, викладених у розділах 4.1.1 і 4.1.3, і спеціальних положень, викладених у розділі 4.1.5, дозволяється використовувати наступну тару: |
||
|
Внутрішня тара Мішки паперові, багатошарові, вологонепроникні полімерні з текстилю з текстилю, прогумовані з полімерної тканини Ємності металеві пластмасові дерев’яні |
Проміжна тара Мішки полімерні з текстилю, з полімерним внутрішнім покриттям або вкладишем Ємності металеві пластмасові дерев’яні |
Зовнішня тара Ящики сталеві (4А) алюмінієві (4В) інші металеві (4N) з природної деревини, звичайні (4С1) з природної деревини, із щільно пригнаними стінками (4С2) фанерні (4D) з деревного матеріалу (4F) з фібрового картону (4G) з пінопласту (4Н1) з твердої пластмаси (4Н2) Барабани сталеві (1А1, 1А2) алюмінієві (1В1, 1В2) інші металеві (1N1, 1N2) фанерні (1D) фіброві (1G) пластмасові (1H1, 1Н2) |
|
Додаткова вимога: Проміжна тара не потрібна, якщо в якості зовнішньої тари використовуються герметичні барабани зі знімним днищем. |
||
|
Спеціальні положення з упакування: PP26 Для № ООН 0004, 0076, 0078, 0154, 0219 і 0394: матеріали, з яких виготовлена тара, не повинні містити свинець. |
||
|
P112b ІНСТРУКЦІЯ З УПАКУВАННЯ P112b (Для сухих твердих речовин, за винятком порошкоподібних речовин, 1.1D) |
||
|
За умови дотримання загальних положень, викладених у розділах 4.1.1 і 4.1.3, і спеціальних положень, викладених у розділі 4.1.5, дозволяється використовувати наступну тару: |
||
|
Внутрішня тара Мішки крафт-паперові паперові, багатошарові, вологонепроникні полімерні з текстилю з текстилю, прогумовані з полімерної тканини |
Проміжна тара Мішки (тільки для № ООН 0150) полімерні з текстилю, з полімерним внутрішнім покриттям або вкладишем |
Зовнішня тара Мішки з полімерної тканини, щільні (5Н2) з полімерної тканини, вологонепроникні (5Н3) з полімерної плівки (5Н4) з текстилю, щільні (5L2) з текстилю, вологонепроникні (5L3) паперові, багатошарові, вологонепроникні (5М2) Ящики сталеві (4А) алюмінієві (4В) інші металеві (4N) з природної деревини, звичайні (4С1) з природної деревини, із щільно пригнаними стінками (4С2) фанерні (4D) з деревного матеріалу (4F) з фібрового картону (4G) з пінопласту (4Н1) з твердої пластмаси (4Н2) Барабани сталеві (1А1, 1А2) алюмінієві (1В1, 1В2) інші металеві (1N1, 1N2) фанерні (1D) фіброві (1G) пластмасові (1H1, 1Н2) |
|
Спеціальні положення з упакування: PP26 Для № ООН 0004, 0076, 0078, 0154, 0216, 0219 і 0386: матеріали, з яких виготовлена тара, не повинні містити свинець. PP46 Для № ООН 0209: щільні мішки (5Н2) рекомендуються тільки для перевезення сухого ТНТ у вигляді дрібних пластинчастих кристалів або гранул при максимальній масі нетто 30 кг. PP47 Для № ООН 0222: внутрішня тара не потрібна, якщо в якості зовнішньої тари використовується мішок. |
||
|
P112с ІНСТРУКЦІЯ З УПАКУВАННЯ P112c (Для сухих порошкоподібних твердих речовин, 1.1D) |
||
|
За умови дотримання загальних положень, викладених у розділах 4.1.1 і 4.1.3, і спеціальних положень, викладених у розділі 4.1.5, дозволяється використовувати наступну тару: |
||
|
Внутрішня тара Мішки паперові, багатошарові, вологонепроникні полімерні з полімерної тканини Ємності з фібрового картону металеві пластмасові дерев’яні |
Проміжна тара Мішки паперові, багатошарові, вологонепроникні, із внутрішнім вкладишем полімерні Ємності металеві пластмасові дерев’яні |
Зовнішня тара Ящики сталеві (4А) алюмінієві (4В) інші металеві (4N) з природної деревини, звичайні (4С1) з природної деревини, із щільно пригнаними стінками (4С2) фанерні (4D) з деревного матеріалу (4F) з фібрового картону (4G) з твердої пластмаси (4Н2) Барабани сталеві (1А1, 1А2) алюмінієві (1В1, 1В2) інші металеві (1N1, 1N2) фанерні (1D) фіброві (1G) пластмасові (1H1, 1Н2) |
|
Додаткові вимоги: 1. Внутрішня тара не потрібна, якщо в якості зовнішньої тари використовуються барабани. 2. Тара повинна бути непроникною для сипучих речовин. |
||
|
Спеціальні положення з упакування: PP26 Для № ООН 0004, 0076, 0078, 0154, 0216, 0219 і 0386: матеріали, з яких виготовлена тара, не повинні містити свинець. PP46 Для № ООН 0209: щільні мішки (5Н2) рекомендуються тільки для перевезення сухого ТНТ у вигляді дрібних пластинчастих кристалів або гранул при максимальній масі нетто 30 кг. PP48 Для № ООН 0504: металева тара не повинна використовуватися. Тара, виготовлена з іншого матеріалу з невеликою кількістю металу, наприклад з металевими затворами або іншими металевими фітингами, такими як згадуються в розділі 6.1.4, не вважається металевою тарою. |
||
|
P113 ІНСТРУКЦІЯ З УПАКУВАННЯ Р113 |
||
|
За умови дотримання загальних положень, викладених у розділах 4.1.1 і 4.1.3, і спеціальних положень, викладених у розділі 4.1.5, дозволяється використовувати наступну тару: |
||
|
Внутрішня тара Мішки паперові полімерні з текстилю, прогумовані Ємності з фібрового картону металеві пластмасові дерев’яні |
Проміжна тара Не потрібно |
Зовнішня тара Ящики сталеві (4А) алюмінієві (4В) інші металеві (4N) з природної деревини, звичайні (4С1) з природної деревини, із щільно пригнаними стінками (4С2) фанерні (4D) з деревного матеріалу (4F) з фібрового картону (4G) з твердої пластмаси (4Н2) Барабани сталеві (1А1, 1А2) алюмінієві (1В1, 1В2) інші металеві (1N1, 1N2) фанерні (1D) фіброві (1G) пластмасові (1H1, 1Н2) |
|
Додаткова вимога: Тара повинна бути непроникною для сипучих речовин. |
||
|
Спеціальні положення з упакування: PP49 Для № ООН 0094 і 0305: у кожну одиницю внутрішньої тари можна поміщати не більше 50 г речовини. PP50 Для № ООН 0027: внутрішня тара не потрібна, якщо в якості зовнішньої тари використовуються барабани. PP51 Для № ООН 0028: у якості внутрішньої тари можуть використовуватися крафт-паперові листи або паперові парафіновані листи. |
||
|
P114а ІНСТРУКЦІЯ З УПАКУВАННЯ Р114а (Для зволожених твердих речовин) |
||
|
За умови дотримання загальних положень, викладених у розділах 4.1.1 і 4.1.3, і спеціальних положень, викладених у розділі 4.1.5, дозволяється використовувати наступну тару: |
||
|
Внутрішня тара Мішки полімерні з текстилю з полімерної тканини Ємності металеві пластмасові дерев’яні |
Проміжна тара Мішки полімерні з текстилю, з полімерним внутрішнім покриттям або вкладишем Ємності металеві пластмасові Роздільні перегородки дерев’яні |
Зовнішня тара Ящики сталеві (4А) металеві, крім сталевих або алюмінієвих (4N) з природної деревини, звичайні (4С1) з природної деревини, із щільно пригнаними стінками (4С2) фанерні (4D) з деревного матеріалу (4F) з фібрового картону (4G) з твердої пластмаси (4Н2) Барабани сталеві (1А1, 1А2) алюмінієві (1В1, 1В2) інші металеві (1N1, 1N2) фанерні (1D) фіброві (1G) пластмасові (1H1, 1Н2) |
|
Додаткова вимога: Проміжна тара не потрібна, якщо в якості зовнішньої тари використовуються герметичні барабани зі знімним днищем. |
||
|
Спеціальні положення з упакування: PP26 Для № ООН 0077, 0132, 0234, 0235 і 0236: матеріали, з яких виготовлена тара, не повинні містити свинець. PP43 Для № ООН 0342: внутрішня тара не потрібна, якщо в якості зовнішньої тари використовуються металеві (1А1, 1А2, 1В1, 1В2, 1N1 або 1N2) або пластмасові (1Н1 або 1Н2) барабани. |
||
|
P114b ІНСТРУКЦІЯ З УПАКУВАННЯ P114b (Для сухих твердих речовин) |
||
|
За умови дотримання загальних положень, викладених у розділах 4.1.1 і 4.1.3, і спеціальних положень, викладених у розділі 4.1.5, дозволяється використовувати наступну тару: |
||
|
Внутрішня тара Мішки крафт-паперові полімерні з текстилю, щільні з полімерної тканини, щільні Ємності з фібрового картону металеві паперові пластмасові з полімерної тканини, щільні дерев’яні |
Проміжна тара Не потрібно |
Зовнішня тара Ящики з природної деревини, звичайні (4С1) з природної деревини, із щільно пригнаними стінками (4С2) фанерні (4D) з деревного матеріалу (4F) з фібрового картону (4G) Барабани сталеві (1А1, 1А2) алюмінієві (1В1, 1В2) інші металеві (1N1, 1N2) фанерні (1D) фіброві (1G) пластмасові (1Н1, 1Н2) |
|
Спеціальні положення з упакування: PP26 Для № ООН 0077, 0132, 0234, 0235 і 0236: матеріали, з яких виготовлена тара, не повинні містити свинець. PP48 Для № ООН 0508 і 0509: не повинна використовуватися металева тара. Тара, виготовлена з іншого матеріалу з невеликою кількістю металу, наприклад з металевими затворами або іншими металевими фітингами, такими як згадуються в розділі 6.1.4, не вважається металевою тарою. PP50 Для № ООН 0160, 0161 і 0508: внутрішня тара не потрібна, якщо в якості зовнішньої тари використовуються барабани. PP52 Для № ООН 0160 і 0161: якщо в якості зовнішньої тари використовуються металеві барабани (1А1, 1А2, 1В1, 1В2, 1N1 або 1N2), то металева тара повинна бути сконструйована таким чином, щоб виключити можливість вибуху в результаті збільшення внутрішнього тиску під впливом внутрішніх або зовнішніх факторів. |
||
|
P115 ІНСТРУКЦІЯ З УПАКУВАННЯ Р115 |
||
|
За умови дотримання загальних положень, викладених у розділах 4.1.1 і 4.1.3, і спеціальних положень, викладених у розділі 4.1.5, дозволяється використовувати наступну тару: |
||
|
Внутрішня тара Ємності пластмасові дерев’яні |
Проміжна тара Мішки полімерні, у металевих ємностях Барабани металеві Ємності дерев’яні |
Зовнішня тара Ящики з природної деревини, звичайні (4С1) з природної деревини, із щільно пригнаними стінками (4С2) фанерні (4D) з деревного матеріалу (4F) Барабани сталеві (1А1, 1А2) алюмінієві (1В1, 1В2) інші металеві (1N1, 1N2) фанерні (1D) фіброві (1G) пластмасові (1Н1, 1Н2) |
|
Спеціальні положення з упакування: PP45 Для № ООН 0144: проміжна тара не потрібна. PP53 Для № ООН 0075, 0143, 0495 і 0497: якщо в якості зовнішньої тари використовуються ящики, внутрішня тара повинна закриватися заглушками, що нагвинчуються, й мати місткість не більше 5 л кожна. Внутрішня тара повинна бути з усіх боків оточена негорючим абсорбувальним прокладним матеріалом. Кількість абсорбувального прокладного матеріалу повинна бути достатньою для поглинання рідкого вмісту. Металеві ємності повинні бути ізольовані одна від одної прокладним матеріалом. Маса нетто метальної вибухової речовини не повинна перевищувати 30 кг на кожну упаковку, якщо в якості зовнішньої тари використовуються ящики. PP54 Для № ООН 0075, 0143, 0495 і 0497: якщо в якості зовнішньої тари використовуються барабани й у якості проміжної тари використовуються барабани, вони повинні бути оточені негорючим прокладним матеріалом у кількості, якої достатньо для поглинання рідкого вмісту. Замість внутрішньої й проміжної тари може використовуватися Складана тара, що складається з пластмасової ємності в металевому барабані. Чистий об’єм метальної вибухової речовини в кожній упаковці не повинен перевищувати 120 л. PP55 Для № ООН 0144: повинен застосовуватися абсорбувальний прокладний матеріал. PP56 Для № ООН 0144: у якості внутрішньої тари можуть використовуватися металеві ємності. PP57 Для № ООН 0075, 0143, 0495 і 0497: якщо в якості зовнішньої тари використовуються ящики, то в якості проміжної тари повинні використовуватися мішки. PP58 Для № ООН 0075, 0143, 0495 і 0497: якщо в якості зовнішньої тари використовуються барабани, то в якості проміжної тари повинні використовуватися барабани. PP59 Для № ООН 0144: у якості зовнішньої тари можуть використовуватися ящики з фібрового картону (4G). PP60 Для № ООН 0144: не повинні використовуватися алюмінієві барабани (1В1 і 1В2) та інші металеві барабани, крім сталевих або алюмінієвих (1N1 і 1N2). |
||
|
P116 ІНСТРУКЦІЯ З УПАКУВАННЯ Р116 |
||
|
За умови дотримання загальних положень, викладених у розділах 4.1.1 і 4.1.3, і спеціальних положень, викладених у розділі 4.1.5, дозволяється використовувати наступну тару: |
||
|
Внутрішня тара Мішки паперові, волого- та маслонепроникні полімерні з текстилю, з полімерним внутрішнім покриттям або вкладишем з полімерної тканини, щільні Ємності з фібрового картону, вологонепроникні металеві пластмасові дерев’яні, щільні Листи паперові, вологонепроникні паперові, парафіновані полімерні |
Проміжна тара Не потрібно |
Зовнішня тара Мішки з полімерної тканини (5Н1, 5H2, 5H3) паперові, багатошарові, вологонепроникні (5М2) з полімерної плівки (5Н4) з текстилю, щільні (5L2) з текстилю, вологонепроникні (5L3) Ящики сталеві (4А) алюмінієві (4В) інші металеві (4N) з природної деревини, звичайні (4С1) з природної деревини, із щільно пригнаними стінками (4С2) фанерні (4D) з деревного матеріалу (4F) з фібрового картону (4G) з твердої пластмаси (4Н2) Барабани сталеві (1А1, 1А2) алюмінієві (1В1, 1В2) інші металеві (1N1, 1N2) фанерні (1D) фіброві (1G) пластмасові (1Н1, 1Н2) Каністри сталеві (3А1, 3А2) пластмасові (3Н1, 3Н2) |
|
Спеціальні положення з упакування: PP61 Для № ООН 0082, 0241, 0331 і 0332: внутрішня тара не потрібна, якщо в якості зовнішньої тари використовуються герметичні барабани зі знімним днищем. PP62 Для № ООН 0082, 0241, 0331 і 0332: внутрішня тара не потрібна, якщо вибухова речовина міститься у вологонепроникному матеріалі. PP63 Для № ООН 0081: внутрішня тара не потрібна, якщо речовина міститься в упаковці з твердої пластмаси, непроникної для азотних складних ефірів. PP64 Для № ООН 0331: внутрішня тара не потрібна, якщо в якості зовнішньої тари використовуються мішки (5Н2, 5Н3 або 5Н4). PP65 (Виключено) PP66 Для № ООН 0081: мішки не повинні використовуватися в якості зовнішньої тари. |
||
|
P130 ІНСТРУКЦІЯ З УПАКУВАННЯ Р130 |
||
|
За умови дотримання загальних положень, викладених у розділах 4.1.1 і 4.1.3, і спеціальних положень, викладених у розділі 4.1.5, дозволяється використовувати наступну тару: |
||
|
Внутрішня тара Не потрібно |
Проміжна тара Не потрібно |
Зовнішня тара Ящики сталеві (4А) алюмінієві (4В) інші металеві (4N) з природної деревини, звичайні (4С1) з природної деревини, із щільно пригнаними стінками (4С2) фанерні (4D) з деревного матеріалу (4F) з фібрового картону (4G) з пінопласту (4Н1) з твердої пластмаси (4Н2) Барабани сталеві (1А1, 1А2) алюмінієві (1В1, 1В2) інші металеві (1N1, 1N2) фанерні (1D) фіброві (1G) пластмасові (1Н1, 1Н2) |
|
Спеціальне положення з упакування: PP67 Для № ООН 0006, 0009, 0010, 0015, 0016, 0018, 0019, 0034, 0035, 0038, 0039, 0048, 0056, 0137, 0138, 0168, 0169, 0171, 0181, 0182, 0183, 0186, 0221, 0243, 0244, 0245, 0246, 0254, 0280, 0281, 0286, 0287, 0297, 0299, 0300, 0301, 0303, 0321, 0328, 0329, 0344, 0345, 0346, 0347, 0362, 0363, 0370, 0412, 0424, 0425, 0434, 0435, 0436, 0437, 0438, 0451, 0488, 0502 і 0510: Великогабаритні й масивні вибухові вироби, зазвичай призначені для військового використання, без власних засобів ініціювання або із власними засобами ініціювання, що містять не менше двох ефективних захисних пристроїв, можуть перевозитися в неупакованому вигляді. Якщо такі вироби містять метальні заряди або є саморушними, їх системи запалювання повинні бути захищені проти збудливих впливів, здатних виникнути в нормальних умовах перевезення. Негативний результат випробувань серії 4, проведених на неупакованому виробі, указує на те, що виріб може розглядатися на предмет перевезення в неупакованому вигляді. Такі неупаковані вироби можуть установлюватися на опори або поміщуватися в лати й інші придатні транспортно-завантажувальні пристрої. ПРИМІТКА: Маса нетто дозволеної тари може перевищувати 400 кг (див. пункт 4.1.3.3). |
||
|
P131 ІНСТРУКЦІЯ З УПАКУВАННЯ Р131 |
||
|
За умови дотримання загальних положень, викладених у розділах 4.1.1 і 4.1.3, і спеціальних положень, викладених у розділі 4.1.5, дозволяється використовувати наступну тару: |
||
|
Внутрішня тара Мішки паперові полімерні Ємності з фібрового картону металеві пластмасові дерев’яні Бобіни |
Проміжна тара Не потрібно |
Зовнішня тара Ящики сталеві (4А) алюмінієві (4В) інші металеві (4N) з природної деревини, звичайні (4С1) з природної деревини, із щільно пригнаними стінками (4С2) фанерні (4D) з деревного матеріалу (4F) з фібрового картону (4G) з твердої пластмаси (4Н2) Барабани сталеві (1А1, 1А2) алюмінієві (1В1, 1В2) інші металеві (1N1, 1N2) фанерні (1D) фіброві (1G) пластмасові (1Н1, 1Н2) |
|
Спеціальне положення з упакування: PP68 Для № ООН 0029, 0267 і 0455: мішки й бобіни не повинні використовуватися в якості внутрішньої тари. |
||
|
P132а ІНСТРУКЦІЯ З УПАКУВАННЯ Р132а (Вироби, що представляють собою закриті оболонки з металу, пластмаси або фібрового картону, що містять детонаційну ВВ або суміші детонаційних ВВ із пластифікувальними добавками) |
||
|
За умови дотримання загальних положень, викладених у розділах 4.1.1 і 4.1.3, і спеціальних положень, викладених у розділі 4.1.5, дозволяється використовувати наступну тару: |
||
|
Внутрішня тара Не потрібно |
Проміжна тара Не потрібно |
Зовнішня тара Ящики сталеві (4А) алюмінієві (4В) інші металеві (4N) з природної деревини, звичайні (4С1) з природної деревини, із щільно пригнаними стінками (4С2) фанерні (4D) з деревного матеріалу (4F) з фібрового картону (4G) з твердої пластмаси (4Н2) |
|
P132b ІНСТРУКЦІЯ З УПАКУВАННЯ Р132b (Вироби без закритих оболонок) |
||
|
За умови дотримання загальних положень, викладених у розділах 4.1.1 і 4.1.3, і спеціальних положень, викладених у розділі 4.1.5, дозволяється використовувати наступну тару: |
||
|
Внутрішня тара Ємності з фібрового картону металеві пластмасові дерев’яні Листи паперові полімерні |
Проміжна тара Не потрібно |
Зовнішня тара Ящики сталеві (4А) алюмінієві (4В) інші металеві (4N) з природної деревини, звичайні (4С1) з природної деревини, із щільно пригнаними стінками (4С2) фанерні (4D) з деревного матеріалу (4F) з фібрового картону (4G) з твердої пластмаси (4Н2) |
|
P133 ІНСТРУКЦІЯ З УПАКУВАННЯ Р133 |
||
|
За умови дотримання загальних положень, викладених у розділах 4.1.1 і 4.1.3, і спеціальних положень, викладених у розділі 4.1.5, дозволяється використовувати наступну тару: |
||
|
Внутрішня тара Ємності з фібрового картону металеві пластмасові дерев’яні Лотки з роздільними перегородками з фібрового картону пластмасові дерев’яні |
Проміжна тара Ємності з фібрового картону металеві пластмасові дерев’яні |
Зовнішня тара Ящики сталеві (4А) алюмінієві (4В) інші металеві (4N) з природної деревини, звичайні (4С1) з природної деревини, із щільно пригнаними стінками (4С2) фанерні (4D) з деревного матеріалу (4F) з фібрового картону (4G) з твердої пластмаси (4Н2) |
|
Додаткова вимога: Ємності потрібно використовувати в якості проміжної тари тільки в тому випадку, якщо внутрішньою тарою є лотки. |
||
|
Спеціальне положення з упакування: PP69 Для № ООН 0043, 0212, 0225, 0268 і 0306: лотки не повинні використовуватися в якості внутрішньої тари. |
||
|
P134 ІНСТРУКЦІЯ З УПАКУВАННЯ Р134 |
||
|
За умови дотримання загальних положень, викладених у розділах 4.1.1 і 4.1.3, і спеціальних положень, викладених у розділі 4.1.5, дозволяється використовувати наступну тару: |
||
|
Внутрішня тара Мішки вологонепроникні Ємності з фібрового картону металеві пластмасові дерев’яні Листи з фібрового картону, гофровані Трубки з фібрового картону |
Проміжна тара Не потрібно |
Зовнішня тара Ящики сталеві (4А) алюмінієві (4В) інші металеві (4N) з природної деревини, звичайні (4С1) з природної деревини, із щільно пригнаними стінками (4С2) фанерні (4D) з деревного матеріалу (4F) з фібрового картону (4G) з пінопласту (4Н1) з твердої пластмаси (4Н2) Барабани сталеві (1А1, 1А2) алюмінієві (1В1, 1В2) інші металеві (1N1, 1N2) фанерні (1D) з фібрового картону (1G) пластмасові (1Н1, 1Н2) |
|
P135 ІНСТРУКЦІЯ З УПАКУВАННЯ Р135 |
||
|
За умови дотримання загальних положень, викладених у розділах 4.1.1 і 4.1.3, і спеціальних положень, викладених у розділі 4.1.5, дозволяється використовувати наступну тару: |
||
|
Внутрішня тара Мішки паперові полімерні Ємності з фібрового картону металеві пластмасові дерев’яні Листи паперові полімерні |
Проміжна тара Не потрібно |
Зовнішня тара Ящики сталеві (4А) алюмінієві (4В) інші металеві (4N) з природної деревини, звичайні (4С1) з природної деревини, із щільно пригнаними стінками (4С2) фанерні (4D) з деревного матеріалу (4F) з фібрового картону (4G) з пінопласту (4Н1) з твердої пластмаси (4Н2) Барабани сталеві (1А1, 1А2) алюмінієві (1В1, 1В2) інші металеві (1N1, 1N2) фанерні (1D) фіброві (1G) пластмасові (1Н1, 1Н2) |
|
P136 ІНСТРУКЦІЯ З УПАКУВАННЯ Р136 |
||
|
За умови дотримання загальних положень, викладених у розділах 4.1.1 і 4.1.3, і спеціальних положень, викладених у розділі 4.1.5, дозволяється використовувати наступну тару: |
||
|
Внутрішня тара Мішки полімерні з текстилю Ящики з фібрового картону пластмасові дерев’яні Роздільні перегородки в зовнішній тарі |
Проміжна тара Не потрібно |
Зовнішня тара Ящики сталеві (4А) алюмінієві (4В) інші металеві (4N) з природної деревини, звичайні (4С1) з природної деревини, із щільно пригнаними стінками (4С2) фанерні (4D) з деревного матеріалу (4F) з фібрового картону (4G) з твердої пластмаси (4Н2) Барабани сталеві (1А1, 1А2) алюмінієві (1В1, 1В2) інші металеві (1N1, 1N2) фанерні (1D) фіброві (1G) пластмасові (1Н1, 1Н2) |
|
P137 ІНСТРУКЦІЯ З УПАКУВАННЯ Р137 |
||
|
За умови дотримання загальних положень, викладених у розділах 4.1.1 і 4.1.3, і спеціальних положень, викладених у розділі 4.1.5, дозволяється використовувати наступну тару: |
||
|
Внутрішня тара Мішки полімерні Ящики з фібрового картону дерев’яні Трубки з фібрового картону металеві пластмасові Роздільні перегородки в зовнішній тарі |
Проміжна тара Не потрібно |
Зовнішня тара Ящики сталеві (4А) алюмінієві (4В) інші металеві (4N) з природної деревини, звичайні (4С1) з природної деревини, із щільно пригнаними стінками (4С2) фанерні (4D) з деревного матеріалу (4F) з фібрового картону (4G) з твердої пластмаси (4Н2) Барабани сталеві (1А1, 1А2) алюмінієві (1В1, 1В2) інші металеві (1N1, 1N2) фанерні (1D) фіброві (1G) пластмасові (1Н1, 1Н2) |
|
Спеціальне положення з упакування: PP70 Для № ООН 0059, 0439, 0440 і 0441: якщо кумулятивні заряди впаковуються окремо, конічна порожнина повинна бути розташована основою вниз, і на упаковки повинне бути нанесене маркування, як показано на рис. 5.2.1.10.1.1 або 5.2.1.10.1.2. Якщо кумулятивні заряди впаковуються попарно, конічні порожнини повинні бути розташовані одна до іншої з метою доведення до мінімуму кумулятивної дії зарядів при випадковому ініціюванні. |
||
|
P138 ІНСТРУКЦІЯ З УПАКУВАННЯ Р138 |
||
|
За умови дотримання загальних положень, викладених у розділах 4.1.1 і 4.1.3, і спеціальних положень, викладених у розділі 4.1.5, дозволяється використовувати наступну тару: |
||
|
Внутрішня тара Мішки Полімерні |
Проміжна тара Не потрібно |
Зовнішня тара Ящики сталеві (4А) алюмінієві (4В) інші металеві (4N) з природної деревини, звичайні (4С1) з природної деревини, із щільно пригнаними стінками (4С2) фанерні (4D) з деревного матеріалу (4F) з фібрового картону (4G) з твердої пластмаси (4Н2) Барабани сталеві (1А1, 1А2) алюмінієві (1В1, 1В2) інші металеві (1N1, 1N2) фанерні (1D) з фібрового картону (1G) пластмасові (1Н1, 1Н2) |
|
Додаткова вимога: Якщо кінці виробів запечатані, внутрішня тара не потрібна. |
||
|
P139 ІНСТРУКЦІЯ З УПАКУВАННЯ Р139 |
||
|
За умови дотримання загальних положень, викладених у розділах 4.1.1 і 4.1.3, і спеціальних положень, викладених у розділі 4.1.5, дозволяється використовувати наступну тару: |
||
|
Внутрішня тара Мішки полімерні Ємності з фібрового картону металеві пластмасові дерев’яні Бобіни Листи паперові полімерні |
Проміжна тара Не потрібно |
Зовнішня тара Ящики сталеві (4А) алюмінієві (4В) інші металеві (4N) з природної деревини, звичайні (4С1) з природної деревини, із щільно пригнаними стінками (4С2) фанерні (4D) з деревного матеріалу (4F) з фібрового картону (4G) з твердої пластмаси (4Н2) Барабани сталеві (1А1, 1А2) алюмінієві (1В1, 1В2) інші металеві (1N1, 1N2) фанерні (1D) фіброві (1G) пластмасові (1Н1, 1Н2) |
|
Спеціальні положення з упакування: PP71 Для № ООН 0065, 0102, 0104, 0289 і 0290: кінці детонаційного шнура повинні бути ізольовані, наприклад за допомогою міцно встановленої пробки, що перешкоджає вивільненню вибухової речовини. Кінці гнучкого детонаційного шнура повинні бути міцно зв’язані. PP72 Для № ООН 0065 і 0289: внутрішня тара не потрібна, якщо ці вироби згорнуті спіраллю. |
||
|
P140 ІНСТРУКЦІЯ З УПАКУВАННЯ Р140 |
||
|
За умови дотримання загальних положень, викладених у розділах 4.1.1 і 4.1.3, і спеціальних положень, викладених у розділі 4.1.5, дозволяється використовувати наступну тару: |
||
|
Внутрішня тара Мішки полімерні Ємності дерев’яні Бобіни Листи крафт-паперові полімерні |
Проміжна тара Не потрібно |
Зовнішня тара Ящики сталеві (4А) алюмінієві (4В) інші металеві (4N) з природної деревини, звичайні (4С1) з природної деревини, із щільно пригнаними стінками (4С2) фанерні (4D) з деревного матеріалу (4F) з фібрового картону (4G) з твердої пластмаси (4Н2) Барабани сталеві (1А1, 1А2) алюмінієві (1В1, 1В2) інші металеві (1N1, 1N2) фанерні (1D) фіброві (1G) пластмасові (1H1, 1Н2) |
|
Спеціальні положення з упакування: PP73 Для № ООН 0105: якщо кінці виробу запечатані, то внутрішня тара не потрібна. PP74 Для № ООН 0101: тара повинна бути щільною, за винятком випадків, коли підривник поміщений у паперову трубку, і обидва кінця трубки закриті знімними ковпачками. PP75 Для № ООН 0101: не повинні використовуватися сталеві, алюмінієві або інші металеві ящики або барабани. |
||
|
P141 ІНСТРУКЦІЯ З УПАКУВАННЯ Р141 |
||
|
За умови дотримання загальних положень, викладених у розділах 4.1.1 і 4.1.3, і спеціальних положень, викладених у розділі 4.1.5, дозволяється використовувати наступну тару: |
||
|
Внутрішня тара Ємності з фібрового картону металеві пластмасові дерев’яні Лотки з роздільними перегородками пластмасові дерев’яні Роздільні перегородки в зовнішній тарі |
Проміжна тара Не потрібно |
Зовнішня тара Ящики сталеві (4А) алюмінієві (4В) інші металеві (4N) з природної деревини, звичайні (4С1) з природної деревини, із щільно пригнаними стінками (4С2) фанерні (4D) з деревного матеріалу (4F) з фібрового картону (4G) з твердої пластмаси (4Н2) Барабани сталеві (1А1, 1А2) алюмінієві (1В1, 1В2) інші металеві (1N1, 1N2) фанерні (1D) фіброві (1G) пластмасові, зі знімним днищем (1H1, 1Н2) |
|
P142 ІНСТРУКЦІЯ З УПАКУВАННЯ Р142 |
||
|
За умови дотримання загальних положень, викладених у розділах 4.1.1 і 4.1.3, і спеціальних положень, викладених у розділі 4.1.5, дозволяється використовувати наступну тару: |
||
|
Внутрішня тара Мішки паперові полімерні Ємності з фібрового картону металеві пластмасові дерев’яні Листи паперові Лотки з роздільними перегородками Пластмасові |
Проміжна тара Не потрібно |
Зовнішня тара Ящики сталеві (4А) алюмінієві (4В) інші металеві (4N) з природної деревини, звичайні (4С1) з природної деревини, із щільно пригнаними стінками (4С2) фанерні (4D) з деревного матеріалу (4F) з фібрового картону (4G) з твердої пластмаси (4Н2) Барабани сталеві (1А1, 1А2) алюмінієві (1В1, 1В2) інші металеві (1N1, 1N2) фанерні (1D) фіброві (1G) пластмасові (1Н1, 1Н2) |
|
P143 ІНСТРУКЦІЯ З УПАКУВАННЯ Р143 |
||
|
За умови дотримання загальних положень, викладених у розділах 4.1.1 і 4.1.3, і спеціальних положень, викладених у розділі 4.1.5, дозволяється використовувати наступну тару: |
||
|
Внутрішня тара Мішки крафт-паперові полімерні з текстилю з текстилю, прогумовані Ємності з фібрового картону металеві пластмасові дерев’яні Лотки з роздільними перегородками пластмасові дерев’яні |
Проміжна тара Не потрібно |
Зовнішня тара Ящики сталеві (4А) алюмінієві (4В) інші металеві (4N) з природної деревини, звичайні (4С1) з природної деревини, із щільно пригнаними стінками (4С2) фанерні (4D) з деревного матеріалу (4F) з фібрового картону (4G) з твердої пластмаси (4Н2) Барабани сталеві (1А1, 1А2) алюмінієві (1В1, 1В2) інші металеві (1N1, 1N2) фанерні (1D) фіброві (1G) пластмасові (1Н1, 1Н2) |
|
Додаткова вимога: Замість вищезгаданої внутрішньої або зовнішньої тари може використовуватися Складана тара (6НН2) (пластмасова ємність у зовнішньому ящику з твердої пластмаси). |
||
|
Спеціальне положення з упакування: PP76 Для № ООН 0271, 0272, 0415 і 0491: якщо використовується металева тара, вона повинна бути сконструйована таким чином, щоб виключити можливість вибуху в результаті збільшення внутрішнього тиску під впливом внутрішніх або зовнішніх факторів. |
||
|
P144 ІНСТРУКЦІЯ З УПАКУВАННЯ Р144 |
||
|
За умови дотримання загальних положень, викладених у розділах 4.1.1 і 4.1.3, і спеціальних положень, викладених у розділі 4.1.5, дозволяється використовувати наступну тару: |
||
|
Внутрішня тара Ємності з фібрового картону металеві пластмасові дерев’яні Роздільні перегородки в зовнішній тарі |
Проміжна тара Не потрібно |
Зовнішня тара Ящики сталеві (4А) алюмінієві (4В) інші металеві (4N) з природної деревини, звичайні, з металевим вкладишем (4С1) фанерні (4D), з металевим вкладишем з деревного матеріалу (4F), з металевим вкладишем з пінопласту (4Н1) з твердої пластмаси (4Н2) Барабани сталеві (1А1, 1А2) алюмінієві (1В1, 1В2) інші металеві (1N1, 1N2) пластмасові (1Н1, 1Н2) |
|
Спеціальне положення з упакування: PP77 Для № ООН 0248 і 0249: тара повинна бути захищена від проникнення в неї води. Якщо водоактивовані пристрої перевозяться без упаковки, вони повинні бути оснащені щонайменше двома незалежними запобіжними пристроями для запобігання проникненню води. ПРИМІТКА: Маса нетто дозволеної тари може перевищувати 400 кг (див. пункт 4.1.3.3). |
||
|
P200 ІНСТРУКЦІЯ З УПАКУВАННЯ Р200 |
|
Типи тари: балони, трубки, барабани під тиском і в’язки балонів. Балони, трубки, барабани під тиском і в’язки балонів дозволяється використовувати за умови дотримання спеціальних положень з упакування, викладених у розділі 4.1.6, положень, викладених нижче в пунктах (1)-(9), і, коли вони зазначені в стовпчику «Спеціальні положення з упакування» таблиць 1, 2 або 3, що відповідають спеціальним положенням з упакування, викладеним нижче в пункті (10). Загальні положення (1) Посудини під тиском повинні герметично закриватися, для того щоб не відбувалося випуску газів. (2) Посудини під тиском, що містять токсичні речовини, ЛК50 яких становить 200 мл/м3 (млн.-1) або менше, як це зазначено в таблиці, не обладнуються якими-небудь пристроями для скидання тиску. Пристрої для скидання тиску встановлюються на посудини ООН під тиском, використовувані для перевезення діоксиду вуглецю (№ ООН 1013) і геміоксиду азоту (№ ООН 1070). (3) Три нижченаведені таблиці охоплюють стиснені гази (таблиця 1), скраплені й розчинені гази (таблиця 2) і речовини, що не відносяться до класу 2 (таблиця 3). У цих таблицях вказуються: а) номер ООН, найменування й опис, а також класифікаційний код речовини; b) ЛК50 для токсичних речовин; с) типи посудин під тиском, дозволені для перевезення речовини, позначені літерою «Х»; d) максимальний строк між випробуваннями при періодичних перевірках посудин під тиском; ПРИМІТКА: У випадку посудин під тиском, виготовлених з композитних матеріалів, максимальний строк між випробуваннями становить 5 років. Цей строк може бути збільшений до строку, зазначеного в таблицях 1 і 2 (тобто до 10 років) за умови затвердження компетентним органом або призначеним їм органом, що видали офіційне затвердження. е) мінімальний випробувальний тиск посудин під тиском; f) максимальний робочий тиск посудин під тиском для стиснених газів (у тих випадках, коли величина не зазначена, робочий тиск не повинен перевищувати двох третин випробувального тиску) або максимальний(і) коефіцієнт(и) наповнення, що залежить(ать) від випробувального тиску, для скраплених і розчинених газів; g) спеціальні положення з упакування, що відносяться до даної речовини. Випробувальний тиск, коефіцієнти наповнення й вимоги, що стосуються наповнення (4) Необхідний мінімальний випробувальний тиск дорівнює 1 МПа (10 бар). (5) Посудини під тиском ні за яких умов не повинні наповнюватися понад межу, установлену в нижченаведених вимогах: а) Для стиснених газів робочий тиск не повинен бути більше двох третин випробувального тиску посудин під тиском. Обмеження цієї верхньої межі робочого тиску встановлюються у пункті (10) спеціальним положенням з упакування «о». Ні за яких умов внутрішній тиск при температурі 65 °С не повинен перевищувати випробувального тиску. b) Для скраплених газів високого тиску коефіцієнт наповнення повинен бути таким, щоб встановлений тиск при температурі 65 °С не перевищував випробувального тиску посудин під тиском. Використання інших значень випробувального тиску й коефіцієнта наповнення, крім тих, які зазначені в таблиці, дозволяється, за винятком тих випадків, коли застосовуються вимоги пункту (10) спеціального положення з упакування «о», за умови: i) дотримання у випадку застосовності критерію, передбаченого в пункті (10) спеціального положення з упакування «r»; або ii) дотримання вищезгаданого критерію в усіх інших випадках. Для скраплених газів і сумішей газів високого тиску, по яких немає відповідних даних, максимальний коефіцієнт наповнення (FR) визначається за наступною формулою: FR = 8,5 × 10–4 × dg × Ph, де FR = максимальний коефіцієнт наповнення; dg = щільність газу (при температурі 15 °С і тиску 1 бар) (у кг/м3); Ph = мінімальний випробувальний тиск (у барах). |
|
P200 ІНСТРУКЦІЯ З УПАКУВАННЯ (продовж.) Р200 |
|
Якщо щільність газу невідома, максимальний коефіцієнт наповнення визначається за наступною формулою:
де FR = максимальний коефіцієнт наповнення; Ph = мінімальний випробувальний тиск (у барах); MM = молекулярна маса (у г/моль); R = 8,31451 x 10–2 бар.л.моль–1.K–1 (газова постійна). Для сумішей газів середня молекулярна маса визначається з урахуванням об’ємних концентрацій різних компонентів. с) Для скраплених газів низького тиску максимальна маса вмісту на літр місткості по воді становить 0,95 щільності рідкої фази при температурі 50 °С; крім того, рідка фаза не повинна повністю займати посудину під тиском при будь-якій температурі до 60 °С. Випробувальний тиск посудини під тиском має, щонайменше, дорівнювати тиску пар (абсолютному) рідини при температурі 65 °С, зменшеному на 100 кПа (1 бар). Для скраплених газів і сумішей газів низького тиску, по яких немає відповідних даних, максимальний коефіцієнт наповнення визначається за наступною формулою: FR = (0,0032 × BP - 0,24) × d1, де FR = максимальний коефіцієнт наповнення; BP = температура кипіння (за шкалою Кельвіна); d1 = щільність рідини при температурі кипіння (у кг/л). d) У відношенні № ООН 1001 ацетилену розчиненого й № ООН 3374 ацетилену нерозчиненого див. пункт (10), спеціальне положення з упакування «р». e) Для скраплених газів, до яких додані стиснені гази, обидва компонента – скраплений газ і стиснений газ – повинні братися до уваги при розрахунках внутрішнього тиску в посудині під тиском. Максимальна маса вмісту на літр місткості по воді не повинна перевищувати 0,95 щільності рідкої фази при температурі 50 °С; крім того, рідка фаза не повинна повністю займати посудину під тиском при будь-якій температурі до 60 °С. У наповненому стані внутрішній тиск при температурі 65 °C не повинен бути вище випробувального тиску посудин під тиском. Повинні враховуватися значення тиску пар і об’ємного розширення всіх речовин у посудинах під тиском. За відсутності експериментальних даних необхідно ужити наступних заходів: i) розрахунки тиску пар скрапленого газу й парціального тиску стисненого газу при температурі 15 °C (температура при наповненні); ii) розрахунки об’ємного розширення рідкої фази в результаті нагрівання з 15 °C до 65 °C і розрахунки об’єму, що залишився, газової фази; iii) розрахунки парціального тиску стисненого газу при температурі 65 °C з урахуванням об’ємного розширення рідкої фази; ПРИМІТКА: Повинен ураховуватися коефіцієнт стисливості стисненого газу при температурах 15 °C і 65 °C. iv) розрахунки тиску пар скрапленого газу при температурі 65 °C; v) загальний тиск є сумою тиску пар скрапленого газу й парціального тиску стисненого газу при температурі 65 °C; vi) облік розчинності стисненого газу при температурі 65 °C у рідкій фазі. |
|
P200 ІНСТРУКЦІЯ З УПАКУВАННЯ (продовж.) Р200 |
|
Випробувальний тиск посудини під тиском не повинен бути менше розрахункового загального тиску за винятком 100 кПа (1бар). Якщо розчинність стисненого газу в рідкій фазі (підпункт vi)) невідома при здійсненні розрахунків, випробувальний тиск може бути розрахований без урахування розчинності газу. (6) Інші значення випробувального тиску й коефіцієнта наповнення можуть використовуватися за тієї умови, що вони відповідають загальним вимогам, викладеним у пунктах (4) і (5) вище. (7) а) Наповнення посудин під тиском може здійснюватися тільки в спеціально обладнаних центрах кваліфікованим персоналом, що застосовує належні процедури. Зазначені процедури повинні включати наступні перевірки: – відповідності посудин і допоміжного обладнання вимогам ДОПНВ; – їх сумісності з продуктом, що підлягає перевезенню; – відсутності ушкоджень, здатних знизити рівень безпеки; – дотримання значень коефіцієнта або тиску наповнення залежно від конкретного випадку; – маркувальних та ідентифікаційних знаків. b) СНГ, яким наповнюють балони, повинен бути високої якості; ця вимога вважається виконаною, якщо такий СНГ відповідає граничним значенням корозійної активності, зазначеним у стандарті ISO 9162:1989. Періодичні перевірки (8) Посудини під тиском багаторазового використання повинні проходити періодичні перевірки відповідно до вимог підрозділів 6.2.1.6 і 6.2.3.5 відповідно. (9) Якщо в наведених нижче таблицях щодо деяких речовин не зазначені спеціальні положення, періодичні перевірки повинні проводитися: а) кожні 5 років у випадку посудин під тиском, призначених для перевезення газів із класифікаційними кодами 1Т, 1TF, 1TO, 1TC, 1TFC, 1ТОС, 2T, 2TO, 2TF, 2TC, 2TFC, 2TOC, 4A, 4F і 4ТС; b) кожні 5 років у випадку посудин під тиском, призначених для перевезення речовин інших класів; с) кожні 10 років у випадку посудин під тиском, призначених для перевезення газів із класифікаційними кодами 1A, 1 ПРО, 1F, 2A, 2O і 2F. У випадку посудин під тиском, виготовлених з композитних матеріалів, максимальний строк між випробуваннями становить 5 років. Цей строк може бути збільшений до строку, зазначеного в таблицях 1 і 2 (тобто до 10 років) за умови затвердження компетентним органом або призначеним ним органом, що видали офіційне затвердження. Спеціальні положення на упаковці (10) Сумісність із матеріалами а: Посудини під тиском з алюмінієвого сплаву не повинні використовуватися. b: Мідні клапани (вентилі) використовувати не дозволяється. c: Металеві частини, що стикаються із умістом, не повинні містити більше 65% міді. d: У випадку сталевих посудин під тиском або складаних посудин під тиском зі сталевими вкладишами дозволяється використовувати тільки ті посудини, на які нанесена літера «Н» відповідно до пункту 6.2.2.7.4 р). Вимоги відносно токсичних речовин, ЛК50 яких становить 200 мл/м3 (млн.−1) або менше k: Випускні отвори клапанів (вентилів) повинні бути оснащені утримуючими тиск газонепроникними заглушками або ковпаками, що мають різьблення, параметри якого збігаються з параметрами різьблення випускних отворів клапанів (вентилів), і виготовленими з матеріалу, що не піддається впливу вмісту посудини під тиском. |
|
P200 ІНСТРУКЦІЯ З УПАКУВАННЯ (продовж.) Р200 |
|
Кожний балон у в’язці повинен бути оснащений індивідуальним клапаном (вентилем), який повинен бути закритий під час перевезення. Після наповнення балона колектор повинен бути продутий, прочищений і заглушений. В’язки, що містять фтор стиснений (№ ООН 1045), можуть бути виготовлені із запірними клапанами (вентилями) на групах балонів загальною місткістю по воді не більше 150 л замість оснащення запірними клапанами (вентилями) кожного балона. Балони й окремі балони у в’язці повинні витримувати випробувальний тиск не менше 200 бар і мати мінімальну товщину стінок 3,5 мм у випадку алюмінієвого сплаву або 2 мм у випадку сталі. Окремі балони, що не відповідають цій вимозі, перевозяться у твердій зовнішній тарі, яка належним чином охороняє балон і його оснащення й задовольняє експлуатаційним вимогам для групи упакування I. Барабани під тиском повинні мати мінімальну товщину стінок, зазначену компетентним органом. Посудини під тиском не оснащуються пристроями для скидання тиску. Місткість одиночних балонів і кожного з балонів у в’язці не повинна перевищувати 85 л по воді. Кожний клапан (вентиль) повинен витримувати випробувальний тиск, якому піддається посудина під тиском, і повинен кріпитися безпосередньо до посудини під тиском або за допомогою конічного нарізного з’єднання, або іншим способом, що відповідає вимогам стандарту ISO 10692-2:2001. Кожний клапан (вентиль) повинен бути типу, що не ущільнюється, з суцільною діафрагмою, або такого типу, який не припускав би просочування скрізь ущільнення або в обхід нього Перевезення в капсулах не дозволяється. Кожна посудина під тиском повинна перевірятися на предмет витоку після наповнення. Положення, що стосуються окремих газів l: № ООН 1040 етилену оксид може також упаковуватися в скляну або металеву внутрішню тару, що герметично укупорюється, яка належним чином обкладається прокладним матеріалом і поміщується в ящики з фібрового картону, деревини або металу, що відповідають експлуатаційним вимогам для групи упакування I. Максимальна дозволена кількість умісту для будь-яких видів скляної внутрішньої тари дорівнює 30 г, а максимальна дозволена кількість умісту для будь-яких видів металевої внутрішньої тари - 200 г. Після наповнення кожна одиниця внутрішньої тари проходить перевірку на герметичність шляхом поміщення внутрішньої тари у ванну з гарячою водою при такій температурі й на такий період часу, яких достатньо для досягнення внутрішнього тиску, що дорівнює тиску пар оксиду етилену при температурі 55 °С. Максимальна маса нетто речовини в будь-якій одиниці зовнішньої тари не повинна перевищувати 2,5 кг. m: Посудини під тиском наповнюються до робочого тиску, що не перевищує 5 бар. n: Балони й окремі балони в одній в’язці повинні містити не більше 5 кг цього газу. Коли в’язки, що містять стиснений фтор (№ ООН 1045), розділені на групи балонів відповідно до спеціального положення з упакування «k», кожна група повинна містити не більше 5 кг цього газу. о: Ні за яких умов не повинні перевищуватися значення робочого тиску або коефіцієнта наповнення, зазначені в таблицях. р: Для № ООН 1001 ацетилену розчиненого й № ООН 3374 ацетилену нерозчиненого: балони повинні заповнюватися однорідним монолітним пористим матеріалом; робочий тиск і кількість ацетилену не повинні перевищувати значень, зазначених у затвердженні або в стандартах ISO 3807-1:2000, ISO 3807-2:2000 або ISO 3807-2013, залежно від конкретного випадку. |
|
P200 ІНСТРУКЦІЯ З УПАКУВАННЯ (продовж.) Р200 |
|
Для № ООН 1001 ацетилену розчиненого: балони повинні містити таку кількість ацетону або відповідного розчинника, яка зазначена у затвердженні (див., у відповідних випадках, ISO 3807-1:2000, ISO 3807-2:2000 або ISO 3807-2013); балони, оснащені пристроями для скидання тиску або з’єднані колектором, перевозяться у вертикальному положенні. У якості альтернативи для № ООН 1001 ацетилену розчиненого: балони, що не є посудинами ООН під тиском, можуть заповнюватися немонолітним пористим матеріалом; робочий тиск, кількість ацетилену й кількість розчинника не повинні перевищувати значень, зазначених у затвердженні. Періодичні перевірки балонів повинні проводитися не рідше, чим один раз у п’ять років. Випробувальний тиск в 52 бар застосовується тільки до балонів, оснащених плавкою запобіжною вставкою. q: Випускні отвори клапанів (вентилів) посудин під тиском для пірофорних газів або займистих сумішей газів, що містять більше 1% пірофорних сполук, повинні бути оснащені газонепроникними заглушками або ковпаками, які повинні бути виготовлені з матеріалу, що не піддається впливу вмісту посудини під тиском. У тих випадках, коли ці посудини під тиском об’єднані у в’язки й з’єднані колектором, кожний з них повинен мати індивідуальний клапан (вентиль), який повинен бути закритий під час перевезення, а випускний отвір вентиля колектору повинен бути оснащений газонепроникною заглушкою або ковпаком що втримує тиск. Газонепроникні заглушки або ковпаки повинні мати різьблення, параметри якого збігаються з параметрами різьблення випускних отворів клапанів (вентилів). Перевезення в капсулах не дозволяється. r: Коефіцієнт наповнення для цього газу повинен обмежуватися таким чином, щоб у випадку повного розкладання тиск не перевищував двох третин випробувального тиску посудини під тиском. ra: Цей газ може також накачуватися в капсули при дотриманні наступних умов: a) маса газу не повинна перевищувати 150 г на капсулу; b) капсули не повинні мати дефектів, здатних знизити їх міцність; c) герметичність затвора забезпечується за допомогою додаткового пристрою (ковпака, кришки, замазки, обв’язки і т.д.), здатного запобігти витоку газу через затвор у ході перевезення; d) капсули укладаються в зовнішню тару достатньої міцності. Вага упаковки не повинна перевищувати 75 кг. s: Посудини під тиском з алюмінієвого сплаву повинні бути: – обладнані клапанами (вентилями), виготовленими тільки з латуні або нержавіючої сталі; і – очищені від вуглеводнів і не забруднені маслом. Посудини ООН під тиском повинні бути очищені відповідно до стандарту ISO 11621:1997. tа: При наповненні зварених сталевих балонів, призначених для перевезення речовин з № ООН 1965, можуть застосовуватися інші критерії: а) за згодою компетентних органів країн, де здійснюється перевезення; і b) відповідно до положень національних правил або національного стандарту, визнаних компетентним органом. Якщо при наповненні застосовувалися критерії, що відрізняються від критеріїв, зазначених в інструкції Р200(5), у транспортному документі робиться запис: «Перевезення відповідно до інструкції з упакування Р200, спеціальне положення з упакування »tа»«, із зазначенням вихідної температури, що використовувалася при розрахунках коефіцієнта наповнення. |
|
P200 ІНСТРУКЦІЯ З УПАКУВАННЯ (продовж.) Р200 |
|
Періодична перевірка u: Інтервал між періодичними випробуваннями посудин під тиском з алюмінієвого сплаву може бути збільшений до 10 років. Цей відступ може застосовуватися тільки до посудин ООН під тиском, якщо сплав, з якого виготовлена посудина під тиском, був підданий випробуванню на опір корозії відповідно до стандарту ISO 7866:2012 + Cor 1:2014. ua: Інтервал між періодичними випробуваннями балонів з алюмінієвого сплаву й в’язок таких балонів може бути збільшений до 15 років, якщо застосовуються положення пункту (13) цієї інструкції з упакування. Це не стосується балонів, виготовлених з алюмінієвого сплаву AA 6351. У випадку сумішей це положення «ua» може застосовуватися за тієї умови, що всі окремі гази в складі суміші віднесені до «ua» у таблиці 1 або таблиці 2. v: (1) Інтервал між перевірками сталевих балонів, за винятком зварених сталевих балонів багаторазового використання для № ООН 1011, 1075, 1965, 1969 і 1978, може бути збільшений до 15 років: а) за згодою компетентного органу (компетентних органів) країни (країн), у якій (яких) здійснюються періодична перевірка й перевезення; і b) відповідно до вимог технічних правил або стандарту, визнаних компетентним органом. (2) Для зварених сталевих балонів багаторазового використання для № ООН 1011, 1075, 1965, 1969 і 1978 періодичність проведення перевірок може бути збільшена до 15 років, якщо застосовуються положення пункту (12) цієї інструкції з упакування. va: Для безшовних сталевих балонів, обладнаних клапанами залишкового тиску (див. примітку нижче), які були сконструйовані й випробувані відповідно до стандарту EN ISO 15996:2005 + А1:2007 або EN ISO 15996:2017, і в’язок безшовних сталевих балонів, обладнаних основним(и) вентилем(ями) з пристроєм залишкового тиску, який(і) був(ли) випробуваний(і) відповідно до стандарту EN ISO 15996:2005 + А1:2007 або EN ISO 15996:2017, інтервал між періодичними випробуваннями може бути збільшений до 15 років, якщо застосовуються положення пункту (13) цієї інструкції з упакування. У випадку сумішей це положення «va» може застосовуватися за тієї умови, що всі окремі гази в складі суміші віднесені до «va» у таблиці 1 або таблиці 2. ПРИМІТКА: »Клапан залишкового тиску» означає затвор, що складається з пристрою залишкового тиску, який запобігає проникненню забруднюючих домішок шляхом збереження позитивної різниці між тиском у балоні й тиском на випуску клапана. З метою запобігання проникненню рідин у балон із джерела більш високого тиску функція «безповоротного клапана» повинна бути або вбудована в пристрій залишкового тиску, або забезпечуватися за рахунок дискретного додаткового пристрою у вентилі балона, наприклад регулятора. Вимоги відносно позицій «Н.З.К.» і сумішей z: Матеріали, з яких виготовлені посудини під тиском і їх пристрої, повинні бути сумісними із умістом і не вступати з ним у реакцію, при якій утворюються шкідливі або небезпечні сполуки. Випробувальний тиск і коефіцієнт наповнення повинні розраховуватися згідно з відповідними вимогами пункту (5). Токсичні речовини, ЛК50 яких становить 200 мл/м3 або менше, не підлягають перевезенню в трубках, барабанах під тиском або БЕГК і повинні відповідати вимогам спеціального положення з упакування »k». Однак № ООН 1975 оксиду азоту й тетраоксиду діазоту суміш може перевозитися в барабанах під тиском. У випадку посудин під тиском, що містять пірофорні гази або займисті суміші газів, що містять більше 1% пірофорних сполук, повинні дотримуватися вимоги спеціального положення з упакування »q». |
|
P200 ІНСТРУКЦІЯ З УПАКУВАННЯ (продовж.) Р200 |
|
Повинні вживатися необхідні заходи для запобігання небезпечним реакціям (наприклад, полімеризації або розкладання) під час перевезення. У необхідних випадках потрібна стабілізація вмісту або додавання інгібітору. Суміші, що містять № ООН 1911 диборан, повинні завантажуватися до такого тиску, при якому у випадку повного розкладання диборану тиск у посудині не буде перевищувати двох третин випробувального тиску посудини під тиском. Суміші, що містять № ООН 2192 герман, крім сумішей, що містять до 35% герману у водні або азоті або до 28% герману в гелії або аргоні, повинні завантажуватися до досягнення такого тиску, при якому у випадку повного розкладання герману тиск не буде перевищувати двох третин випробувального тиску посудини під тиском. Суміші фтору і азоту з концентрацією фтору нижче 35 % за об’ємом можуть завантажуватися в посудини під тиском до максимально допустимого робочого тиску, при якому парціальний тиск фтору не перевищує 3,1 МПа (31 бар) (абсолютний тиск). Робочий тиск (бар) де xf = концентрація фтору в % за об'ємом/100. Суміші фтору та інертних газів з концентрацією фтору нижче 35 % за об’ємом можуть завантажуватися в посудини під тиском до максимально допустимого робочого тиску, при якому парціальний тиск фтору не перевищує 3,1 МПа (31 бар) (абсолютний тиск), при цьому при розрахунку парціального тиску додатково враховується коефіцієнт еквівалентності азоту відповідно до стандарту ISO 10156:2017. Робочий тиск (бар) де: xf = концентрація фтору в % за об'ємом/100; kK = коефіцієнт еквівалентності інертного газу по відношенню до азоту (коефіцієнт еквівалентності азоту); kx = концентрація інертного газу в % за об'ємом/100. Проте робочий тиск сумішей фтору та інертних газів не повинен перевищувати 20 МПа (200 бар). Мінімальний випробувальний тиск посудин під тиском для сумішей фтору та інертних газів дорівнює 1,5 робочого тиску або 20 МПа (200 бар), при цьому повинне застосовуватися найбільше з цих значень. Вимоги до речовин, що не відносяться до класу 2 ab: Посудини під тиском повинні задовольняти наступним вимогам: i) випробування під тиском повинно включати огляд внутрішнього стану посудин під тиском і перевірку приладів; ii) крім того, кожні два роки повинна проводитися за допомогою відповідних засобів (наприклад, ультразвуку) перевірка корозійної стійкості й повинен перевірятися стан приладів; iii) товщина стінок повинна становити не менше 3 мм. ас: Випробування й перевірки повинні проводитися під наглядом експерта, затвердженого компетентним органом. аd: Посудини під тиском повинні задовольняти наступним вимогам: i) посудини під тиском повинні бути розраховані на тиск, що дорівнює не менше 2,1 МПа (21 бар) (манометричний тиск); ii) крім маркувальних знаків, встановлених для посудин багаторазового використання, на посудинах під тиском повинні бути розбірливі й довговічні написи з наступними даними: – номер ООН і належне відвантажувальне найменування речовини відповідно до розділу 3.1.2; – максимально припустима маса наповненої посудини під тиском і маса тари, включаючи пристрої, установлені при наповненні, або маса брутто. |
|
P200 ІНСТРУКЦІЯ З УПАКУВАННЯ (продовж.) Р200 |
|
(12) 15-річна періодичність проведення періодичних перевірок зварених сталевих балонів багаторазового використання може бути встановлена відповідно до спеціального положення з упакування v (2) пункту (10), якщо застосовуються нижченаведені положення. 1. Загальні положення 1.1 Для цілей застосування цього розділу компетентний орган не повинен делегувати виконання своїх функцій і обов’язків органам Хb (перевіряючі органи типу В) або IS (внутрішні інспекційні служби) (визначення органів Xb і IS див. у пункті 6.2.3.6.1). 1.2 Власник балонів повинен звернутися в компетентний орган із заявкою на дозвіл на проведення перевірок з 15-річною періодичністю й повинен довести дотримання вимог підпунктів 2, 3 і 4. 1.3 Балони, виготовлені починаючи з 1 січня 1999 року, повинні бути виготовлені відповідно до наступних стандартів: – EN 1442; або – EN 13322-1; або – пунктами 1–3 додатка I до Директиви 84/527/ ЄEC Радиа, залежно від конкретного випадку, відповідно до таблиці, що міститься в розділі 6.2.4. Для інших балонів, виготовлених до 1 січня 2009 року згідно з вимогами ДОПНВ відповідно до технічних правил, визнаних національним компетентним органом, може допускатися 15-річна періодичність, якщо за рівнем безпеки вони рівноцінні балонам, що відповідають положенням ДОПНВ, що застосовувалися в момент направлення заявки. 1.4 Власник повинен представити компетентному органу документальне свідоцтво, яке підтверджує, що балони задовольняють вимогам підпункту 1.3. Компетентний орган повинен перевірити виконання цих вимог. |
|
a Директива Ради про зближення законів держав-членів відносно зварених газових балонів із нелегованої сталі, опублікована в Official Journal of the European Communities No. L 300 від 19 листопада 1984 року. |
|
P200 ІНСТРУКЦІЯ З УПАКУВАННЯ (продовж.) Р200 |
|
1.5 Компетентний орган повинен перевірити, чи виконані вимоги підпунктів 2 і 3 і чи правильно вони застосовані. Якщо всі вимоги виконані, він дає дозвіл на проведення перевірки балонів з 15-річною періодичністю. У такому дозволі повинні бути чітко зазначені тип балона (відповідно до офіційного затвердження типу) або група балонів (див. примітку), яких стосується цей дозвіл. Дозвіл видається власнику; компетентний орган зберігає в себе екземпляр цього дозволу. Власник зберігає в себе відповідні документи протягом усього терміну дії дозволу на проведення перевірки балонів з 15-річною періодичністю. ПРИМІТКА: Група балонів визначається по датах виготовлення ідентичних балонів за період, протягом якого застосовні положення ДОПНВ і технічних правил, визнаних компетентним органом, не змінилися з погляду їх технічного змісту. Приклад: ідентичні за конструкцією й місткістю балони, виготовлені згідно з положеннями ДОПНВ, що застосовувалися в період з 1 січня 1985 року по 31 грудня 1988 року, і за технічними правилами, що визнані компетентним органом й що застосовувалися в той же період, становлять одну групу за змістом положень цього пункту. 1.6 Компетентний орган повинен перевіряти дотримання власником балонів положень ДОПНВ і виданого дозволу за необхідності, але не рідше одного разу в три роки, або при внесенні змін у процедури. 2. Операційні положення 2.1 Балони, для яких установлена 15-річна періодичність проведення періодичних перевірок, повинні наповнюватися в заправних центрах, що застосовують документовану систему якості, з метою забезпечення виконання й правильного застосування всіх положень пункту (7) цієї інструкції з упакування, а також вимог і обов’язків, викладених у стандарті EN 1439:2021 (або, до 31 грудня 2024 року, EN 1439:2017) і EN 13952:2017. 2.2 Компетентний орган повинен контролювати виконання цих вимог і проводити відповідні перевірки за необхідності, але не рідше одного разу в три роки, або при внесенні змін у процедури. 2.3 Власник повинен надавати компетентному органу документальні свідчення того, що заправний центр відповідає вимогам підпункту 2.1. 2.4 Якщо заправний центр розташований у якій-небудь іншій Договірній стороні ДОПНВ, власник повинен надати додаткові документальні свідчення того, що заправний центр відповідним чином контролюється компетентним органом цієї Договірної сторони ДОПНВ. 2.5 З метою попередження внутрішньої корозії балони повинні наповнюватися тільки високоякісними газами з дуже малим вмістом потенційних корозійних домішок. Ця вимога вважається виконаною, якщо такі гази відповідають граничним значенням корозійної активності, зазначеним у стандарті ISO 9162:1989. 3. Положення, що стосуються огляду й періодичних перевірок 3.1 Балони, що відносяться до вже використовуваного типу або вже використовуваної групи, для яких була встановлена й до яких застосовується 15-річна періодичність, повинні пройти періодичні перевірки відповідно до підрозділу 6.2.3.5. ПРИМІТКА: Визначення групи балонів див. у ПРИМІТЦІ до підпункту 1.5. 3.2 Якщо балон, що проходить перевірки з 15-річною періодичністю, не витримує випробування на гідравлічний тиск у ході періодичної перевірки, наприклад у результаті розриву або витоку, власник повинен провести відповідне розслідування й надати звіт про причину непроходження випробування, а також указати, чи ушкоджені інші балони (наприклад, що відносяться до того ж типу або тієї ж групи). В останньому випадку власник повинен інформувати компетентний орган. Компетентний орган повинен потім ухвалити рішення щодо необхідних заходів і відповідним чином інформувати компетентні органи всіх інших Договірних сторін ДОПНВ. |
|
P200 ІНСТРУКЦІЯ З УПАКУВАННЯ (продовж.) Р200 |
|
3.3 Якщо виявлена внутрішня корозія, визначення якої міститься в застосовуваному стандарті (див. підпункт 1.3), то балон повинен бути вилучений з експлуатації й не повинен допускатися до подальшого наповнення й перевезення. 3.4 Балони, для яких установлена 15-річна періодичність проведення перевірок, повинні обладнуватися тільки вентилями, спроектованими й виготовленими для щонайменше 15-річного строку експлуатації відповідно до стандарту EN 13152:2001 + A1:2003, EN 13153:2001 + A1:2003, EN ISO 14245:2010, EN ISO 14245:2019, EN ISO 14245:2021, EN ISO 15995:2010 або , EN ISO 15995:2019 або EN ISO 15995:2021. Після періодичної перевірки на балон повинен бути встановлений новий вентиль, причому вентилі з ручним керуванням, які були відновлені або перевірені відповідно до стандарту EN 14912:2022, можуть повторно встановлюватися, якщо вони підходять для експлуатації протягом наступного 15-річного періоду. Відновлення й перевірка проводяться тільки виробником вентилів або – відповідно до його технічної інструкції – підприємством, що має право на здійснення такої роботи й функціонує з використанням документованої системи якості. 4. Маркування На балони, для яких установлена 15-річна періодичність проведення періодичних перевірок відповідно до цього пункту, повинен, крім того, наноситися чіткий маркувальний знак «P15Y», що добре читається. Цей маркувальний знак повинен видалятися, якщо для даного балона більше не дозволяється 15-річна періодичність проведення перевірок. ПРИМІТКА: Цей маркувальний знак не повинен наноситися на балони, до яких застосовуються перехідні положення, викладені в підрозділах 1.6.2.9 і 1.6.2.10, або спеціальне положення з упакування v (1) пункту (10) цієї інструкції з упакування. (13) Відповідно до спеціального положення з упакування «ua» або «va» пункту (10) може бути встановлений 15-річний інтервал між періодичними перевірками безшовних сталевих балонів і балонів з алюмінієвого сплаву й в’язок таких балонів, якщо застосовуються нижченаведені положення: 1. Загальні положення 1.1 Для цілей застосування цього пункту компетентний орган не повинен делегувати виконання своїх функцій і обов’язків органам Xb (перевіряючі органи типу В) або IS (внутрішні інспекційні служби) (визначення органів Xb і IS див. у пункті 6.2.3.6.1). 1.2 Власник балонів або в’язок балонів повинен звернутися в компетентний орган із заявкою на дозвіл проведення перевірок з 15-річною періодичністю й повинен довести дотримання вимог підпунктів 2, 3 і 4. 1.3 Балони, виготовлені починаючи з 1 січня 1999 року, повинні бути виготовлені відповідно до одного з наступних стандартів: − EN 1964-1 або EN 1964-2; або − EN 1975; або − EN ISO 9809-1 або EN ISO 9809-2; або – EN ISO 7866; або − частинами 1−3 додатка I до Директив 84/525/ ЄECb і 84/526/ ЄECс Ради у тому варіанті, який застосовувався на момент виготовлення (див. також таблицю в підрозділі 6.2.4.1). |
|
b Директива Ради про зближення законів держав-членів відносно безшовних сталевих газових балонів, опублікована в Official Journal of the European Communities No. L 300 від 19 листопада 1984 року. c Директива Ради про зближення законів держав-членів відносно безшовних сталевих газових балонів з нелегованого алюмінію й алюмінієвого сплаву, опублікована в Official Journal of the European Communities No. L 300 від 19 листопада 1984 року.
|
|
P200 ІНСТРУКЦІЯ З УПАКУВАННЯ (продовж.) Р200 |
|
Для інших балонів, виготовлених до 1 січня 2009 року згідно з вимогами ДОПНВ відповідно до технічних правил, визнаних національним компетентним органом, може допускатися 15-річна періодичність проведення періодичних перевірок, якщо за рівнем безпеки вони відповідають положенням ДОПНВ, що застосовувалися в момент направлення заявки. ПРИМІТКА: Це положення вважається виконаним, якщо була зроблена переоцінка балона відповідно до процедури переоцінки відповідності, викладеної в додатку III до Директиви 2010/35/EU від 16 червня 2010 року або в частині II додатка IV до Директиви 1999/36/ЄС від 29 квітня 1999 року. Для балонів і в’язок балонів, на які нанесений символ Організації Об’єднаних Націй для тари, зазначений у пункті 6.2.2.7.2 а), 15-річна періодичність проведення періодичних перевірок не допускається. 1.4 В’язки балонів повинні бути сконструйовані так, щоб контакт між балонами по поздовжній осі балонів не призводив до зовнішньої корозії. Повинні використовуватися такі опори й стяжні стрічки, які зводять до мінімуму небезпеку корозійного впливу на балони. Використовувати матеріали, що поглинають удари в опорах, дозволяється тільки в тому випадку, якщо ці матеріали були піддані обробці з метою нейтралізації їх здатності поглинати вологу. Прикладами придатних матеріалів є водостійкі тканини й гума. 1.5 Власник повинен надати компетентному органу документальні свідчення, що підтверджують, що балони задовольняють вимогам підпункту 1.3. Компетентний орган повинен перевірити виконання цих вимог. 1.6 Компетентний орган повинен перевірити, чи виконані вимоги підпунктів 2 і 3 і чи правильно вони застосовані. Якщо всі вимоги виконані, він дає дозвіл на проведення періодичних перевірок балонів з 15-річною періодичністю. У такому дозволі повинна бути чітко зазначена група балонів (див. ПРИМІТКУ нижче), яких стосується цей дозвіл. Дозвіл видається власнику; компетентний орган зберігає в себе екземпляр цього дозволу. Власник зберігає в себе відповідні документи протягом усього терміну дії дозволу на проведення перевірок балонів з 15-річною періодичністю. ПРИМІТКА: Група балонів визначається по датах виготовлення ідентичних балонів за період, протягом якого застосовні положення ДОПНВ і технічних правил, визнаних компетентним органом, не змінилися з погляду їх технічного змісту. Приклад: одну групу за змістом положень цього пункту становлять ідентичні по конструкції й місткості балони, виготовлені згідно з положеннями ДОПНВ, що застосовувалися в період з 1 січня 1985 року по 31 грудня 1988 року, у комбінації з технічними правилами, що визнані компетентним органом й що застосовувалися в той же період. 1.7 Власник повинен забезпечити дотримання положень ДОПНВ і виданого дозволу й повинен підтверджувати їх дотримання компетентному органу за його запитом, але не рідше одного разу в три роки або при внесенні значних змін у процедури. 2. Експлуатаційні положення 2.1 Балони або в’язки таких балонів, для яких установлений 15-річний інтервал між періодичними перевірками, повинні наповнюватися тільки в заправних центрах, що застосовують документовану й сертифіковану систему якості, з метою забезпечення виконання й правильного застосування всіх положень пункту (7) цієї інструкції з упакування, а також вимог і обов’язків, викладених у стандартах EN 24431:2016 або EN 13365:2002. Система якості, що відповідає стандартам серії ISO 9000 або еквівалентним стандартам, повинна бути сертифікована акредитованим незалежним органом, визнаним компетентним органом. Вона включає процедури перевірок перед наповненням, а після нього й процес наповнення стосовно до балонів, в’язок балонів і вентилів. |
|
P200 ІНСТРУКЦІЯ З УПАКУВАННЯ (продовж.) Р200 |
|
2.2 Балони з алюмінієвого сплаву й в’язки таких балонів без клапанів залишкового тиску, для яких був установлений 15-річний інтервал між періодичними перевірками, повинні перевірятися перед кожним наповненням відповідно до документованої процедури, яка повинна включати щонайменше наступне: – відкриття вентиля балона або основного вентиля в’язки балонів для перевірки на залишковий тиск; – якщо газ виходить, балон або в’язки балонів можуть наповнюватися; – якщо газ не виходить, повинна бути проведена перевірка внутрішнього стану балона або в’язки балонів для виявлення забруднення; – якщо забруднення не виявлене, балон або в’язки балонів можуть наповнюватися; – якщо виявлене забруднення, повинні бути вжиті заходи по його усуненню. 2.3 Безшовні сталеві балони, обладнані клапанами залишкового тиску, і в’язки безшовних сталевих балонів, оснащені основним(и) вентилем(ями) з пристроєм залишкового тиску, для яких установлений 15-річний інтервал між періодичними перевірками, повинні перевірятися перед кожним наповненням відповідно до документованої процедури, яка повинна включати щонайменше наступне: – відкриття вентиля балона або основного вентиля в’язки балонів для перевірки на залишковий тиск; – якщо газ виходить, балон або в’язки балонів можуть наповнюватися; – якщо газ не виходить, має бути перевірено функціонування пристрою залишкового тиску; – якщо перевірка показує, що пристрій залишкового тиску втримує тиск, балон або в’язки балонів можуть наповнюватися; – якщо перевірка показує, що пристрій залишкового тиску не втримує тиск, повинна бути проведена перевірка внутрішнього стану балона або в’язки балонів для виявлення забруднення: – якщо забруднення не виявлене, балон або в’язки балонів можуть наповнюватися після ремонту або заміни пристрою залишкового тиску; – якщо виявлене забруднення, повинні бути вжиті заходи з його усунення. 2.4 Для запобігання внутрішній корозії балони або в’язки балонів повинні наповнюватися тільки високоякісними газами з дуже малим вмістом потенційних забруднюючих домішок. Ця вимога вважається виконаною, якщо сумісність газів з матеріалами є прийнятною відповідно до стандартів серії EN ISO 11114-1:2012 + A1:2017 і EN ISO 11114-1:2020 і якість газів відповідає технічним вимогам стандарту EN ISO 14175:2008 або − у випадку газів, не охоплених у цьому стандарті, − газ має мінімальну чистоту 99,5% за об’ємом і максимальний вміст вологи 40 мл/м3 (млн.–1). Для геміоксиду азоту ці значення повинні становити: мінімальна чистота − 98% за об’ємом і максимальний вміст вологи − 70 мл/м3 (млн.–1). 2.5 Власник повинен забезпечити виконання вимог пунктів 2.1-2.4 і надавати компетентному органу документальні свідчення цього за його запитом, але не рідше одного разу в три роки або при внесенні значних змін у процедури. 2.6 Якщо заправний центр розташований у якій-небудь іншій Договірній стороні ДОПНВ, власник повинен надавати компетентному органу за його запитом додаткові документальні свідчення того, що заправний центр відповідним чином контролюється компетентним органом цієї Договірної сторони ДОПНВ. Див. також підпункт 1.2. |
|
P200 ІНСТРУКЦІЯ З УПАКУВАННЯ (продовж.) Р200 |
|
3. Положення, що стосуються огляду й періодичних перевірок 3.1 Для вже використовуваних балонів або в’язок балонів, для яких умови підпункту 2 виконуються на вимогу компетентного органу починаючи з дати останньої періодичної перевірки, інтервал між періодичними перевірками може бути збільшений до 15 років починаючи з дати останньої періодичної перевірки. У протилежному випадку зміна інтервалу з 10 до 15 років повинна відбуватися в момент проведення періодичної перевірки. У звіті про періодичну перевірку має бути зазначено, що даний балон або дані в’язки балонів повинні бути за необхідності обладнані пристроєм залишкового тиску. Компетентний орган може прийняти інші документальні свідчення. 3.2 Якщо балон, що проходить перевірки з 15-річною періодичністю, не витримує випробування тиском і розривається або протікає або якщо виявляється серйозний дефект при випробуванні без руйнування зразка в ході періодичної перевірки, власник повинен провести відповідне розслідування й надати звіт про причину непроходження випробування, а також указати, чи ушкоджені інші балони (наприклад, що відносяться до того ж типу або тієї ж групи). В останньому випадку власник повинен інформувати компетентний орган. Компетентний орган повинен потім ухвалити рішення щодо необхідних заходів і відповідним чином інформувати компетентні органи всіх інших Договірних сторін ДОПНВ. 3.3 Якщо виявлена внутрішня корозія й інші дефекти, визначені в стандартах з періодичної перевірки, на які зроблені посилання в розділі 6.2.4, то балон має бути вилучений з експлуатації й не повинен допускатися до подальшого наповнення й перевезення. 3.4 Балони або в’язки балонів, для яких установлена 15-річна періодичність проведення перевірок, повинні обладнуватися тільки вентилями, сконструйованими й випробуваними відповідно до стандарту EN 849 або EN ISO 10297 у тому варіанті, який застосовувався на момент виготовлення (див. також таблицю в підрозділі 6.2.4.1). Після періодичної перевірки повинен бути встановлений новий вентиль, причому вентилі, які були відновлені або перевірені відповідно до стандарту EN ISO 22434:2022, можуть установлюватися повторно. 4. Маркування На балони або в’язки балонів, для яких установлена 15-річна періодичність проведення періодичних перевірок, повинна наноситися дата (рік) наступної періодичної перевірки, як це встановлено в розділі 5.2.1.6 c), і, крім того, повинен наноситися чіткий і розбірливий маркувальний знак «P15Y». Цей маркувальний знак повинен видалятися, якщо для даного балона або даної в’язки балонів більше не дозволяється 15-річна періодичність проведення періодичних перевірок. |
P200 ІНСТРУКЦІЯ З УПАКУВАННЯ (продовж.) Р200 |
|||||||||||
Таблиця 1. СТИСНЕНІ ГАЗИ |
|||||||||||
№ ООН |
Найменування й опис |
Класифікаційний код |
ЛК50, мл/м3 |
Балони |
Трубки |
Барабани під тиском |
В’язки балонів |
Періодичність випробувань, років а |
Випробувальний тиск, бар b |
Максимальний робочий тиск, бар b |
Спеціальні положення з упакування |
|
ПОВІТРЯ СТИСНЕНЕ |
1А |
X |
X |
X |
X |
10 |
ua, va |
||||
|
АРГОН СТИСНЕНИЙ |
1А |
X |
X |
X |
X |
10 |
ua, va |
||||
|
ВУГЛЕЦЮ МОНООКСИД СТИСНЕНИЙ |
1TF |
3760 |
X |
X |
X |
X |
5 |
u |
|||
|
ГАЗ КАМ’ЯНОВУГІЛЬНИЙ СТИСНЕНИЙ |
1TF |
X |
X |
X |
X |
5 |
|||||
|
ФТОР СТИСНЕНИЙ |
1TOC |
185 |
X |
X |
5 |
200 |
30 |
a, k, n, o |
|||
|
ГЕЛІЙ СТИСНЕНИЙ |
1A |
X |
X |
X |
X |
10 |
ua, va |
||||
|
ВОДЕНЬ СТИСНЕНИЙ |
1F |
X |
X |
X |
X |
10 |
d, ua, va |
||||
|
КРИПТОН СТИСНЕНИЙ |
1A |
X |
X |
X |
X |
10 |
ua, va |
||||
|
НЕОН СТИСНЕНИЙ |
1A |
X |
X |
X |
X |
10 |
ua, va |
||||
|
АЗОТ СТИСНЕНИЙ |
1A |
X |
X |
X |
X |
10 |
ua, va |
||||
|
ГАЗ НАФТОВИЙ СТИСНЕНИЙ |
1TF |
X |
X |
X |
X |
5 |
|||||
|
КИСЕНЬ СТИСНЕНИЙ |
1O |
X |
X |
X |
X |
10 |
s, ua, va |
||||
|
ГЕКСАЕТИЛТЕТРАФОСФАТУ Й ГАЗУ СТИСНЕНОГО СУМІШ |
1T |
X |
X |
X |
X |
5 |
z |
||||
|
АЗОТУ (II) ОКСИД СТИСНЕНИЙ |
1TOC |
115 |
X |
X |
5 |
225 |
33 |
k, o |
|||
|
ГАЗ СТИСНЕНИЙ ТОКСИЧНИЙ ЗАЙМИСТИЙ, Н.З.К. |
1TF |
≤ 5000 |
X |
X |
X |
X |
5 |
z |
|||
|
ГАЗ СТИСНЕНИЙ ЗАЙМИСТИЙ, Н.З.К. |
1F |
X |
X |
X |
X |
10 |
z, ua, va |
||||
|
ГАЗ СТИСНЕНИЙ ТОКСИЧНИЙ Н.З.К. |
1T |
≤ 5000 |
X |
X |
X |
X |
5 |
z |
|||
|
ГАЗ СТИСНЕНИЙ, Н.З.К. |
1A |
X |
X |
X |
X |
10 |
z, ua, va |
||||
|
ДЕЙТЕРІЙ СТИСНЕНИЙ |
1F |
X |
X |
X |
X |
10 |
d, ua, va |
||||
|
ГАЗІВ ВУГЛЕВОДНЕВИХ СУМІШ СТИСНЕНА, Н.З.К. |
1F |
X |
X |
X |
X |
10 |
z, ua, va |
||||
|
МЕТАН СТИСНЕНИЙ або ГАЗ ПРИРОДНИЙ СТИСНЕНИЙ з високим вмістом метану |
1F |
X |
X |
X |
X |
10 |
ua, va |
||||
|
ВОДНЮ Й МЕТАНУ СУМІШ СТИСНЕНА |
1F |
X |
X |
X |
X |
10 |
d, ua, va |
||||
|
КИСНЮ ДИФТОРИД СТИСНЕНИЙ |
1TOC |
2,6 |
X |
X |
5 |
200 |
30 |
a, k, n, o |
|||
|
ГАЗ СТИСНЕНИЙ ОКИСНЮВАЛЬНИЙ, Н.З.К. |
1O |
X |
X |
X |
X |
10 |
z, ua, va |
||||
|
ГАЗ СТИСНЕНИЙ ТОКСИЧНИЙ ОКИСНЮВАЛЬНИЙ, Н.З.К. |
1TO |
≤ 5000 |
X |
X |
X |
X |
5 |
z |
|||
|
ГАЗ СТИСНЕНИЙ ТОКСИЧНИЙ КОРОЗІЙНИЙ, Н.З.К. |
1TC |
≤ 5000 |
X |
X |
X |
X |
5 |
z |
|||
|
ГАЗ СТИСНЕНИЙ ТОКСИЧНИЙ ЗАЙМИСТИЙ КОРОЗІЙНИЙ, Н.З.К. |
1TFC |
≤ 5000 |
X |
X |
X |
X |
5 |
z |
|||
|
ГАЗ СТИСНЕНИЙ ТОКСИЧНИЙ ОКИСНЮВАЛЬНИЙ КОРОЗІЙНИЙ, Н.З.К. |
1TOC |
≤ 5000 |
X |
X |
X |
X |
5 |
z |
|||
а Не поширюється на посудини під тиском з композитних матеріалів.
b У тих випадках, коли для відповідних позицій значення не зазначені, робочий тиск не повинен перевищувати двох третин випробувального тиску.
|
P200 |
ІНСТРУКЦІЯ З УПАКУВАННЯ (продовж.) |
P200 |
||||||||||||
|
Таблиця 2. СКРАПЛЕНІ ГАЗИ Й РОЗЧИНЕНІ ГАЗИ |
||||||||||||||
|
№ ООН |
Найменування й опис |
Класифікаційний код |
ЛК50, мл/м3 |
Балони |
Трубки |
Барабани під тиском |
В’язки балонів |
Періодичність випробувань, років а |
Випробувальний тиск, бар |
Коефіцієнт наповнення |
Спеціальні положення з упакування |
|||
|
АЦЕТИЛЕН РОЗЧИНЕНИЙ |
4F |
X |
X |
10 |
60 |
c, p |
||||||||
|
АМІАК БЕЗВОДНИЙ |
2TC |
4000 |
X |
X |
X |
X |
5 |
29 |
0,54 |
b, ra |
||||
|
БОРУ ТРИФТОРИД |
2TC |
864 |
X |
X |
X |
X |
5 |
225 |
0,715 |
a а |
||||
|
300 |
0,86 |
|||||||||||||
|
БРОМТРИФТОРМЕТАН (ГАЗ РЕФРИЖЕРАТОРНИЙ R 13B1) |
2A |
X |
X |
X |
X |
10 |
42 |
1,13 |
ra |
|||||
|
120 |
1,44 |
ra |
||||||||||||
|
250 |
1,60 |
ra |
||||||||||||
|
БУТАДІЄНИ СТАБІЛІЗОВАНІ (1,2-бутадієн) або |
2F |
X |
X |
X |
X |
10 |
10 |
0,59 |
ra |
|||||
|
БУТАДІЄНИ СТАБІЛІЗОВАНІ (1,3-бутадієн) або |
2F |
X |
X |
X |
X |
10 |
10 |
0,55 |
ra |
|||||
|
БУТАДІЄНІВ І ВУГЛЕВОДНЮ СУМІШ СТАБІЛІЗОВАНА |
2F |
X |
X |
X |
X |
10 |
10 |
0,50 |
ra, v, z |
|||||
|
БУТАН |
2F |
X |
X |
X |
X |
10 |
10 |
0,52 |
ra, v |
|||||
|
БУТИЛЕН (бутиленів суміш) або |
2F |
X |
X |
X |
X |
10 |
10 |
0,50 |
ra, z |
|||||
|
БУТИЛЕН (1-бутилен) або |
2F |
X |
X |
X |
X |
10 |
10 |
0,53 |
||||||
|
БУТИЛЕН (цис-2-бутилен) або |
2F |
X |
X |
X |
X |
10 |
10 |
0,55 |
||||||
|
БУТИЛЕН (транс-2-бутилен) |
2F |
X |
X |
X |
X |
10 |
10 |
0,54 |
||||||
|
ВУГЛЕЦЮ ДІОКСИД |
2A |
X |
X |
X |
X |
10 |
190 |
0,68 |
ra, ua, va |
|||||
|
250 |
0,76 |
ra, ua, va |
||||||||||||
|
ХЛОР |
2TOC |
293 |
X |
X |
X |
X |
5 |
22 |
1,25 |
a, ra |
||||
|
ХЛОРДИФТОРМЕТАН (ГАЗ РЕФРИЖЕРАТОРНИЙ R 22) |
2A |
X |
X |
X |
X |
10 |
27 |
1,03 |
ra |
|||||
|
ХЛОРПЕНТАФТОРЕТАН (ГАЗ РЕФРИЖЕРАТОРНИЙ R 115) |
2A |
X |
X |
X |
X |
10 |
25 |
1,05 |
ra |
|||||
|
ХЛОР-1,2,2,2- ТЕТРАФТОРЕТАН (ГАЗ РЕФРИЖЕРАТОРНИЙ R 124) |
2A |
X |
X |
X |
X |
10 |
11 |
1,20 |
ra |
|||||
|
ХЛОРТРИФТОРМЕТАН (ГАЗ РЕФРИЖЕРАТОРНИЙ R 13) |
2A |
X |
X |
X |
X |
10 |
100 |
0,83 |
ra |
|||||
|
120 |
0,90 |
ra |
||||||||||||
|
190 |
1,04 |
ra |
||||||||||||
|
250 |
1,11 |
ra |
||||||||||||
|
ЦІАН |
2TF |
350 |
X |
X |
X |
X |
5 |
100 |
0,70 |
ra, u |
||||
|
ЦИКЛОПРОПАН |
2F |
X |
X |
X |
X |
10 |
18 |
0,55 |
ra |
|||||
|
ДИХЛОРДИФТОРМЕТАН (ГАЗ РЕФРИЖЕРАТОРНИЙ R 12) |
2A |
X |
X |
X |
X |
10 |
16 |
1,15 |
ra |
|||||
|
ДИХЛОРФТОРМЕТАН (ГАЗ РЕФРИЖЕРАТОРНИЙ R 21) |
2A |
X |
X |
X |
X |
10 |
10 |
1,23 |
ra |
|||||
|
1,1-ДИФТОРЕТАН (ГАЗ РЕФРИЖЕРАТОРНИЙ R 152a) |
2F |
X |
X |
X |
X |
10 |
16 |
0,79 |
ra |
|||||
|
ДИМЕТИЛАМІН БЕЗВОДНИЙ |
2F |
X |
X |
X |
X |
10 |
10 |
0,59 |
b, ra |
|||||
|
ЕФІР ДИМЕТИЛОВИЙ |
2F |
X |
X |
X |
X |
10 |
18 |
0,58 |
ra |
|||||
|
ЕТАН |
2F |
X |
X |
X |
X |
10 |
95 |
0,25 |
ra |
|||||
|
120 |
0,30 |
ra |
||||||||||||
|
300 |
0,40 |
ra |
||||||||||||
|
ЕТИЛАМІН |
2F |
X |
X |
X |
X |
10 |
10 |
0,61 |
b, ra |
|||||
|
ЕТИЛХЛОРИД |
2F |
X |
X |
X |
X |
10 |
10 |
0,80 |
a, ra |
|||||
|
ЕФІР ЕТИЛМЕТИЛОВИЙ |
2F |
X |
X |
X |
X |
10 |
10 |
0,64 |
ra |
|||||
|
ЕТИЛЕНУ ОКСИД або ЕТИЛЕНУ ОКСИД З АЗОТОМ при загальному тиску до 1 MПa (10 бар) і температурі 50 °C |
2TF |
2900 |
X |
X |
X |
X |
5 |
15 |
0,78 |
l, ra |
||||
|
ЕТИЛЕНУ ОКСИДУ Й ВУГЛЕЦЮ ДІОКСИДУ СУМІШ, що містить більше 9%, але не більше 87% етилену оксиду |
2F |
X |
X |
X |
X |
10 |
190 |
0,66 |
ra |
|||||
|
250 |
0,75 |
ra |
||||||||||||
|
ДОБРИВА АМІАЧНОГО РОЗЧИН, що містить вільний аміак |
4A |
X |
X |
X |
5 |
b, z |
||||||||
|
ВОДЕНЬ БРОМИСТИЙ БЕЗВОДНИЙ |
2TC |
2860 |
X |
X |
X |
X |
5 |
60 |
1,51 |
a, d, ra |
||||
|
ВОДЕНЬ ХЛОРИСТИЙ БЕЗВОДНИЙ |
2TC |
2810 |
X |
X |
X |
X |
5 |
100 |
0,30 |
a, d, ra |
||||
|
120 |
0,56 |
a, d, ra |
||||||||||||
|
150 |
0,67 |
a, d, ra |
||||||||||||
|
200 |
0,74 |
a, d, ra |
||||||||||||
|
СІРКОВОДЕНЬ |
2TF |
712 |
X |
X |
X |
X |
5 |
48 |
0,67 |
d, ra, u |
||||
|
ІЗОБУТИЛЕН |
2F |
X |
X |
X |
X |
10 |
10 |
0,52 |
ra |
|||||
|
ГАЗИ СКРАПЛЕНІ, незаймисті, що містять азот, вуглецю діоксид або повітря |
2A |
X |
X |
X |
X |
10 |
ra, z |
|||||||
|
МЕТИЛАЦЕТИЛЕНУ Й ПРОПАДІЄНУ СУМІШ СТАБІЛІЗОВАНА |
2F |
X |
X |
X |
X |
10 |
c, ra, z |
|||||||
|
Пропадієн зі вмістом метилацетилену від 1% до 4% |
2F |
X |
X |
X |
X |
10 |
22 |
0,52 |
c, ra |
|||||
|
Суміш Р1 |
2F |
X |
X |
X |
X |
10 |
30 |
0,49 |
c, ra |
|||||
|
Суміш Р2 |
2F |
X |
X |
X |
X |
10 |
24 |
0,47 |
c, ra |
|||||
|
МЕТИЛАМІН БЕЗВОДНИЙ |
2F |
X |
X |
X |
X |
10 |
13 |
0,58 |
b, ra |
|||||
|
МЕТИЛ БРОБІД зі вмістом не більше 2% хлорпікрину |
2T |
850 |
X |
X |
X |
X |
5 |
10 |
1,51 |
a |
||||
|
МЕТИЛХЛОРИД (ГАЗ РЕФРИЖЕРАТОРНИЙ R 40) |
2F |
X |
X |
X |
X |
10 |
17 |
0,81 |
a, ra |
|||||
|
МЕТИЛМЕРКАПТАН |
2TF |
1350 |
X |
X |
X |
X |
5 |
10 |
0,78 |
d, ra, u |
||||
|
ДІАЗОТУ ТЕТРАОКСИД (АЗОТУ ДІОКСИД) |
2TOC |
115 |
X |
X |
X |
5 |
10 |
1,30 |
k |
|||||
|
НІТРОЗИЛХЛОРИД |
2TC |
35 |
X |
X |
5 |
13 |
1,10 |
k, ra |
||||||
|
АЗОТУ ГЕМІОКСИД |
2O |
X |
X |
X |
X |
10 |
180 |
0,68 |
ua, va |
|||||
|
225 |
0,74 |
ua, va |
||||||||||||
|
250 |
0,75 |
ua, va |
||||||||||||
|
ГАЗИ НАФТОВІ СКРАПЛЕНІ |
2F |
X |
X |
X |
X |
10 |
v, z |
|||||||
|
ФОСГЕН |
2TC |
5 |
X |
X |
X |
5 |
20 |
1,23 |
a, k, ra |
|||||
|
ПРОПІЛ |
2F |
X |
X |
X |
X |
10 |
27 |
0,43 |
ra |
|||||
|
ГАЗ РЕФРИЖЕРАТОРНИЙ, Н.З.К. |
2A |
X |
X |
X |
X |
10 |
ra, z |
|||||||
|
Суміш F1 |
2A |
X |
X |
X |
X |
10 |
12 |
1,23 |
||||||
|
Суміш F2 |
2A |
X |
X |
X |
X |
10 |
18 |
1,15 |
||||||
|
Суміш F3 |
2A |
X |
X |
X |
X |
10 |
29 |
1,03 |
||||||
|
СІРКИ ДІОКСИД |
2TC |
2520 |
X |
X |
X |
X |
5 |
12 |
1,23 |
ra |
||||
|
СІРКИ ГЕКСАФТОРИД |
2A |
X |
X |
X |
X |
10 |
70 |
1,06 |
ra, ua, va |
|||||
|
140 |
1,34 |
ra, ua, va |
||||||||||||
|
160 |
1,38 |
ra, ua, va |
||||||||||||
|
ТЕТРАФТОРЕТИЛЕН СТАБІЛІЗОВАНИЙ |
2F |
X |
X |
X |
X |
10 |
200 |
m, o, ra |
||||||
|
ТРИФТОРХЛОРЕТИЛЕН СТАБІЛІЗОВАНИЙ (ГАЗ РЕФРИЖЕРАТОРНИЙ R 1113) |
2TF |
2000 |
X |
X |
X |
X |
5 |
19 |
1,13 |
ra, u |
||||
|
ТРИМЕТИЛАМІН БЕЗВОДНИЙ |
2F |
X |
X |
X |
X |
10 |
10 |
0,56 |
b, ra |
|||||
|
ВІНІЛБРОМІД СТАБІЛІЗОВАНИЙ |
2F |
X |
X |
X |
X |
10 |
10 |
1,37 |
a, ra |
|||||
|
ВІНІЛХЛОРИД СТАБІЛІЗОВАНИЙ |
2F |
X |
X |
X |
X |
10 |
12 |
0,81 |
a, ra |
|||||
|
ЕФІР ВІНІЛМЕТИЛОВИЙ СТАБІЛІЗОВАНИЙ |
2F |
X |
X |
X |
X |
10 |
10 |
0,67 |
ra |
|||||
|
ХЛОРПІКРИНУ Й МЕТИЛБРОМІДУ СУМІШ, що містить більше 2% хлорпікрину |
2T |
850 |
X |
X |
X |
X |
5 |
10 |
1,51 |
a |
||||
|
ХЛОРПІКРИНУ Й МЕТИЛХЛОРИДУ СУМІШ |
2T |
d |
X |
X |
X |
X |
5 |
17 |
0,81 |
a |
||||
|
ХЛОРЦІАН СТАБІЛІЗОВАНИЙ |
2TC |
80 |
X |
X |
5 |
20 |
1,03 |
k |
||||||
|
БОРУ ТРИХЛОРИД |
2TC |
2541 |
X |
X |
X |
X |
5 |
10 |
1,19 |
a, ra |
||||
|
ХЛОРУ АТРИФТОРИД |
2TOC |
299 |
X |
X |
X |
X |
5 |
30 |
1,40 |
a |
||||
|
ГЕКСАФТОРПРОПИЛЕН (ГАЗ РЕФРИЖЕРАТОРНИЙ R 1216) |
2A |
X |
X |
X |
X |
10 |
22 |
1,11 |
ra |
|||||
|
КРЕМНІЮ ТЕТРАФТОРИД |
2TC |
922 |
X |
X |
X |
X |
5 |
200 |
0,74 |
a |
||||
|
300 |
1,10 |
а |
||||||||||||
|
ВІНІЛФТОРИД СТАБІЛІЗОВАНИЙ |
2F |
X |
X |
X |
X |
10 |
250 |
0,64 |
a, ra |
|||||
|
ДИБОРАН |
2TF |
80 |
X |
X |
5 |
250 |
0,07 |
d, k, o |
||||||
|
МЕТИЛХЛОРИДУ Й МЕТИЛЕНХЛОРИДУ СУМІШ |
2F |
X |
X |
X |
X |
10 |
17 |
0,81 |
a, ra |
|||||
|
ЕТИЛЕНУ ОКСИДУ Й ВУГЛЕЦЮ ДІОКСИДУ СУМІШ, що містить не більше 9% етилену оксиду |
2A |
X |
X |
X |
X |
10 |
190 |
0,66 |
ra |
|||||
|
250 |
0,75 |
ra |
||||||||||||
|
1,2-ДИХЛОР-1,1,2,2-ТЕТРАФРОТЕТАН (ГАЗ РЕФРИЖЕРАТОРНИЙ R 114) |
2A |
X |
X |
X |
X |
10 |
10 |
1,30 |
ra |
|||||
|
1,1-ДИФТОРЕТИЛЕН (ГАЗ РЕФРИЖЕРАТОРНИЙ R 1132a) |
2F |
X |
X |
X |
X |
10 |
250 |
0,77 |
ra |
|||||
|
ЕТИЛЕН |
2F |
X |
X |
X |
X |
10 |
225 |
0,34 |
||||||
|
300 |
0,38 |
|||||||||||||
|
ГАЗІВ ВУГЛЕВОДНЕВИХ СУМІШ СКРАПЛЕНА, Н.З.К. |
2F |
X |
X |
X |
X |
10 |
b |
ra, ta, v, z |
||||||
|
Суміш A |
2F |
10 |
10 |
0,50 |
||||||||||
|
Суміш A01 |
2F |
10 |
15 |
0,49 |
||||||||||
|
Суміш A02 |
2F |
10 |
15 |
0,48 |
||||||||||
|
Суміш A0 |
2F |
10 |
15 |
0,47 |
||||||||||
|
Суміш A1 |
2F |
10 |
20 |
0,46 |
||||||||||
|
Суміш B1 |
2F |
10 |
25 |
0,45 |
||||||||||
|
Суміш B2 |
2F |
10 |
25 |
0,44 |
||||||||||
|
Суміш B |
2F |
10 |
25 |
0,43 |
||||||||||
|
Суміш C |
2F |
10 |
30 |
0,42 |
||||||||||
|
ГАЗ ІНСЕКТИЦИДНИЙ ТОКСИЧНИЙ, Н.З.К. |
2T |
X |
X |
X |
X |
5 |
z |
|||||||
|
ГАЗ ІНСЕКТИЦИДНИЙ, Н.З.К. |
2A |
X |
X |
X |
X |
10 |
ra, z |
|||||||
|
ІЗОБУТАН |
2F |
X |
X |
X |
X |
10 |
10 |
0,49 |
ra, v |
|||||
|
ХЛОРДИФТОРМЕТАНУ Й ХЛОРПЕНТАФТОРЕТАНУ СУМІШ із постійною температурою кипіння, що містить близько 49% хлордифторметану (ГАЗ РЕФРИЖЕРАТОРНИЙ R 502) |
2A |
X |
X |
X |
X |
10 |
31 |
1,01 |
ra |
|||||
|
ХЛОРДИФТОРБРОММЕТАН (ГАЗ РЕФРИЖЕРАТОРНИЙ R 12B1) |
2A |
X |
X |
X |
X |
10 |
10 |
1,61 |
ra |
|||||
|
АЗОТУ ОКСИДУ Й ДІАЗОТУ ТЕТРАОКСИДУ СУМІШ (АЗОТУ ОКСИДУ Й АЗОТУ ДІОКСИДУ СУМІШ) |
2TOC |
115 |
X |
X |
X |
5 |
k, z |
|||||||
|
ОКТАФТОРЦИКЛОБУТАН (ГАЗ РЕФРИЖЕРАТОРНИЙ RC 318) |
2.A |
X |
X |
X |
X |
10 |
11 |
1,32 |
ra |
|||||
|
ПРОПАН |
2F |
X |
X |
X |
X |
10 |
23 |
0,43 |
ra, v |
|||||
|
ТЕТРАФТОРМЕТАН (ГАЗ РЕФРИЖЕРАТОРНИЙ R 14) |
2A |
X |
X |
X |
X |
10 |
200 |
0,71 |
||||||
|
300 |
0,90 |
|||||||||||||
|
ХЛОР-2,2,2-ТРИФТОРЕТАН (ГАЗ РЕФРИЖЕРАТОРНИЙ R 133a) |
2A |
X |
X |
X |
X |
10 |
10 |
1,18 |
ra |
|||||
|
ТРИФТОРМЕТАН (ГАЗ РЕФРИЖЕРАТОРНИЙ R 23) |
2A |
X |
X |
X |
X |
10 |
190 |
0,88 |
ra |
|||||
|
250 |
0,96 |
ra |
||||||||||||
|
1,1,1-ТРИФТОРЕТАН (ГАЗ РЕФРИЖЕРАТОРНИЙ R 143a) |
2F |
X |
X |
X |
X |
10 |
35 |
0,73 |
ra |
|||||
|
КСЕНОН |
2A |
X |
X |
X |
X |
10 |
130 |
1,28 |
||||||
|
2,2-ДИМЕТИЛПРОПАН |
2F |
X |
X |
X |
X |
10 |
10 |
0,53 |
ra |
|||||
|
АМІАКУ РОЗЧИН у воді з відносною щільністю менше 0,880 при температурі 15 °C |
4A |
|||||||||||||
|
з масовою часткою аміаку більше 35%, але не більше 40% |
4A |
X |
X |
X |
X |
5 |
10 |
0,80 |
b |
|||||
|
з масовою часткою аміаку більше 40%, але не більше 50% |
4A |
X |
X |
X |
X |
5 |
12 |
0,77 |
b |
|||||
|
АРСИН |
2TF |
178 |
X |
X |
5 |
42 |
1,10 |
d, k |
||||||
|
ДИХЛОРСИЛАН |
2TFC |
314 |
X |
X |
X |
X |
5 |
10 |
0,90 |
a |
||||
|
200 |
1,08 |
а |
||||||||||||
|
СУЛЬФУРИЛФТОРИД |
2T |
3020 |
X |
X |
X |
X |
5 |
50 |
1,10 |
u |
||||
|
ГЕРМАН c |
2TF |
620 |
X |
X |
X |
X |
5 |
250 |
0,064 |
d, ra, r, q |
||||
|
ГЕКСАФТОРЕТАН (ГАЗ РЕФРИЖЕРАТОРНИЙ R 116) |
2A |
X |
X |
X |
X |
10 |
200 |
1,13 |
||||||
|
СЕЛЕН ГЕКСАФТОРИД |
2TC |
50 |
X |
X |
5 |
36 |
1,46 |
k, ra |
||||||
|
ТЕЛУРУ ГЕКСАФТОРИД |
2TC |
25 |
X |
X |
5 |
20 |
1,00 |
k, ra |
||||||
|
ВОЛЬФРАМУ ГЕКСАФТОРД |
2TC |
218 |
X |
Х |
Х |
X |
5 |
10 |
3,08 |
a, ra |
||||
|
ВОДЕНЬ ЙОДИСТИЙ БЕЗВОДНИЙ |
2TC |
2860 |
X |
X |
X |
X |
5 |
23 |
2,25 |
a, d, ra |
||||
|
ФОСФОРУ ПЕНТАФТОРИД |
2TC |
261 |
X |
Х |
Х |
X |
5 |
200 |
0,90 |
|||||
|
300 |
1,25 |
|||||||||||||
|
ФОСФІН c |
2TF |
20 |
X |
X |
5 |
225 |
0,30 |
d, k, q, ra |
||||||
|
250 |
0,45 |
d, k, q, ra |
||||||||||||
|
ПРОПАДІЄН СТАБІЛІЗОВАНИЙ |
2F |
X |
X |
X |
X |
10 |
22 |
0,50 |
ra |
|||||
|
ВОДНЮ СЕЛЕНІД БЕЗВОДНИЙ |
2TF |
51 |
X |
X |
5 |
31 |
1,60 |
k |
||||||
|
СИЛАН c |
2F |
X |
X |
X |
X |
10 |
225 |
0,32 |
q |
|||||
|
250 |
0,36 |
q |
||||||||||||
|
КАРБОНІЛСУЛЬФІД |
2TF |
1700 |
X |
X |
X |
X |
5 |
30 |
0,87 |
ra, u |
||||
|
КАРБОНІЛФТОРИД |
2TC |
360 |
X |
X |
X |
X |
5 |
200 |
0,47 |
|||||
|
300 |
0,70 |
|||||||||||||
|
СІРКИ ТЕТРАФТОРИД |
2TC |
40 |
X |
X |
5 |
30 |
0,91 |
a, k, ra |
||||||
|
БРОМТРИФТОРЕТИЛЕН |
2F |
X |
X |
X |
X |
10 |
10 |
1,19 |
ra |
|||||
|
ГЕКСАФТОРАЦЕТОН |
2TC |
470 |
X |
X |
X |
X |
5 |
22 |
1,08 |
ra |
||||
|
АЗОТУ ТРИОКСИД |
2TOC |
ПЕРЕВЕЗЕННЯ ЗАБОРОНЕНО |
||||||||||||
|
ОКТАФТОРБУТЕН-2 (ГАЗ РЕФРИЖЕРАТОРНИЙ R 1318) |
2A |
X |
X |
X |
X |
10 |
12 |
1,34 |
ra |
|||||
|
ОКТАФТОРПРОПАН (ГАЗ РЕФРИЖЕРАТОРНИЙ R 218) |
2A |
X |
X |
X |
X |
10 |
25 |
1,04 |
ra |
|||||
|
АЗОТУ ТРИФТОРИД |
2O |
X |
X |
X |
X |
10 |
200 |
0,50 |
||||||
|
ЕТИЛАЦЕТИЛЕН СТАБІЛІЗОВАНИЙ |
2F |
X |
X |
X |
X |
10 |
10 |
0,57 |
c, ra |
|||||
|
ЕТИЛФТОРИД (ГАЗ РЕФРИЖЕРАТОРНИЙ R 161) |
2F |
X |
X |
X |
X |
10 |
30 |
0,57 |
ra |
|||||
|
МЕТИЛФТОРИД (ГАЗ РЕФРИЖЕРАТОРНИЙ R 41) |
2F |
X |
X |
X |
X |
10 |
300 |
0,63 |
ra |
|||||
|
МЕТИЛНІТРИТ |
2A |
ПЕРЕВЕЗЕННЯ ЗАБОРОНЕНО |
||||||||||||
|
1-ХЛОР-1,1-ДИФТОРЕТАН (ГАЗ РЕФРИЖЕРАТОРНИЙ R 142b) |
2F |
X |
X |
X |
X |
10 |
10 |
0,99 |
ra |
|||||
|
МЕТИЛХЛОРСИЛАН |
2TFC |
2810 |
X |
X |
X |
X |
5 |
ra, z |
||||||
|
ХЛОРУ ПЕНТАФТОРИД |
2TOC |
122 |
X |
X |
5 |
13 |
1,49 |
a, k |
||||||
|
ТРИФТОРХЛОРМЕТАНУ Й ТРИФТОРМЕТАНУ АЗЕОТРОПНА СУМІШ, що містить приблизно 60% трифторхлорметану (ГАЗ РЕФРИЖЕРАТОРНИЙ R 503) |
2A |
X |
X |
X |
X |
10 |
31 |
0,12 |
ra |
|||||
|
42 |
0,17 |
ra |
||||||||||||
|
100 |
0,64 |
ra |
||||||||||||
|
ЦИКЛОБУТАН |
2F |
X |
X |
X |
X |
10 |
10 |
0,63 |
ra |
|||||
|
ДИХЛОРДИФТОРМЕТАНУ Й ДИФТОРЕТАНУ АЗЕОТРОПНА СУМІШ, що містить близько 74% дихлордифторметану (ГАЗ РЕФРИЖЕРАТОРНИЙ R 500) |
2A |
X |
X |
X |
X |
10 |
22 |
1,01 |
ra |
|||||
|
СТИБІН |
2TF |
178 |
X |
X |
5 |
200 |
0,49 |
k, ra, r |
||||||
|
БРОМУ ХЛОРИД |
2TOC |
290 |
X |
X |
X |
X |
5 |
10 |
1,50 |
a |
||||
|
ТРИФТОРАЦЕТИЛХЛОРИД |
2TC |
10 |
X |
X |
X |
5 |
17 |
1,17 |
k, ra |
|||||
|
ЕТИЛЕНУ ОКСИДУ Й ДИХЛОРДИФТОРМЕТАНУ СУМІШ, що містить не більше 12,5% етилену оксиду |
2A |
X |
X |
X |
X |
10 |
18 |
1,09 |
ra |
|||||
|
ПЕРХЛОРИЛФТОРИД |
2TO |
770 |
X |
X |
X |
X |
5 |
33 |
1,21 |
u |
||||
|
ЕФІР ПЕРФТОР (МЕТИЛ-ВІНІЛОВИЙ) |
2F |
X |
X |
X |
X |
10 |
20 |
0,75 |
ra |
|||||
|
ЕФІР ПЕРФТОР (ЕТИЛ-ВІНІЛОВИЙ) |
2F |
X |
X |
X |
X |
10 |
10 |
0,98 |
ra |
|||||
|
ГАЗ СКРАПЛЕНИЙ ОКИСНЮВАЛЬНИЙ, Н.З.К. |
2O |
X |
X |
X |
X |
10 |
z |
|||||||
|
1,1,1,2-ТЕТРАФТОРЕТАН (ГАЗ РЕФРИЖЕРАТОРНИЙ R 134a) |
2A |
X |
X |
X |
X |
10 |
18 |
1,05 |
ra |
|||||
|
ГАЗ СКРАПЛЕНИЙ ТОКСИЧНИЙ ЗАЙМИСТИЙ, Н.З.К. |
2TF |
≤ 5000 |
X |
X |
X |
X |
5 |
ra, z |
||||||
|
ГАЗ СКРАПЛЕНИЙ ЗАЙМИСТИЙ, Н.З.К. |
2F |
X |
X |
X |
X |
10 |
ra, z |
|||||||
|
ГАЗ СКРАПЛЕНИЙ, ТОКСИЧНИЙ, Н.З.К. |
2T |
≤ 5000 |
X |
X |
X |
X |
5 |
z |
||||||
|
ГАЗ СКРАПЛЕНИЙ, Н.З.К. |
2A |
X |
X |
X |
X |
10 |
ra, z |
|||||||
|
ПЕНТАФТОРЕТАН (ГАЗ РЕФРИЖЕРАТОРНИЙ R 125) |
2A |
X |
X |
X |
X |
10 |
49 |
0,95 |
ra |
|||||
|
35 |
0,87 |
ra |
||||||||||||
|
ДИФТОРМЕТАН (ГАЗ РЕФРИЖЕРАТОРНИЙ R 32) |
2F |
X |
X |
X |
X |
10 |
48 |
0,78 |
ra |
|||||
|
ГЕПТАФТОРПРОПАН (ГАЗ РЕФРИЖЕРАТОРНИЙ R 227) |
2A |
X |
X |
X |
X |
10 |
13 |
1,21 |
ra |
|||||
|
ЕТИЛЕНУ ОКСИДУ Й ХЛОРТЕТРАФТОРЕТАНУ СУМІШ, що містить не більше 8,8% етилену оксиду |
2A |
X |
X |
X |
X |
10 |
10 |
1,16 |
ra |
|||||
|
ЕТИЛЕНУ ОКСИДУ Й ПЕНТАФТОРЕТАНУ СУМІШ, що містить не більше 7,9% етилену оксиду |
2A |
X |
X |
X |
X |
10 |
26 |
1,02 |
ra |
|||||
|
ЕТИЛЕНУ ОКСИДУ Й ТЕТРАФТОРЕТАНУ СУМІШ, що містить не більше 5,6% етилену оксиду |
2A |
X |
X |
X |
X |
10 |
17 |
1,03 |
ra |
|||||
|
ЕТИЛЕНУ ОКСИДУ Й ВУГЛЕЦЮ ДІОКСИДУ СУМІШ, що містить більше 87% етилену оксиду |
2TF |
Більш 2900 |
X |
X |
X |
X |
5 |
28 |
0,73 |
ra |
||||
|
ГАЗ СКРАПЛЕНИЙ ТОКСИЧНИЙ ОКИСНЮВАЛЬНИЙ, Н.З.К. |
2TO |
≤ 5000 |
X |
X |
X |
X |
5 |
z |
||||||
|
ГАЗ СКРАПЛЕНИЙ ТОКСИЧНИЙ КОРОЗІЙНИЙ, Н.З.К. |
2TC |
≤ 5000 |
X |
X |
X |
X |
5 |
ra, z |
||||||
|
ГАЗ СКРАПЛЕНИЙ ТОКСИЧНИЙ ЗАЙМИСТИЙ КОРОЗІЙНИЙ, Н.З.К. |
2TFC |
≤ 5000 |
X |
X |
X |
X |
5 |
ra, z |
||||||
|
ГАЗ СКРАПЛЕНИЙ ТОКСИЧНИЙ ОКИСНЮВАЛЬНИЙ КОРОЗІЙНИЙ, Н.З.К. |
2TOC |
≤ 5000 |
X |
X |
X |
X |
5 |
z |
||||||
|
АМІАКУ РОЗЧИН у воді з відносною щільністю менше 0,880 при температурі 15 °C, що містить більше 50% аміаку |
4TC |
X |
X |
X |
X |
5 |
b |
|||||||
|
ГАЗ РЕФРИЖЕРАТОРНИЙ R 404A (Пентафторетану, 1,1,1‑трифторетану й 1,1,1,2‑тетрафторетану зеотропна суміш із приблизно 44% пентафторетану й 52% 1,1,1‑трифторетану) |
2A |
X |
X |
X |
X |
10 |
36 |
0,82 |
ra |
|||||
|
ГАЗ РЕФРИЖЕРАТОРНИЙ R 407A (Дифторметану, пентафторетану й 1,1,1,2‑тетрафторетану зеотропна суміш із приблизно 20% дифторметану й 40% пентафторетану) |
2A |
X |
X |
X |
X |
10 |
32 |
0,94 |
ra |
|||||
|
ГАЗ РЕФРИЖЕРАТОРНИЙ R 407B (Дифторметану, пентафторетану й 1,1,1,2‑тетрафторетану зеотропна суміш із приблизно 10% дифторметану й 70% пентафторетану) |
2A |
X |
X |
X |
X |
10 |
33 |
0,93 |
ra |
|||||
|
ГАЗ РЕФРИЖЕРАТОРНИЙ R 407C (Дифторметану, пентафторетану й 1,1,1,2‑тетрафторетану зеотропна суміш із приблизно 23% дифторметану й 25% пентафторетану) |
2A |
X |
X |
X |
X |
10 |
30 |
0,95 |
ra |
|||||
|
ГАЗ ІНСЕКТИЦИДНИЙ ЗАЙМИСТИЙ, Н.З.К. |
2F |
X |
X |
X |
X |
10 |
ra, z |
|||||||
|
ГАЗ ІНСЕКТИЦИДНИЙ ТОКСИЧНИЙ ЗАЙМИСТИЙ, Н.З.К. |
2TF |
X |
X |
X |
X |
5 |
ra, z |
|||||||
|
АЦЕТИЛЕН НЕРОЗЧИНЕНИЙ |
2F |
X |
X |
5 |
60 |
c, p |
||||||||
а Не поширюється на посудини під тиском з композитних матеріалів.
b Для сумішей газів з № ООН 1965 максимально припустима маса наповнення на літр місткості є наступною:
Комерційний пропан |
Комерційний бутан |
|
Мінімально припустима маса вмісту на літр місткості |
![]() |
|
Щільність при 50 °C, | ||
с Уважається пірофорним.
d Уважається токсичним. Величину ЛК50 ще має бути встановлено.
|
P200 |
ІНСТРУКЦІЯ З УПАКУВАННЯ (продовж.) |
P200 |
||||||||||
|
Таблиця 3. РЕЧОВИНИ, ЩО НЕ ВІДНОСЯТЬСЯ ДО КЛАСУ 2 |
||||||||||||
|
№ ООН |
Найменування й опис |
Клас |
Класифікаційний код |
ЛК50, мл/м3 |
Балони |
Трубки |
Барабани під тиском |
В’язки балонів |
Періодичність випробувань, років а |
Випробувальний тиск, бар |
Коефіцієнт наповнення |
Спеціальні положення з упакування |
|
ВОДЕНЬ ЦІАНИСТИЙ СТАБІЛІЗОВАНИЙ, що містить менше 3% води |
6.1 |
TF1 |
40 |
X |
X |
5 |
100 |
0,55 |
k |
|||
|
ВОДЕНЬ ФТОРИСТИЙ БЕЗВОДНИЙ |
8 |
CT1 |
1307 |
X |
X |
X |
5 |
10 |
0,84 |
a, ab, ac |
||
|
БРОМУ ПЕНТАФТОРИД |
5.1 |
OTC |
25 |
X |
X |
X |
5 |
10 |
b |
k, ab, ad |
||
|
БРОМУ ТРИФТОРИД |
5.1 |
OTC |
50 |
X |
X |
X |
5 |
10 |
b |
k, ab, ad |
||
|
ЙОДУ ПЕНТАФТОРИД |
5.1 |
OTC |
120 |
X |
X |
X |
5 |
10 |
b |
k, ab, ad |
||
a Не поширюється на посудини під тиском з композитних матеріалів.
b Незаповнений об’єм повинен становити не менше 8%.
|
P201 |
ІНСТРУКЦІЯ З УПАКУВАННЯ |
P201 |
|
Дозволяється використовувати наступну тару: |
||
|
(1) Балони, трубки й барабани під тиском, що відповідають вимогам відносно конструкції, випробувань і наповнення, затверджені компетентним органом. |
||
|
(2) За умови дотримання загальних положень розділів 4.1.1 і 4.1.3 наступну комбіновану тару: Зовнішня тара: барабани (1A1, 1A2, 1B1, 1B2, 1N1, 1N2, 1H1, 1H2, 1D, 1G); ящики (4A, 4B, 4N, 4C1, 4C2, 4D, 4F, 4G, 4H1, 4H2); каністри (3A1, 3A2, 3B1, 3B2, 3H1, 3H2). |
||
|
Внутрішня тара: a) для нетоксичних газів: внутрішня тара, що герметично закривається, зі скла або металу максимальною місткістю 5 л на упаковку; b) для токсичних газів: внутрішня тара, що герметично закривається, зі скла або металу максимальною місткістю 1 л на упаковку. |
||
|
Тара повинна відповідати експлуатаційним вимогам для групи упакування III. |
||
|
P202 ІНСТРУКЦІЯ З УПАКУВАННЯ P202 |
|
(Зарезервовано) |
|
P203 ІНСТРУКЦІЯ З УПАКУВАННЯ P203 |
|
Ця інструкція застосовується до охолоджених скраплених газів класу 2. |
|
Вимоги до закритих криогенних посудин: (1) Повинні дотримуватися спеціальні положення з упакування, викладені в розділі 4.1.6. (2) Повинні виконуватися вимоги глави 6.2. (3) Закриті криогенні посудини повинні ізолюватися таким чином, щоб вони не покривалися інеєм. (4) Випробувальний тиск Охолоджені рідини повинні завантажуватися в закриті криогенні посудини, що мають наступний мінімальний випробувальний тиск: а) для закритих криогенних посудин з вакуумною ізоляцією випробувальний тиск повинен становити не менше 1,3 максимального внутрішнього тиску наповненої посудини, у тому числі під час наповнення й спорожнювання, збільшеного на 100 кПа (1 бар); b) для інших закритих криогенних посудин випробувальний тиск повинен становити не менше 1,3 максимального внутрішнього тиску наповненої посудини, з урахуванням тиску, що виникає під час наповнення й спорожнювання. (5) Ступінь наповнення Для незаймистих, нетоксичних охолоджених скраплених газів (класифікаційні коди 3А і 3О) об’єм рідкої фази при температурі наповнення й при тиску 100 кПа (1 бар) не повинен перевищувати 98% місткості посудини під тиском по воді. Для займистих охолоджених скраплених газів (класифікаційний код 3F) ступінь наповнення повинен залишатися нижче рівня, при якому − якщо вміст досягне температури, при якій тиск насичених пар дорівнюватиме тиску спрацьовування запобіжного клапана, − об’єм рідкої фази досяг би 98% місткості посудини по воді при цій температурі. (6) Пристрої для скидання тиску Закриті криогенні посудини повинні бути обладнані щонайменше одним пристроєм для скидання тиску. (7) Сумісність Матеріали, використовувані для забезпечення герметичності сполук або для догляду за запірною арматурою, повинні бути сумісні із умістом посудин. У випадку посудин, призначених для перевезення окиснювальних газів (класифікаційний код 3О), ці матеріали не повинні вступати з даними газами в небезпечну реакцію. (8) Періодична перевірка a) Періодичність проведення періодичних перевірок і випробувань клапанів скидання тиску відповідно до пункту 6.2.1.6.3 не повинна перевищувати п’яти років. b) Періодичність проведення періодичних перевірок і випробувань закритих криогенних посудин, крім посудин «UN», відповідно до пункту 6.2.3.5.2 не повинна перевищувати 10 років. Вимоги до відкритих криогенних посудин: У відкритих криогенних посудинах дозволяється перевози тільки наступні скраплені неокислювальні гази охолоджені, з класифікаційним кодом 3А: № ООН 1913, 1951, 1963, 1970, 1977, 2591, 3136. Відкриті криогенні посудини повинні бути виготовлені з дотриманням наступних вимог: (1) Посудини повинні бути спроектовані, виготовлені, випробувані й обладнані таким чином, щоб витримувати будь-які навантаження, включаючи втому, яких вони будуть зазнавати в нормальних умовах використання й перевезення. (2) Місткість посудин не повинна перевищувати 450 літрів. (3) Посудина повинна мати подвійні стінки, при цьому із простору між внутрішньою й зовнішньою стінками має бути відкачано повітря (вакуумна ізоляція). Ізоляція повинна запобігати утворенню інею на зовнішній поверхні посудини. (4) Матеріали, з яких виготовляється посудина, повинні мати належні механічні властивості при робочій температурі. (5) Матеріали, що перебувають у безпосередньому контакті з небезпечними вантажами, не повинні піддаватися впливу небезпечних вантажів, що підлягають перевезенню, або втрачати свою міцність у результаті такого впливу й не повинні викликати небезпечних ефектів, наприклад, каталізувати реакцію або вступати в реакцію з небезпечними вантажами. (6) Скляні посудини з подвійними стінками повинні поміщатися в зовнішню тару й обкладатися придатним прокладним або абсорбувальним матеріалом, здатним витримувати тиск і удари, які можуть виникати в нормальних умовах перевезення. (7) Посудина має бути сконструйована таким чином, щоб вона залишалася у вертикальному положенні під час перевезення, наприклад, мати основу, найменший горизонтальний розмір якої більше висоти центру ваги, коли посудина наповнена до її місткості, або повинна встановлюватися в карданному підвісі. (8) Отвори посудин повинні бути оснащені пристроями, що забезпечують випуск газів, що перешкоджають розплескуванню рідини й установлені таким чином, щоб вони залишалися у відповідному положенні під час перевезення. (9) На відкриті криогенні посудини повинні бути нанесені на весь строк їх експлуатації, наприклад повинні бути видавлені, вигравірувані або витравлені, наступні маркувальні знаки: – найменування й адреса виробника; – номер або найменування зразка; – серійний номер або номер партії; – номер ООН і належне відвантажувальне найменування газів, для яких призначена посудина; – місткість посудини в літрах. |
|
P204 ІНСТРУКЦІЯ З УПАКУВАННЯ P204 |
|
(Виключено) |
|
P205 ІНСТРУКЦІЯ З УПАКУВАННЯ P205 |
|
Ця інструкція застосовується до № ООН 3468. |
|
(1) Для систем зберігання на основі металгідридів повинні дотримуватися спеціальні положення з упакування, викладені в розділі 4.1.6. (2) Ця інструкція з упакування поширюється тільки на посудини під тиском, що мають місткість по воді не більше 150 літрів і максимальний тиск, що розвивається, не більше 25 MПa. (3) Системи зберігання на основі металгідридів, що задовольняють застосовним вимогам глави 6.2 щодо конструкції й випробувань посудин під тиском, що містять газ, дозволяється використовувати тільки для перевезення водню. (4) Якщо використовуються сталеві посудини під тиском або складені посудини під тиском зі сталевими вкладишами, то повинні використовуватися тільки ті з них, на яких є маркувальний знак «H» відповідно до пункту 6.2.2.9.2 j). (5) Системи зберігання на основі металгідридів повинні відповідати вимогам, що стосуються умов експлуатації, конструкційних критеріїв, номінальної місткості, випробувань за типом конструкції, випробувань партій, поточних випробувань, випробувального тиску, номінального тиску зарядки, а також положенням, що стосуються пристроїв для скидання тиску для переносних систем зберігання на основі металгідридів, передбачених у стандарті ISO 16111:2008 або ISO 16111:2018 (Переносні ємності для зберігання газу – Водень, що поглинається оборотним гідридом металу), і їх відповідність і затвердження повинні оцінюватися згідно з положеннями підрозділу 6.2.2.5. (6) Системи зберігання на основі металгідридів повинні заповнюватися воднем при тиску, що не перевищує номінальний тиск зарядки, зазначений на довговічному маркувальному знаку на системі, як передбачено стандартом ISO 16111:2008 або ISO 16111:2018. (7) Вимоги відносно періодичних випробувань системи зберігання на основі металгідридів повинні відповідати стандарту ISO 16111:2008 або ISO 16111:2018, і ці випробування повинні проводитися відповідно до положень підрозділу 6.2.2.6, а проміжок часу між періодичними перевірками не повинен перевищувати п’яти років. Див. підрозділ 6.2.2.4 для визначення того, який стандарт застосовується в момент проведення періодичної перевірки й випробування. |
|
P206 ІНСТРУКЦІЯ З УПАКУВАННЯ P206 |
|
Ця інструкція застосовується до № ООН 3500, 3501, 3502, 3503, 3504 і 3505. |
|
Якщо в ДОПНВ не зазначено інше, дозволяється використовувати балони й барабани під тиском, що відповідають застосовним вимогм глави 6.2. (1) Повинні виконуватися спеціальні положення з упакування, викладені в розділі 4.1.6. (2) Максимальна періодичність випробувань, проведених у ході періодичної перевірки, становить 5 років. (3) Балони й барабани під тиском повинні наповнюватися таким чином, щоб при 50 °C негазова фаза не перевищувала 95% їх місткості по воді й щоб при 60 °C вони не були повністю наповнені. У наповненому стані внутрішній тиск при 65 °C не повинен бути вище випробувального тиску балонів і барабанів під тиском. Повинні враховуватися значення тиску пар і об’ємного розширення всіх речовин у балонах і барабанах під тиском. Для рідини, до якої доданий стиснений газ, обидва компонента – рідина й стиснений газ – повинні братися до уваги при розрахунках внутрішнього тиску в посудині під тиском. При відсутності експериментальних даних необхідно ужити наступних заходів: a) розрахунки тиску пар рідини й парціального тиску стисненого газу при температурі 15 °C (температура при наповненні); b) розрахунки об’ємного розширення рідкої фази в результаті нагрівання з 15 °C до 65 °C і розрахунки об’єму, що залишився, газоподібної фази; c) розрахунки парціального тиску стисненого газу при температурі 65 °C з урахуванням об’ємного розширення рідкої фази; ПРИМІТКА: Повинен ураховуватися коефіцієнт стисливості стисненого газу при температурах 15 °C і 65 °C. d) розрахунки тиску пар рідини при температурі 65 °C; e) загальний тиск є сумою тиску пар рідини й парціального тиску стисненого газу при температурі 65 °C; f) облік розчинності стисненого газу при температурі 65 °C у рідкій фазі. Випробувальний тиск балона або барабана під тиском не повинен бути менше розрахункового загального тиску за винятком 100 кПа (1бар). Якщо розчинність стисненого газу в рідкій фазі невідома для здійснення розрахунків, випробувальний тиск може бути розрахований без урахування розчинності газу (підпункт f)). (4) Мінімальний випробувальний тиск повинен відповідати інструкції з упакування P200 для газу-витиснювача, але повинен становити не менше 20 бар. |
|
Додаткова вимога: Балони й барабани під тиском не повинні передаватися для перевезення, якщо вони з’єднані з обладнанням для розпилення, таким як шланг і насадок. |
|
Спеціальні положення з упакування: PP89 Для № ООН 3501, 3502, 3503, 3504 і 3505: незважаючи на положення пункту 4.1.6.9 b), використовувані балони одноразового використання можуть мати місткість по воді в літрах, величина якої не перевищує частки від ділення 1 000 на випробувальний тиск, виражена в барах, за умови, що обмеження по місткості й тиску, передбачені стандартом на виготовлення, відповідають стандарту ISO 11118:1999, який обмежує максимальну місткість 50 літрами. PP97 Для вогнегасних сполук, віднесених до № ООН 3500, максимальна періодичність проведення випробувань у рамках періодичної перевірки становить 10 років. Вони можуть перевозитися в трубках максимальною місткістю 450 л по воді, відповідно до застосовних вимог глави 6.2. |
|
P207 ІНСТРУКЦІЯ З УПАКУВАННЯ P207 |
|
Ця інструкція застосовується до № ООН 1950. |
|
За умови дотримання загальних положень, викладених у розділах 4.1.1 і 4.1.3, дозволяється використовувати наступну тару: a) барабани (1A1, 1A2, 1B1, 1B2, 1N1, 1N2, 1H1, 1H2, 1D, 1G); ящики (4A, 4B, 4N, 4C1, 4C2, 4D, 4F, 4G, 4H1, 4H2). Тара повинна відповідати експлуатаційним вимогам для групи упакування II. b) тверду зовнішню тару, що має наступну максимальну масу нетто: фібровий картон 55 кг інший матеріал, крім фібрового картону 125 кг Не потрібне виконання положень пункту 4.1.1.3. Тара повинна бути сконструйована й виготовлена таким чином, щоб запобігати надмірному переміщенню аерозолів і випадковому спрацьовуванню в нормальних умовах перевезення. |
|
Спеціальне положення з упакування: |
|
PP87 Для № ООН 1950: у випадку відбракованих аерозолів, що перевозяться відповідно до спеціального положення 327, тара повинна бути оснащена засобом утримання будь-якої вільної рідини, яка може витекти під час перевезення, матеріалом, що наприклад абсорбує. Тара повинна відповідним чином вентилюватися з метою запобігання утворенню небезпечних середовищ або підвищенню тиску. |
|
Спеціальне положення з упакування, передбачене МПНВ і ДОПНВ: |
|
RR6 Для № ООН 1950: у випадку перевезення повним завантаженням металеві вироби можуть бути також упаковані в такий спосіб: вироби розміщаються блоками на підставках і закріплюються за допомогою плівкового покриття з відповідного полімерного матеріалу; такі блоки повинні укладатися один на одного й відповідним чином закріплюватися на піддонах. |
|
P208 |
ІНСТРУКЦІЯ З УПАКУВАННЯ |
P208 |
|
Ця інструкція застосовується до адсорбованих газів класу 2. |
||
|
(1) За умови дотримання загальних положень, викладених у підрозділі 4.1.6.1, дозволяється використовувати наступну тару: Балони, що зазначені в главі 6.2 і відповідають стандарту ISO 11513:2011, ISO 11513:2019, ISO 9809-1:2010 або ISO 9809-1:2019. (2) Тиск у кожному наповненому балоні повинен бути менше 101,3 кПа при 20 °C і менше 300 кПа при 50 °C. (3) Мінімальний випробувальний тиск балона повинен становити 21 бар. (4) Мінімальний розривний тиск балона повинен становити 94,5 бар. (5) Внутрішній тиск при 65 °C у наповненому балоні не повинен перевищувати випробувальний тиск балона. (6) Адсорбівний матеріал повинен бути сумісний з матеріалом балона й не повинен утворювати шкідливих або небезпечних сполук з адсорбованим газом. Газ у комбінації з адсорбівним матеріалом не повинен впливати на балон і знижувати його міцність або викликати небезпечну реакцію (наприклад, каталізувати реакцію). (7) Якість адсорбівного матеріалу має перевірятися при кожному наповненні з метою забезпечення виконання вимог, що стосуються тиску й хімічної стійкості, передбачених цією інструкцією з упакування, щоразу при пред’явленні упаковки з адсорбованим газом до перевезення. (8) Адсорбівний матеріал не повинен відповідати критеріям якого-небудь із класів, передбачених у ДОПНВ. (9) Вимоги до балонів і затворів, що містять токсичні гази, ЛК50 яких становить 200 мл/м3 (млн.−1) або менше (див. таблицю 1), є наступними: а) Випускні отвори вентилів повинні бути оснащені утримуючими тиск газонепроникними заглушками або ковпаками з різьбленням, параметри якого збігаються з параметрами різьблення випускних отворів вентилів. b) Кожний вентиль повинен бути або типу, що не ущільнюється, з суцільною діафрагмою або такого типу, який не допускав би просочування крізь ущільнення або в обхід нього. с) Кожний балон і затвор повинен перевірятися на витік після наповнення. d) Кожний вентиль має витримувати випробувальний тиск, якому піддається балон, і повинен кріпитися безпосередньо до балона або за допомогою конічного нарізного з’єднання або іншим способом, що відповідає вимогам стандарту ISO 10692-2:2001. е) Балони й вентилі не оснащуються пристроями для скидання тиску. (10) Випускні отвори вентилів балонів, що містять пірофорні гази, повинні бути оснащені газонепроникними заглушками або ковпаками з різьбленням, параметри якого збігаються з параметрами різьблення випускних отворів вентилів. (11) Порядок наповнення повинен відповідати вимогам додатка А до стандарту ISO 11513:2011 (застосовується до 31 грудня 2024 року) або додатка А до стандарту ISO 11513:2019. (12) Максимальна періодичність проведення періодичних перевірок повинна становити 5 років. (13) Спеціальні положення з упакування, що стосуються конкретної речовини (див. таблицю 1). Сумісність матеріалів a: Використання посудин з алюмінієвого сплаву не допускається. d: У випадку сталевих балонів дозволяється використовувати тільки ті балони, на які нанесена літера «H» відповідно до пункту 6.2.2.7.4 p). Положення по конкретних газах r: Коефіцієнт наповнення для цього газу повинен обмежуватися таким чином, щоб у випадку повного розкладання тиск не перевищував двох третин випробувального тиску балона. Сумісність матеріалів для позицій «Н.З.К.» для адсорбованих газів z: Конструкційні матеріали балонів і їх комплектуючих частин повинні бути сумісні із умістом і не вступати з ним у реакцію з утворенням шкідливих або небезпечних сполук. |
||
|
P208 |
ІНСТРУКЦІЯ З УПАКУВАННЯ (продовж.) |
P208 |
|||
|
Таблиця 1: АДСОРБОВАНІ ГАЗИ |
|||||
|
№ ООН |
Найменування й опис |
Класифіка-ційний код |
ЛК50, мл/м3 |
Спеціальні положення з упакування |
|
|
ГАЗ АДСОРБОВАНИЙ ЗАЙМИСТИЙ, Н.З.К. |
9F |
z |
|||
|
ГАЗ АДСОРБОВАНИЙ, Н.З.К. |
9A |
z |
|||
|
ГАЗ АДСОРБОВАНИЙ ТОКСИЧНИЙ, Н.З.К. |
9T |
≤ 5 000 |
z |
||
|
ГАЗ АДСОРБОВАНИЙ ОКИСНЮВАЛЬНИЙ, Н.З.К. |
9O |
z |
|||
|
ГАЗ АДСОРБОВАНИЙ ТОКСИЧНИЙ ЗАЙМИСТИЙ, Н.З.К. |
9TF |
≤ 5 000 |
z |
||
|
ГАЗ АДСОРБОВАНИЙ ТОКСИЧНИЙ ОКИСНЮВАЛЬНИЙ, Н.З.К. |
9TO |
≤ 5 000 |
z |
||
|
ГАЗ АДСОРБОВАНИЙ ТОКСИЧНИЙ КОРОЗІЙНИЙ, Н.З.К. |
9TC |
≤ 5 000 |
z |
||
|
ГАЗ АДСОРБОВАНИЙ ТОКСИЧНИЙ ЗАЙМИСТИЙ КОРОЗІЙНИЙ, Н.З.К. |
9TFC |
≤ 5 000 |
z |
||
|
ГАЗ АДСОРБОВАНИЙ ТОКСИЧНИЙ ОКИСНЮВАЛЬНИЙ КОРОЗІЙНИЙ, Н.З.К. |
9TOC |
≤ 5 000 |
z |
||
|
БОРУ ТРИФТОРИД АДСОРБОВАНИЙ |
9TC |
387 |
a |
||
|
ХЛОР АДСОРБОВАНИЙ |
9TOC |
293 |
a |
||
|
КРЕМНІЮ ТЕТРАФТОРИД АДСОРБОВАНИЙ |
9TC |
450 |
a |
||
|
АРСИН АДСОРБОВАНИЙ |
9TF |
20 |
d |
||
|
ГЕРМАН АДСОРБОВАНИЙ |
9TF |
620 |
d, r |
||
|
ФОСФОРУ ПЕНТАФТОРИД АДСОРБОВАНИЙ |
9TC |
190 |
|||
|
ФОСФІН АДСОРБОВАНИЙ |
9TF |
20 |
d |
||
|
ВОДНЮ СЕЛЕНІД АДСОРБОВАНИЙ |
9TF |
2 |
|||
|
P209 ІНСТРУКЦІЯ З УПАКУВАННЯ Р209 |
|
Ця інструкція застосовується до № ООН 3150 пристроям малим, що приводяться в дію вуглеводневим газом, або балони з вуглеводневим газом для малих пристроїв. |
|
(1) Повинні дотримуватися застосовні спеціальні положення з упакування, викладені в розділі 4.1.6. (2) Вироби повинні відповідати вимогам, що діють у країні, у якій вони були наповнені. (3) Пристрої й балони повинні впаковуватися в зовнішню тару, що відповідає вимогам розділу 6.1.4, випробувану й затверджену відповідно до положень розділу 6.1 для групи упакування II. |
|
P300 ІНСТРУКЦІЯ З УПАКУВАННЯ P300 |
|
Ця інструкція застосовується до № ООН 3064. |
|
За умови дотримання загальних положень, викладених у розділах 4.1.1 і 4.1.3, дозволяється використовувати наступну тару: Комбіновану тару, що складається із внутрішніх металевих банок місткістю не більше 1 літра кожна й зовнішніх дерев’яних ящиків (4C1, 4C2, 4D або 4F), що містять не більше 5 літрів розчину. |
|
Додаткові вимоги: 1. Металеві банки повинні бути повністю обкладені абсорбувальним прокладним матеріалом. 2. Дерев’яні ящики повинні мати суцільне внутрішнє покриття з придатного матеріалу, непроникного для води й нітрогліцерину. |
|
P301 ІНСТРУКЦІЯ З УПАКУВАННЯ P301 |
|
Ця інструкція застосовується до № ООН 3165. |
|
За умови дотримання загальних положень, викладених у розділах 4.1.1 і 4.1.3, дозволяється використовувати наступну тару: |
|
(1) Алюмінієва посудина під тиском, що виготовлена з труби й має приварені днища. Первинний засіб утримання палива в цій посудині повинен складатися зі звареної алюмінієвої камери максимальним внутрішнім об’ємом 46 літрів. Зовнішня посудина повинна витримувати мінімальний розрахунковий манометричний тиск 1 275 кПа й мінімальний манометричний тиск розриву 2 755 кПа. Кожна посудина повинна бути перевірена на витік у ході виробництва й до відправлення й повинна бути герметичною. Внутрішній блок у комплекті повинен бути надійно впакований у негорючий прокладний матеріал, такий як вермикуліт, і покладений у міцну герметично закриту зовнішню металеву тару, що забезпечує належний захист усіх фітингів. Максимальна кількість палива на первинний засіб утримання і упаковку становить 42 літра. (2) Алюмінієва посудина під тиском. Первинний засіб утримання палива в цій посудині повинен складатися зі звареного паронепроникного паливного відсіку з пружнометричною камерою максимальним внутрішнім об’ємом 46 літрів. Посудина під тиском має витримувати мінімальний розрахунковий манометричний тиск 2 860 кПа й мінімальний манометричний тиск розриву 5 170 кПа. Кожна посудина повинна бути перевірена на витік у ході виробництва й до відправлення й повинна бути надійно впакована у негорючий прокладний матеріал, такий як вермикуліт, і покладена у міцну герметично закриту зовнішню металеву тару, що забезпечує належний захист усіх фітингів. Максимальна кількість палива на первинний засіб утримання і упаковку становить 42 літра. |
|
P302 ІНСТРУКЦІЯ З УПАКУВАННЯ P302 |
|
Ця інструкція застосовується до № ООН 3269. |
|
За умови дотримання загальних положень розділів 4.1.1 і 4.1.3 дозволяється використовувати наступну комбіновану тару: Зовнішня тара: барабани (1A1, 1A2, 1B1, 1B2, 1N1, 1N2, 1H1, 1H2, 1D, 1G); ящики (4A, 4B, 4N, 4C1, 4C2, 4D, 4F, 4G, 4H1, 4H2); каністри (3A1, 3A2, 3B1, 3B2, 3H1, 3H2). Внутрішня тара: Максимальна кількість активатора (органічного пероксиду) повинна становити 125 мл на одиницю внутрішньої тари у випадку рідин і 500 г на одиницю внутрішньої тари у випадку твердої речовини. Базовий матеріал і активатор повинні бути впаковані окремо у внутрішню тару. Компоненти можуть бути поміщені в ту саму зовнішню тару за умови, що між ними не виникне небезпечної реакції у випадку витоку. Тара повинна відповідати експлуатаційним вимогам для групи упакування II або III відповідно до критеріїв для класу 3, застосовуваним до базового матеріалу. |
|
P400 ІНСТРУКЦІЯ З УПАКУВАННЯ P400 |
|
За умови дотримання загальних положень, викладених у розділах 4.1.1 і 4.1.3, дозволяється використовувати наступну тару: (1) Посудини під тиском, за умови дотримання загальних положень, викладених у підрозділі 4.1.3.6. Вони повинні виготовлятися зі сталі й пройти первинне випробування й кожні десять років періодичне випробування при тиску, що становить не менше 1 МПа (10 бар, манометричний тиск). Під час перевезення рідина повинна перебувати під шаром інертного газу при манометричному тиску не менше 20 кПа (0,2 бар). (2) Ящики (4A, 4B, 4N, 4C1, 4C2, 4D, 4F або 4G), барабани (1A1, 1A2, 1B1, 1B2, 1N1, 1N2, 1D або 1G) або каністри (3A1, 3A2, 3B1 або 3B2), у які поміщені герметично запечатані металеві банки із внутрішньою тарою зі скла або металу місткістю не більше 1 л кожна, оснащені затворами з ущільнювачами. Внутрішня тара повинна мати різьбові затвори або затвори, що фізично утримуються на місці за допомогою засобу, здатного запобігти ослабленню або відкриванню затвора від удару або вібрації в ході перевезення. Внутрішня тара повинна бути обкладена з усіх боків сухим абсорбувальним негорючим матеріалом у кількості, якої достатньо для поглинання всього вмісту. Внутрішня тара не повинна заповнюватися більше ніж на 90% її місткості. Максимальна маса нетто зовнішньої тари повинна становити 125 кг. (3) Сталеві, алюмінієві або інші металеві барабани (1A1, 1A2, 1B1, 1B2, 1N1 або 1N2), каністри (3A1, 3A2, 3B1 або 3B2) або ящики (4A, 4B або 4N) максимальною масою нетто 150 кг кожний(а) з герметично запечатаними внутрішніми металевими банками місткістю не більше 4 л кожна, оснащеними затворами з ущільнювачами. Внутрішня тара повинна мати різьбові затвори або затвори, що фізично утримуються на місці за допомогою засобу, здатного запобігти ослабленню або відкриванню затвора від удару або вібрації в ході перевезення.Внутрішня тара повинна бути обкладена з усіх боків сухим абсорбувальним негорючим матеріалом у кількості, якої достатньо для поглинання всього вмісту. На додаток до прокладного матеріалу кожний шар внутрішньої тари повинен бути відділений роздільною перегородкою. Внутрішня тара не повинна заповнюватися більше ніж на 90% її місткості. |
|
Спеціальне положення з упакування: PP86 Для № ООН 3392 і 3394: повітря повинно бути витиснуте з парового простору за допомогою азоту або шляхом застосування інших засобів. |
|
P401 ІНСТРУКЦІЯ З УПАКУВАННЯ P401 |
|
За умови дотримання загальних положень, викладених у розділах 4.1.1 і 4.1.3, дозволяється використовувати наступну тару: (1) Посудини під тиском, за умови дотримання загальних положень, викладених у підрозділі 4.1.3.6. Вони повинні виготовлятися зі сталі й пройти первинне випробування й кожні десять років періодичне випробування при тиску, що становить не менше 0,6 МПа (6 бар, манометричний тиск). Під час перевезення рідина повинна перебувати під шаром інертного газу при манометричному тиску не менше 20 кПа (0,2 бар). (2) Комбіновану тару: Зовнішня тара: барабани (1A1, 1A2, 1B1, 1B2, 1N1, 1N2, 1H1, 1H2, 1D, 1G); ящики (4A, 4B, 4N, 4C1, 4C2, 4D, 4F, 4G, 4H1, 4H2); каністри (3A1, 3A2, 3B1, 3B2, 3H1, 3H2). Внутрішня тара: зі скла, металу або пластмаси, яка має різьбові затвори, максимальною місткістю 1 літр. Кожна одиниця внутрішньої тари повинна бути обкладена інертним прокладним і абсорбувальним матеріалом у кількості, якої достатньо для поглинання всього вмісту. Максимальна маса нетто зовнішньої тари не повинна перевищувати 30 кг. |
|
Спеціальне положення з упакування, передбачене МПНВ і ДОПНВ: RR7 Для № ООН 1183, 1242, 1295 і 2988: посудини під тиском повинні, однак, проходити випробування кожні п’ять років. |
|
P402 ІНСТРУКЦІЯ З УПАКУВАННЯ P402 |
|
За умови дотримання загальних положень, викладених у розділах 4.1.1 і 4.1.3, дозволяється використовувати наступну тару: (1) Посудини під тиском, за умови дотримання загальних положень, викладених у підрозділі 4.1.3.6. Вони повинні виготовлятися зі сталі й проходити первинне випробування й кожні десять років періодичне випробування при тиску, що становить не менше 0,6 МПа (6 бар, манометричний тиск). Під час перевезення рідина повинна перебувати під шаром інертного газу при манометричному тиску не менше 20 кПа (0,2 бар). (2) Комбіновану тару: Зовнішня тара: барабани (1A1, 1A2, 1B1, 1B2, 1N1, 1N2, 1H1, 1H2, 1D, 1G); ящики (4A, 4B, 4N, 4C1, 4C2, 4D, 4F, 4G, 4H1, 4 H2); каністри (3A1, 3A2, 3B1, 3B2, 3H1, 3H2). Внутрішня тара наступною максимальною масою нетто: скляна 10 кг металева або пластмасова 15 кг Кожна одиниця внутрішньої тари повинна мати різьбові затвори. Кожна одиниця внутрішньої тари повинна бути обкладена інертним прокладним і абсорбувальним матеріалом у кількості, якої достатньо для поглинання всього вмісту. Максимальна маса нетто зовнішньої тари не повинна перевищувати 125 кг. (3) Сталеві барабани (1А1) максимальною місткістю 250 літрів. (4) Складену тару, що складається із пластмасової посудини в зовнішньому сталевому або алюмінієвому барабані (6НА1 або 6НВ1) максимальною місткістю 250 літрів. |
|
Спеціальні положення з упакування, передбачені МПНВ і ДОПНВ: RR4 Для № ООН 3130: отвори посудин повинні герметично закриватися за допомогою двох послідовно розташованих пристроїв, принаймні один з яких повинен загвинчуватися або закріплюватися настільки ж надійним способом. RR7 Для № ООН 3129: посудини під тиском повинні, однак, проходити випробування кожні п’ять років. RR8 Для № ООН 1389, 1391, 1411, 1421, 1928, 3129, 3130, 3148 і 3482: посудини під тиском повинні, однак, проходити первинне випробування й періодичні випробування при тиску не менше 1 МПа (10 бар). |
|
P403 ІНСТРУКЦІЯ З УПАКУВАННЯ P403 |
||
|
За умови дотримання загальних положень, викладених у розділах 4.1.1 і 4.1.3, дозволяється використовувати наступну тару: |
||
|
Комбінована тара: |
||
|
Внутрішня тара |
Зовнішня тара |
Максимальна маса нетто |
|
Скляна 2 кг Пластмасова 15 кг Металева 20 кг Внутрішня тара повинна герметично закриватися (наприклад, шляхом заклеювання клейкою стрічкою або за допомогою різьбового затвора). |
Барабани | |
сталеві (1A1, 1A2) | 400 кг | |
алюмінієві (1B1, 1B2) | 400 кг | |
інші металеві (1N1, 1N2) | 400 кг | |
пластмасові (1H1, 1H2) | 400 кг | |
фанерні (1D) | 400 кг | |
фіброві (1G) | 400 кг | |
Ящики | ||
сталеві (4A) | 400 кг | |
алюмінієві (4B) | 400 кг | |
інші металеві (4N) | 400 кг | |
з природної деревини (4C1) | 250 кг | |
з природної деревини, із щільно пригнаними стінками (4C2) | 250 кг | |
фанерні (4D) | 250 кг | |
з деревного матеріалу (4F) | 125 кг | |
з фібрового картону (4G) | 125 кг | |
з пінопласту (4H1) | 60 кг | |
з твердої пластмаси (4H2) | 2500 кг | |
Каністри | ||
сталеві (3A1, 3A2) | 120 кг | |
алюмінієві (3B1, 3B2) | 120 кг | |
пластмасові (3H1, 3H2) | 120 кг | |
|
Одиночна тара: |
||
|
Барабани сталеві (1A1, 1A2) алюмінієві (1B1, 1B2) інші металеві, крім сталевих або алюмінієвих (1N1, 1N2) пластмасові (1H1, 1H2) |
250 кг 250 кг 250 кг 250 кг |
|
|
Каністри сталеві (3A1, 3A2) алюмінієві (3B1, 3B2) пластмасові (3H1, 3H2) |
120 кг 120 кг 120 кг |
|
|
Складана тара |
||
|
пластмасова посудина в зовнішньому сталевому або алюмінієвому барабані (6HA1 або 6HB1) |
250 кг |
|
|
пластмасова посудина в зовнішньому фібровому, пластмасовому або фанерному барабані (6HG1, 6HH1 або 6HD1) |
75 кг |
|
|
пластмасова посудина в зовнішньому сталевому або алюмінієвому ящику або латах, або в зовнішньому ящику з деревини, фанери, фібрового картону або твердої пластмаси (6HA2, 6HB2, 6HC, 6HD2, 6HG2 або 6HH2) |
75 кг |
|
|
Посудини під тиском, за умови дотримання загальних положень, викладених у підрозділі 4.1.3.6. |
||
|
Додаткова вимога: Тара повинна герметично закриватися. |
||
|
Спеціальне положення з упакування: PP83 (Виключено) |
||
|
P404 ІНСТРУКЦІЯ З УПАКУВАННЯ P404 |
||||||||
|
Ця інструкція застосовується до пірофорних твердих речовин: № ООН 1383, 1854, 1855, 2008, 2441, 2545, 2546, 2846, 2881, 3200, 3391 і 3393. |
||||||||
|
За умови дотримання загальних положень, викладених у розділах 4.1.1 і 4.1.3, дозволяється використовувати наступну тару:
(2) Металева тара: (1A1, 1A2, 1B1, 1B2, 1N1, 1N2, 3A1, 3A2, 3B1 і 3B2) Максимальна маса брутто: 150 кг. (3) Складана тара: Пластмасова посудина в зовнішньому сталевому або алюмінієвому барабані (6HA1 або 6HB1) Максимальна маса брутто: 150 кг. |
||||||||
|
Посудини під тиском за умови дотримання загальних положень, викладених у підрозділі 4.1.3.6. |
||||||||
|
Спеціальне положення з упакування: PP86 Для № ООН 3391 і 3393: повітря повинно бути витиснуте з парового простору за допомогою азоту або шляхом застосування інших засобів. |
||||||||
|
P405 ІНСТРУКЦІЯ З УПАКУВАННЯ P405 |
|
Ця інструкція застосовується до № ООН 1381. |
|
За умови дотримання загальних положень, викладених у розділах 4.1.1 і 4.1.3, дозволяється використовувати наступну тару: (1) Для № ООН 1381 фосфору вологого: a) Комбінована тара Зовнішня тара: (4A, 4B, 4N, 4C1, 4C2, 4D або 4F) Максимальна маса нетто: 75 кг Внутрішня тара: i) герметично закритий металевий бідон максимальною масою нетто 15 кг; або ii) скляна внутрішня тара, обкладена з усіх боків сухим негорючим абсорбувальним прокладним матеріалом у кількості, якої достатньо для поглинання всього вмісту, максимальною масою нетто 2 кг; або b) Барабани (1A1, 1A2, 1B1, 1B2, 1N1 або 1N2); максимальна маса нетто: 400 кг Каністри (3A1 або 3B1); максимальна маса нетто: 120 кг. Ця тара повинна мати змогу пройти випробування на герметичність, передбачене в пункті 6.1.5.4, на рівні експлуатаційних вимог для групи упакування II. (2) Для № ООН 1381 фосфору сухого: a) під час перевезення в розплавленому стані – барабани (1A2, 1B2 або 1N2) максимальною масою нетто 400 кг; або b) у снарядах або виробах, укладених у міцну оболонку, під час перевезення без компонентів, що відносяться до класу 1: тара, зазначена компетентним органом. |
|
P406 ІНСТРУКЦІЯ З УПАКУВАННЯ P406 |
|
За умови дотримання загальних положень, викладених у розділах 4.1.1 і 4.1.3, дозволяється використовувати наступну тару: |
|
(1) Комбінована тара Зовнішня тара: (4C1, 4C2, 4D, 4F, 4G, 4H1, 4H2, 1G, 1D, 1H1, 1H2, 3H1 або 3H2) Внутрішня тара: вологонепроникна тара. (2) Пластмасові, фанерні або фіброві барабани (1H2, 1D або 1G) або ящики (4A, 4B, 4N, 4C1, 4C2, 4D, 4F, 4G або 4H2) з вологонепроникним внутрішнім мішком, вкладишем з полімерної плівки або вологонепроникним покриттям. (3) Металеві барабани (1A1, 1A2, 1B1, 1B2, 1N1 або 1N2), пластмасові барабани (1H1 або 1H2), металеві каністри (3A1, 3A2, 3B1 або 3B2), пластмасові каністри (3H1 або 3H2), пластмасові посудини в зовнішніх сталевих або алюмінієвих барабанах (6HA1 або 6HB1), пластмасові посудини в зовнішніх фібрових, пластмасових або фанерних барабанах (6HG1, 6HH1 або 6HD1), пластмасові посудини в зовнішніх сталевих або алюмінієвих ящиках або латах, або в зовнішніх ящиках з деревини, фанери, фібрового картону або твердої пластмаси (6HA2, 6HB2, 6HC, 6HD2, 6HG2 або 6HH2). |
|
Додаткові вимоги: 1. Тара повинна бути сконструйована й виготовлена таким чином, щоб перешкоджати витоку води, спирту або флегматизатора. 2. Тара повинна бути виготовлена й закрита таким чином, щоб перешкоджати створенню вибухонебезпечного тиску або тиску більше 300 кПа (3 бар). |
|
Спеціальні положення з упакування: PP24 Речовини з № ООН 2852, 3364, 3365, 3366, 3367, 3368 і 3369 не повинні перевозитися в кількостях, що перевищують 500 г на упаковки. PP25 Для № ООН 1347: речовина не повинна перевозитися в кількостях, що перевищують 15 кг на упаковки. PP26 Для № ООН 1310, 1320, 1321, 1322, 1344, 1347, 1348, 1349, 1517, 2907, 3317 і 3376: матеріали, з яких виготовлена тара, не повинні містити свинець. PP48 Для № ООН 3474: металева тара не повинна використовуватися. Тара, виготовлена з іншого матеріалу з невеликою кількістю металу, наприклад з металевими затворами або іншими металевими фітингами, як такі що згадуються в розділі 6.1.4, не вважається металевою тарою. PP78 Речовина з № ООН 3370 не повинна перевозитися в кількостях, що перевищують 11,5 кг на упаковки. PP80 Для № ООН 2907: тара повинна відповідати експлуатаційним вимогам для групи упакування II. Тара, що відповідає критеріям випробувань для групи упакування I, використовуватися не повинна. |
|
P407 ІНСТРУКЦІЯ З УПАКУВАННЯ P407 |
|
Ця інструкція застосовується до № ООН 1331, 1944, 1945 і 2254. |
|
За умови дотримання загальних положень, викладених у розділах 4.1.1 і 4.1.3, дозволяється використовувати наступну тару: Зовнішня тара: барабани (1A1, 1A2, 1B1, 1B2, 1N1, 1N2, 1H1, 1H2, 1D, 1G); ящики (4A, 4B, 4N, 4C1, 4C2, 4D, 4F, 4G, 4H1, 4 H2); каністри (3A1, 3A2, 3B1, 3B2, 3H1, 3H2). Внутрішня тара: Сірники повинні бути щільно впаковані в надійно закриту внутрішню тару для запобігання випадковому загорянню у нормальних умовах перевезення. Максимальна маса брутто упаковки не повинна перевищувати 45 кг, а для ящиків з фіброкартону − 30 кг. Тара повинна відповідати експлуатаційним вимогам для групи упакування III. |
|
Спеціальне положення з упакування: PP27 № ООН 1331, сесквісульфідні сірники не повинні впаковуватися в одну й ту саму зовнішню тару разом з якими-небудь іншими небезпечними вантажами, крім безпечних сірників або воскових сірників, які слід упаковувати в окрему внутрішню тару. У внутрішній тарі не повинно міститися більше 700 сесквісульфідних сірників. |
|
P408 |
ІНСТРУКЦІЯ З УПАКУВАННЯ |
P408 |
|
Ця інструкція застосовується до № ООН 3292. |
||
|
За умови дотримання загальних положень, викладених у розділах 4.1.1 і 4.1.3, дозволяється використовувати наступну тару: (1) Для елементів: барабани (1A2, 1B2, 1N2, 1H2, 1D, 1G); ящики (4A, 4B, 4N, 4C1, 4C2, 4D, 4F, 4G, 4H1, 4H2); каністри (3A2, 3B2, 3H2). Повинна бути достатня кількість прокладного матеріалу для запобігання стиканню елементів між собою, а також елементів із внутрішніми поверхнями зовнішньої тари й для забезпечення того, щоб під час перевезення не відбувалося небезпечного переміщення елементів усередині зовнішньої тари. Тара повинна відповідати експлуатаційним вимогам для групи упакування II. (2) Батареї можуть перевозитися в неупакованому вигляді або в захисних оболонках (наприклад, у повністю закритих або дерев’яних латах). Контактні клеми не повинні піддаватися впливу ваги інших батарей або матеріалів, упакованих з батареями. Тара необов’язково повинна відповідати вимогам пункту 4.1.1.3. ПРИМІТКА: Маса нетто дозволеної тари може перевищувати 400 кг (див. пункт 4.1.3.3). |
||
|
Додаткова вимога: Елементи й батареї повинні бути захищені від короткого замикання й ізольовані таким чином, щоб запобігати його виникненню. |
||
|
P409 |
ІНСТРУКЦІЯ З УПАКУВАННЯ |
P409 |
|
За умови дотримання загальних положень, викладених у розділах 4.1.1 і 4.1.3, дозволяється використовувати наступну тару: |
||
|
(1) Фібровий барабан (1G), який може бути оснащений вкладишем або внутрішнім покриттям; максимальна маса нетто: 50 кг. (2) Комбіновану тару: ящик з фібрового картону (4G) з одиночним внутрішнім полімерним мішком; максимальна маса нетто: 50 кг. (3) Комбіновану тару: ящик з фібрового картону (4G) або фібровий барабан (1G) із внутрішньою пластмасовою тарою, кожна одиниця якої містить не більше 5 кг; максимальна маса нетто: 25 кг. |
||
|
P410 |
ІНСТРУКЦІЯ З УПАКУВАННЯ |
P410 |
||
|
За умови дотримання загальних положень, викладених у розділах 4.1.1 і 4.1.3, дозволяється використовувати наступну тару: |
||||
|
Комбінована тара: |
Максимальна маса нетто |
|||
|
Внутрішня тара |
Зовнішня тара |
Група упакування II |
Група упакування III |
|
|
Скляна 10 кг Пластмасова a 30 кг Металева 40 кг Паперова a, b 10 кг Фіброва a, b 10 кг |
Барабани | |||
сталеві (1A1, 1A2) | 400 кг | 400 кг | ||
алюмінієві (1В1, 1B2) | 400 кг | 400 кг | ||
інші металеві (1N1, 1N2) | 400 кг | 400 кг | ||
пластмасові (1H1, 1H2) | 400 кг | 400 кг | ||
фанерні (1D) | 400 кг | 400 кг | ||
фіброві (1G) a | 400 кг | 400 кг | ||
Ящики | ||||
сталеві (4A) | 400 кг | 400 кг | ||
алюмінієві (4B) | 400 кг | 400 кг | ||
інші металеві (4N) | 400 кг | 400 кг | ||
з природної деревини (4C1) | 400 кг | 400 кг | ||
з природної деревини, із щільно пригнаними стінками (4C2) | 400 кг | 400 кг | ||
фанерні (4D) | 400 кг | 400 кг | ||
з деревного матеріалу (4F) | 400 кг | 400 кг | ||
з фібрового картону (4G) a | 400 кг | 400 кг | ||
з пінопласту (4H1) | 60 кг | 60 кг | ||
з твердої пластмаси (4H2) | 400 кг | 400 кг | ||
Каністри | ||||
сталеві (3А1, 3A2) | 1200 кг | 120 кг | ||
алюмінієві (3B1, 3B2) | 1200 кг | 120 кг | ||
пластмасові (3H1, 3H2) | 1200 кг | 120 кг | ||
|
Одиночна тара: |
||||
|
Барабани сталеві (1A1 або 1A2) алюмінієві (1B1 або 1B2) інші металеві, крім сталевих або алюмінієвих (1N1 або 1N2) пластмасові (1H1 або 1H2) |
400 кг 400 кг 400 кг 400 кг |
400 кг 400 кг 400 кг 400 кг |
||
|
Каністри сталеві (3A1 або 3A2) алюмінієві (3B1 або 3B2) пластмасові (3H1 або 3H2) |
120 кг 120 кг 120 кг |
120 кг 120 кг 120 кг |
||
|
Ящики сталеві (4A) c алюмінієві (4B) c інші металеві (4N) с з природної деревини (4C1) c фанерні (4D) c з деревного матеріалу (4F) c з природної деревини, із щільно пригнаними стінками (4C2) c з фібрового картону (4G) c з твердої пластмаси (4H2) c |
400 кг 400 кг 400 кг 400 кг 400 кг 400 кг 400 кг 400 кг 400 кг |
400 кг 400 кг 400 кг 400 кг 400 кг 400 кг 400 кг 400 кг 400 кг |
||
|
Мішки Мішки (5H3, 5H4, 5L3, 5M2) c, d |
50 кг |
50 кг |
||
a Така тара повинна бути непроникною для сипучих речовин.
b Така внутрішня тара не повинна використовуватися, коли речовини, що перевозяться, можуть перейти в рідкий стан у ході перевезення.
с Така тара не повинна використовуватися, коли речовини, що перевозяться, можуть перейти в рідкий стан у ході перевезення.
d Для речовин групи упакування IІ така тара може використовуватися тільки тільки під час перевезення в закритому транспортному засобі або закритому контейнері.
|
P410 ІНСТРУКЦІЯ З УПАКУВАННЯ (продовж.) P410 |
||
|
Складана тара: |
Максимальна маса нетто |
|
|
Група упакування II |
Група упакування III |
|
|
пластмасова посудина в зовнішньому сталевому, алюмінієвому, фанерному, фібровому або пластмасовому барабані (6HA1, 6HB1, 6HG1, 6HD1 або 6HH1) |
400 кг |
400 кг |
|
пластмасова посудина в зовнішніх сталевих або алюмінієвих латах або ящику, або в зовнішньому ящику з деревини, фанери, фібрового картону або твердої пластмаси (6HA2, 6HB2, 6HC, 6HD2, 6HG2 або 6HH2) |
75 кг |
75 кг |
|
скляна посудина в зовнішньому сталевому, алюмінієвому, фанерному або фібровому барабані (6PA1, 6PB1, 6PD1 або 6PG1), або в зовнішніх сталевих або алюмінієвих латах або ящику, або в зовнішньому ящику з деревини й фібрового картону, або в зовнішньому плетеному кошику (6PA2, 6PB2, 6PC, 6PD2, або 6PG2), або в зовнішній тарі з пінопласту або твердої пластмаси (6PH1 або 6PH2) |
75 кг |
75 кг |
|
Посудини під тиском, за умови дотримання загальних положень, викладених у підрозділі 4.1.3.6. |
||
|
Спеціальні положення з упакування: PP39 Для № ООН 1378: металева тара повинна бути оснащена вентиляційним пристроєм. PP40 Для № ООН 1326, 1352, 1358, 1395, 1396, 1436, 1437, 1871, 2805 і 3182, група упакування II: використовувати мішки не дозволяється. PP83 (Виключено) |
||
|
P411 ІНСТРУКЦІЯ З УПАКУВАННЯ P411 |
|
Ця інструкція застосовується до № ООН 3270. |
|
За умови дотримання загальних положень, викладених у розділах 4.1.1 і 4.1.3, дозволяється використовувати наступну тару: барабани (1A2, 1B2, 1N2, 1H2, 1D, 1G); ящики (4A, 4B, 4N, 4C1, 4C2, 4D, 4F, 4G, 4H1, 4H2); каністри (3A2, 3B2, 3H2) за умови, що виключена можливість вибуху в результаті підвищення внутрішнього тиску. Максимальна маса нетто не повинна перевищувати 30 кг. |
|
P412 |
ІНСТРУКЦІЯ З УПАКУВАННЯ |
P412 |
|
Ця інструкція застосовується до № ООН 3527. |
||
|
За умови дотримання загальних положень, викладених у розділах 4.1.1 і 4.1.3, дозволяється використовувати наступну комбіновану тару: (1) Зовнішня тара: барабани (1A1, 1A2, 1B1, 1B2, 1N1, 1N2, 1H1, 1H2, 1D, 1G); ящики (4A, 4B, 4N, 4C1, 4C2, 4D, 4F, 4G, 4H1, 4H2); каністри (3A1, 3A2, 3B1, 3B2, 3H1, 3H2). (2) Внутрішня тара: a) Максимальна кількість активатора (органічного пероксиду) повинна становити 125 мл на одиницю внутрішньої тари у випадку рідини й 500 г на одиницю внутрішньої тари у випадку твердої речовини. b) Базовий матеріал і активатор повинні бути впаковані окремо у внутрішню тару. Компоненти можуть бути поміщені в одну й ту саму зовнішню тару за умови, що між ними не виникне небезпечної реакції у випадку витоку. Тара повинна відповідати експлуатаційним вимогам для групи упакування II або III відповідно до критеріїв класу 4.1, застосовуваним до базового матеріалу. |
||
|
P500 ІНСТРУКЦІЯ З УПАКУВАННЯ P500 |
|
Ця інструкція застосовується до № ООН 3356. |
|
За умови дотримання загальних положень, викладених у розділах 4.1.1 і 4.1.3, дозволяється використовувати наступну тару: барабани (1A2, 1B2, 1N2, 1H2, 1D, 1G); ящики (4A, 4B, 4N, 4C1, 4C2, 4D, 4F, 4G, 4H1, 4H2); каністри (3A2, 3B2, 3H2). Тара повинна відповідати експлуатаційним вимогам для групи упакування II. Генератор (генератори) повинен (повинні) перевозитися в упаковці, яка у випадку спрацьовування одного з генераторів, що містяться в ній, відповідала б наступним вимогам: a) інші генератори, що містяться в упаковці, не повинні спрацьовувати; b) матеріал, з якого виготовлена тара, не повинен займатися; і c) температура зовнішньої поверхні готової упаковки не повинна перевищувати 100 °C. |
|
P501 ІНСТРУКЦІЯ З УПАКУВАННЯ P501 |
||
|
Ця інструкція застосовується до № ООН 2015. |
||
|
За умови дотримання загальних положень, викладених у розділах 4.1.1 і 4.1.3, дозволяється використовувати наступну тару: |
||
|
Комбінована тара: |
Максимальна місткість внутрішньої тари |
Максимальна маса нетто зовнішньої тари |
|
(1) Ящики (4A, 4B, 4N, 4C1, 4C2, 4D, 4H2), або барабани (1A1, 1A2, 1B1, 1B2, 1N1, 1N2, 1H1, 1H2, 1D), або каністри (3A1, 3A2, 3B1, 3B2, 3H1, 3H2) зі скляною, пластмасовою або металевою внутрішньою тарою |
5 л |
125 кг |
|
(2) Ящики з фібрового картону (4G) або фіброві барабани (1G) із пластмасової або металевою внутрішньою тарою, кожна одиниця якої поміщена в полімерний мішок |
2 л |
50 кг |
|
Одиночна тара: |
Максимальна місткість |
|
|
Барабани сталеві (1A1) алюмінієві (1B1) інші металеві, крім сталевих або алюмінієвих (1N1) пластмасові (1H1) |
250 л |
|
|
Каністри сталеві (3A1) алюмінієві (3B1) пластмасові (3H1) |
60 л |
|
Складана тара |
||
пластмасова посудина в зовнішньому сталевому або алюмінієвому барабані (6HA1, 6HB1) |
250 л |
|
пластмасова посудина в зовнішньому фібровому, пластмасовому або фанерному барабані (6HG1, 6HH1, 6HD1) |
250 л |
|
пластмасова посудина в зовнішніх сталевих або алюмінієвих латах або ящику, або в зовнішньому ящику з деревини, фанери, фібрового картону або твердої пластмаси (6HA2, 6HB2, 6HC, 6HD2, 6HG2 або 6HH2) |
60 л |
|
скляна посудина в зовнішньому сталевому, алюмінієвому, фібровому або фанерному барабані (6PA1, 6PB1, 6PD1 або 6PG1), або в зовнішньому сталевому, алюмінієвому, дерев’яному або фібро-картонному ящику, або в зовнішньому плетеному кошику (6PA2, 6PB2, 6PC, 6PG2 або 6PD2), або в зовнішній тарі з пінопласту або твердої пластмаси (6PH1 або 6PH2). |
60 л |
|
|
Додаткові вимоги: 1. Тара не повинна заповнюватися більше ніж на 90% її місткості. 2. Тара повинна бути оснащена вентиляційним отвором. |
||
|
P502 ІНСТРУКЦІЯ З УПАКУВАННЯ P502 |
||
|
За умови дотримання загальних положень, викладених у розділах 4.1.1 і 4.1.3, дозволяється використовувати наступну тару: |
||
|
Комбінована тара: |
Максимальна маса нетто |
|
|
Внутрішня тара |
Зовнішня тара |
|
|
Скляна 5 л Металева 5 л Пластмасова 5 л |
Барабани |
|
сталеві (1A1, 1A2) |
125 кг |
|
|
алюмінієві (1B1, 1B2) |
125 кг |
|
|
інші металеві (1N1, 1N2) |
125 кг |
|
|
фанерні (1D) |
125 кг |
|
|
фіброві (1G) |
125 кг |
|
|
пластмасові (1H1, 1H2) |
125 кг |
|
|
Ящики |
||
|
сталеві (4A) |
125 кг |
|
|
алюмінієві (4B) |
125 кг |
|
|
інші металеві (4N) |
125 кг |
|
|
з природної деревини (4C1) |
125 кг |
|
|
з природної деревини, із щільно пригнаними стінками (4C2) |
125 кг |
|
|
фанерні (4D) |
125 кг |
|
|
з деревного матеріалу (4F) |
125 кг |
|
|
з фібрового картону (4G) |
125 кг |
|
|
з пінопласту (4H1) |
60 кг |
|
|
з твердої пластмаси (4H2) |
125 кг |
|
|
Одиночна тара: |
Максимальна місткість |
|
|
Барабани сталеві (1A1) алюмінієві (1B1) пластмасові (1H1) |
250 л |
|
|
Каністри сталеві (3A1) алюмінієві (3B1) пластмасові (3H1) |
60 л |
|
|
Складана тара: пластмасова посудина в зовнішньому сталевому або алюмінієвому барабані (6HA1, 6HB1) |
250 л |
|
|
пластмасова посудина в зовнішньому фібровому, пластмасовому або фанерному барабані (6HG1, 6HH1, 6HD1) |
250 л |
|
|
пластмасова посудина в зовнішніх сталевих або алюмінієвих латах або ящику, або в зовнішньому ящику з деревини, фанери, фібрового картону або твердої пластмаси (6HA2, 6HB2, 6HC, 6HD2, 6HG2 або 6HH2) |
60 л |
|
|
скляна посудина в зовнішньому сталевому, алюмінієвому, фібровому або фанерному барабані (6PA1, 6PB1, 6PD1 або 6PG1), або в зовнішньому сталевому, алюмінієвому, дерев’яному або фібро-картонному ящику, або в зовнішньому плетеному кошику (6PA2, 6PB2, 6PC, 6PG2 або 6PD2), або в зовнішній тарі з пінопласту або твердої пластмаси (6PH1 або 6PH2). |
60 л |
|
|
Спеціальне положення з упакування: |
||
|
PP28 Для № ООН 1873: частини тари, що знаходяться у безпосередньому контакті з хлорною кислотою, повинні бути виготовлені зі скла або пластмаси. |
||
|
P503 ІНСТРУКЦІЯ З УПАКУВАННЯ P503 |
||
|
За умови дотримання загальних положень, викладених у розділах 4.1.1 і 4.1.3, дозволяється використовувати наступну тару: |
||
|
Комбінована тара: |
||
|
Внутрішня тара |
Зовнішня тара |
Максимальна маса нетто |
|
Скляна 5 кг Металева 5 кг Пластмасова 5 кг |
Барабани |
|
|
сталеві (1А1, 1A2) |
125 кг |
|
|
алюмінієві (1В1, 1B2) |
125 кг |
|
|
інші металеві (1N1, 1N2) |
125 кг |
|
|
фанерні (1D) |
125 кг |
|
|
фіброві (1G) |
125 кг |
|
|
пластмасові (1H1, 1H2) |
125 кг |
|
|
Ящики |
||
|
сталеві (4A) |
125 кг |
|
|
алюмінієві (4B) |
125 кг |
|
|
інші металеві (4N) |
125 кг |
|
|
з природної деревини (4C1) |
125 кг |
|
|
з природної деревини, із щільно пригнаними стінками (4C2) |
125 кг |
|
|
фанерні (4D) |
125 кг |
|
|
з деревного матеріалу (4F) |
125 кг |
|
|
з фібрового картону (4G) |
40 кг |
|
|
з пінопласту (4H1) |
60 кг |
|
|
з твердої пластмаси (4H2) |
125 кг |
|
|
Одиночна тара: |
||
|
Металеві барабани (1A1, 1A2, 1B1, 1B2, 1N1 або 1N2) максимальною масою нетто 250 кг. Фіброві барабани (1G) або фанерні барабани (1D) із внутрішніми вкладишами максимальною масою нетто 200 кг. |
||
|
P504 ІНСТРУКЦІЯ З УПАКУВАННЯ P504 |
||
|
За умови дотримання загальних положень, викладених у розділах 4.1.1 і 4.1.3, дозволяється використовувати наступну тару: |
||
|
Комбінована тара: |
Максимальна маса нетто |
|
(1) Скляні посудини максимальною місткістю 5 л у зовнішній тарі 1A1, 1A2, 1B1, 1B2, 1N1, 1N2, 1H1, 1H2, 1D, 1G, 4A, 4B, 4N, 4C1, 4C2, 4D, 4F, 4G, 4H2 |
75 кг |
|
(2) Пластмасові посудини максимальною місткістю 30 л у зовнішній тарі 1A1, 1A2, 1B1, 1B2, 1N1, 1N2, 1H1, 1H2, 1D, 1G, 4A, 4B, 4N, 4C1, 4C2, 4D, 4F, 4G, 4H2 |
75 кг |
|
(3) Металеві посудини максимальною місткістю 40 л у зовнішній тарі 1G, 4F або 4G |
125 кг |
|
(4) Металеві посудини максимальною місткістю 40 л у зовнішній тарі 1A1, 1A2, 1B1, 1B2, 1N1, 1N2, 1H1, 1H2, 1D, 4A, 4B, 4N, 4C1, 4C2, 4D, 4H2 |
225 кг |
|
|
Одиночна тара: |
Максимальна місткість |
|
|
Барабани |
||
|
сталеві, з незнімним днищем (1A1) |
250 л |
|
|
сталеві, зі знімним днищем (1A2) |
250 л |
|
|
алюмінієві, з незнімним днищем (1B1) |
250 л |
|
|
алюмінієві, зі знімним днищем (1B2) |
250 л |
|
|
інші металеві, крім сталевих або алюмінієвих, з незнімним днищем (1N1) |
250 л |
|
|
інші металеві, крім сталевих або алюмінієвих, зі знімним днищем (1N2) |
250 л |
|
|
пластмасові, з незнімним днищем (1H1) |
250 л |
|
|
пластмасові, зі знімним днищем (1H2) |
250 л |
|
|
Каністри |
||
|
сталеві, з незнімним днищем (3A1) |
60 л |
|
|
сталеві, зі знімним днищем (3A2) |
60 л |
|
|
алюмінієві, з незнімним днищем (3B1) |
60 л |
|
|
алюмінієві, зі знімним днищем (3B2) |
60 л |
|
|
пластмасові, з незнімним днищем (3H1) |
60 л |
|
|
пластмасові, зі знімним днищем (3H2) |
60 л |
|
|
Складана тара: |
||
|
пластмасова посудина в зовнішньому сталевому або алюмінієвому барабані (6HA1, 6HB1) |
250 л |
|
|
пластмасова посудина в зовнішньому фібровому, пластмасовому або фанерному барабані (6HG1, 6HH1, 6HD1) |
120 л |
|
|
пластмасова посудина в зовнішніх сталевих або алюмінієвих латах або ящику, або в зовнішньому ящику з деревини, фанери, фібрового картону або твердої пластмаси (6HA2, 6HB2, 6HC, 6HD2, 6HG2 або 6HH2) |
60 л |
|
|
скляна посудина в зовнішньому сталевому, алюмінієвому, фібровому або фанерному барабані (6PA1, 6PB1, 6PD1 або 6PG1), або в зовнішньому сталевому, алюмінієвому, дерев’яному або фібро-картонному ящику, або в плетеному кошику (6PA2, 6PB2, 6PC, 6PG2 або 6PD2), або в зовнішній тарі з пінопласту або твердої пластмаси (6PH1 або 6PH2). |
60 л |
|
|
Спеціальне положення з упакування: PP10 Для № ООН 2014, 2984 і 3149: тара повинна бути оснащена вентиляційним отвором. |
||
|
P505 |
ІНСТРУКЦІЯ З УПАКУВАННЯ |
P505 |
||
|
Ця інструкція застосовується до № ООН 3375. |
||||
|
За умови дотримання загальних положень, викладених у розділах 4.1.1 і 4.1.3, дозволяється використовувати наступну тару: |
||||
|
Комбінована тара: |
Максимальна місткість внутрішньої тари |
Максимальна маса нетто зовнішньої тари |
||
|
Ящики (4B, 4C1, 4C2, 4D, 4G, 4H2), або барабани (1B2, 1G, 1N2, 1H2, 1D), або каністри (3B2, 3H2) зі скляною, пластмасовою або металевою внутрішньою тарою |
5 л |
125 кг |
||
|
Одиночна тара: |
Максимальна місткість |
|||
|
Барабани |
||||
|
алюмінієві (1B1, 1B2) пластмасові (1H1, 1H2) |
250 л 250 л |
|||
|
Каністри |
||||
|
алюмінієві (3B1, 3B2) пластмасові (3H1, 3H2) |
60 л 60 л |
|||
|
Складана тара |
||||
|
пластмасова посудина в зовнішньому алюмінієвому барабані (6HB1) |
250 л |
|||
|
пластмасова посудина в зовнішньому фібровому, пластмасовому або фанерному барабані (6HG1, 6HH1, 6HD1) |
250 л |
|||
|
пластмасова посудина в зовнішніх алюмінієвих латах або ящику або пластмасова посудина в зовнішньому дерев’яному, фанерному, фібро-картонному або твердому пластмасовому ящику (6HB2, 6HC, 6HD2, 6HG2 або 6HH2) |
60 л |
|||
|
скляна посудина в зовнішньому алюмінієвому, фібровому або фанерному ящику (6PB1, 6PG1, 6PD1), або в зовнішній посудині з пінопласту або твердої пластмаси (6PH1 або 6PH2), або в зовнішніх алюмінієвих латах або ящику, або в зовнішньому дерев’яному або фібро-картонному ящику, або в зовнішньому плетеному кошику (6PB2, 6PC, 6PG2 або 6PD2) |
60 л |
|||
|
P520 ІНСТРУКЦІЯ З УПАКУВАННЯ P520 |
||||||||
|
Ця інструкція застосовується до органічних пероксидів класу 5.2 і самореактивних речовин класу 4.1. |
||||||||
|
За умови дотримання загальних положень, викладених у розділах 4.1.1 і 4.1.3, і спеціальних положень, викладених у підрозділі 4.1.7.1, дозволяється використовувати зазначену нижче тару. |
||||||||
|
Методи упакування пронумеровані з OP1 по OP8. Належні методи упакування, застосовувані до окремих органічних пероксидів і самореактивних речовин, віднесених у цей час до відповідних позицій, перелічені в пунктах 2.2.41.4 і 2.2.52.4. Кількості, зазначені для кожного методу, являють собою максимальні дозволені кількості на одну упаковку. Дозволяється використовувати наступну тару: |
||||||||
|
(1) Комбіновану тару з такою зовнішньою тарою, як ящики (4A, 4B, 4N, 4C1, 4C2, 4D, 4F, 4G, 4H1 і 4H2), барабани (1A1, 1A2, 1B1, 1B2, 1G, 1H1, 1H2 і 1D) або каністри (3A1, 3A2, 3B1, 3B2, 3H1 і 3H2). |
||||||||
|
(2) Одиночну тару, що складається з барабанів (1A1, 1A2, 1B1, 1B2, 1G, 1H1, 1H2 і 1D) і каністр (3A1, 3A2, 3B1, 3B2, 3H1 і 3H2). |
||||||||
|
(3) Складену тару із пластмасовими внутрішніми посудинами (6HA1, 6HA2, 6HB1, 6HB2, 6HC, 6HD1, 6HD2, 6HG1, 6HG2, 6HH1 і 6HH2). |
||||||||
|
Максимальна кількість на тару/упаковку a для методів упакування OP1–OP8 |
||||||||
|
Метод упакування Максимальна кількість |
OP1 |
OP2 a |
OP3 |
OP4 a |
OP5 |
OP6 |
OP7 |
OP8 |
|
Максимальна маса (кг) для твердих речовин і для комбінованої тари (рідини й тверді речовини) |
0,5 |
0,5/10 |
5 |
5/25 |
25 |
50 |
50 |
400 b |
|
Максимальна кількість у літрах для рідин c |
0,5 |
– |
5 |
– |
30 |
60 |
60 |
225 d |
|
a Якщо зазначено два значення, то перше означає максимальну масу нетто на одиницю внутрішньої тари, а друге – максимальну масу нетто упаковки в цілому. b 60 кг для каністр/200 кг для ящиків і, у випадку твердих речовин, 400 кг для комбінованої тари, що складається із зовнішніх ящиків (4С1, 4С2, 4D, 4F, 4G, 4H1 і 4Н2) і внутрішньої тари з пластмаси або картону з максимальною масою нетто 25 кг. c В’язкі речовини повинні розглядатися як тверді речовини, якщо вони не задовольняють критеріям, передбаченим у визначенні терміна «рідини», наведеному в розділі 1.2.1. d 60 л для каністр. |
||||||||
|
P520 ІНСТРУКЦІЯ З УПАКУВАННЯ P520 |
|
Додаткові вимоги: |
|
1. Металева тара, включаючи внутрішню тару комбінованої тари й зовнішню тару комбінованої або складеної тари, може використовуватися тільки для методів упакування OP7 і OP8. 2. У комбінованій тарі в якості внутрішньої тари можуть використовуватися лише скляні посудини максимальною місткістю 0,5 кг у випадку твердих речовин і 0,5 л у випадку рідин. 3. У комбінованій тарі повинен використовуватися важкогорючий прокладний матеріал. 4. Тара для органічних пероксидів або самореактивних речовин, що вимагають нанесення знака додаткової небезпеки «ВИБУХОВА РЕЧОВИНА (зразок № 1, див. пункт 5.2.2.2.2)», повинна відповідати положенням пунктів 4.1.5.10 і 4.1.5.11. |
|
Спеціальні положення з упакування: PP21 Для деяких самореактивних речовин типів B або C (№ ООН 3221, 3222, 3223, 3224, 3231, 3232, 3233 і 3234): використовувана тара повинна бути менше тієї, яка передбачена згідно з методами упакування OP5 або OP6 (див. розділ 4.1.7 і пункт 2.2.41.4). PP22 № ООН 3241 нітропропандіол-1,3 повинен упаковуватися відповідно до методу упакування OP6. PP94 Дуже невелика кількість зразків енергетичних матеріалів, вказаних у підрозділі 2.1.4.3, можуть перевозитися під № ООН 3223 або № ООН 3224, залежно від конкретного випадку, за умови, що: 1. використовується тільки комбінована тара із зовнішньою тарою, такою як ящики (4A, 4B, 4N, 4C1, 4C2, 4D, 4F, 4G, 4H1 і 4H2); 2. зразки перевозяться в мікротитраційних планшетах або багатолункових планшетах, виготовлених із пластмаси, скла, порцеляни або кераміки, у якості внутрішньої тари; 3. максимальна кількість на одну внутрішню лунку не перевищує 0,01 г для твердої речовини й 0,01 мл для рідини; 4. максимальна кількість нетто на зовнішню тару становить 20 г для твердої речовини й 20 мл для рідини або, у випадку змішаної упаковки, сума в грамах і мілілітрах не перевищує 20; і 5. якщо в якості холодоагенту використовується сухий лід або рідкий азот, то повинні дотримуватися вимоги розділу 5.5.3. Внутрішня тара повинна бути закріплена за допомогою розпірок так, щоб вона не змінювала свого первинного положення. Внутрішня й зовнішня тара повинні зберігати свою цілісність при температурі використовуваного холодоагенту, а також при температурі й тиску, які можуть виникнути у випадку втрати холодоагенту. PP95 Невелика кількість зразків енергетичних матеріалів, зазначених у підрозділі 2.1.4.3, можуть перевозитися під № ООН 3223 або № ООН 3224, залежно від конкретного випадку, за умови, що: 1. зовнішня тара складається тільки з гофрованого фібрового картону типу 4G, що має мінімальні розміри 60 см (довжина) на 40,5 см (ширина) і на 30 см (висота) при мінімальній товщині стінок 1,3 см; 2. окрема речовина міститься у внутрішній тарі зі скла або пластмаси максимальною місткістю 30 мл, що поміщена в розсувну пінополіетиленову сітчасту форму товщиною не менше 130 мм із щільністю 18 ± 1 г/л; 3. у пінополіетиленовій формі елементи внутрішньої тари розташовують один від одного на відстані не менше 40 мм і від стінки зовнішньої тари – на відстані не менше 70 мм. Упаковка може містити до двох рівнів таких пінополіетиленових сітчастих форм, на кожній з яких розташовується до 28 елементів внутрішньої тари; 4. максимальна кількість умісту на кожний елемент внутрішньої тари не перевищує 1 г для твердої речовини й 1 мл для рідини; 5. максимальна кількість нетто на зовнішню тару становить 56 г для твердої речовини й 56 мл для рідини або, у випадку змішаної упаковки, сума в грамах і мілілітрах не перевищує 56; і 6. якщо в якості холодоагенту використовується сухий лід або рідкий азот, то повинні дотримуватися вимоги розділу 5.5.3. Внутрішня тара повинна бути закріплена за допомогою розпірок так, щоб вона не змінювала свого первинного положення. Внутрішня й зовнішня тара повинні зберігати свою цілісність при температурі використовуваного холодоагенту, а також при температурі й тиску, які можуть виникнути у випадку втрати холодоагенту. |
|
P600 ІНСТРУКЦІЯ З УПАКУВАННЯ P600 |
|
За умови дотримання загальних положень, викладених у розділах 4.1.1 і 4.1.3, дозволяється використовувати наступну тару: Зовнішню тару (1A1, 1A2, 1B1, 1B2, 1N1, 1N2, 1H1, 1H2, 1D, 1G, 4A, 4B, 4N, 4C1, 4C2, 4D, 4F, 4G, 4H2), що відповідає експлуатаційним вимогам для групи упакування II. Вироби повинні бути впаковані індивідуально й відділені один від одного за допомогою перегородок, роздільників, внутрішньої тари або прокладного матеріалу з метою запобігання випадковому випуску вмісту в нормальних умовах перевезення. Максимальна маса нетто: 75 кг. |
|
P601 ІНСТРУКЦІЯ З УПАКУВАННЯ P601 |
|
За умови дотримання загальних положень, викладених у розділах 4.1.1 і 4.1.3, і герметичної укупорки тари дозволяється використовувати наступну тару: (1) Комбіновану тару максимальною масою брутто 15 кг, що складається з: – однієї або декількох одиниць скляної внутрішньої тари місткістю не більше 1 літра кожна, заповнених не більше ніж на 90% їх місткості; затвор(и) повинен(і) утримуватися на місці за допомогою будь-якого засобу, здатного запобігти ослабленню або відкриванню затвора від удару або вібрації в ході перевезення; кожна одиниця внутрішньої тари повинна бути поміщена в – металеву посудину разом із прокладним і абсорбувальним матеріалом у кількості, якої достатньо для поглинання всього вмісту скляної внутрішньої тари; ці посудини впаковуються у свою чергу в – зовнішню тару 1А1, 1A2, 1В1, 1B2, 1N1, 1N2, 1H1, 1H2, 1D, 1G, 4A, 4B, 4N, 4C1, 4C2, 4D, 4F, 4G або 4H2. (2) Комбіновану тару, що складається з металевої або пластмасової внутрішньої тари місткістю не більше 5 літрів, окремо впакованої з абсорбувальним матеріалом у кількості, якої достатньо для поглинання вмісту, і інертним прокладним матеріалом у зовнішню тару 1A1, 1A2, 1B1, 1B2, 1N1, 1N2, 1H1, 1H2, 1D, 1G, 4A, 4B, 4N, 4C1, 4C2, 4D, 4F, 4G або 4H2 максимальною масою брутто 75 кг. Внутрішня тара повинна заповнюватися не більше ніж на 90% її місткості. Затвор кожної внутрішньої тари повинен утримуватися на місці за допомогою будь-якого засобу, здатного запобігти ослабленню або відкриванню затвора від удару або вібрації в ході перевезення. (3) Тару, що складається з: Зовнішньої тари: сталевих або пластмасових барабанів (1A1, 1А2, 1H1 або 1Н2), випробуваних відповідно до передбачених у розділі 6.1.5 вимог до випробувань при масі, що відповідає масі тари в зібраному вигляді, підготовленої або як тара, призначена для розміщення в ній внутрішньої тари, або як одиночна тара, призначена для розміщення в ній твердих речовин або рідин, що відповідним чином маркіровані. Внутрішня тара: Барабани й Складана тара (1A1, 1B1, 1N1, 1H1 або 6HA1), що відповідають вимогам глави 6.1 для одиночної тари, при дотриманні наступних умов: a) випробування на гідравлічний тиск повинні проводитися при тиску не менше 0,3 МПа (манометричний тиск); b) конструкційні й виробничі випробування на герметичність повинні проводитися при випробувальному тиску 30 кПа; c) внутрішня тара повинна бути ізольована від поверхні барабана за допомогою інертного протиударного прокладного матеріалу, що оточує внутрішню тару з усіх боків; d) місткість барабана не повинна перевищувати 125 літрів; e) у якості затворів повинні використовуватися кришки, що нагвинчуються; вони повинні: i) утримуватися на місці за допомогою будь-якого засобу, здатного запобігти ослабленню або відкриванню затвора від удару або вібрації в ході перевезення; ii) бути оснащені запобіжними ковпаками; f) зовнішня й внутрішня тара повинна періодично проходити випробування на герметичність відповідно до підпункту b), причому не рідше ніж кожні два з половиною роки; g) тара в зібраному вигляді повинна проходити огляд принаймні кожні три роки відповідно до вимог компетентного органу; і h) зовнішня й внутрішня тара повинна мати розбірливе й довговічне маркування, що включає: i) дату (місяць, рік) первинного випробування, а також останнього періодичного випробування й перевірки; ii) клеймо експерта, який проводив випробування і перевірку. (4) Посудини під тиском, за умови дотримання загальних положень, викладених у підрозділі 4.1.3.6. Вони повинні проходити первинне випробування й кожні десять років періодичне випробування при тиску, що становить не менше 1 МПа (10 бар) (манометричний тиск). Посудини під тиском не повинні обладнуватися пристроєм для скидання тиску. Кожна посудина під тиском, що містить токсичну при вдиханні рідину, ЛК50 якої становить 200 мл/м3 (млн.–1) або менше, повинна закриватися пробкою або клапаном відповідно до наступних вимог: a) кожна пробка або кожний клапан кріпляться безпосередньо до посудини під тиском за допомогою конічного нарізного з’єднання й повинні мати змогу витримувати випробувальний тиск, якому піддається посудина під тиском, без ушкоджень або витоку; b) кожний клапан повинен бути типу, що не ущільнюється, з суцільною діафрагмою, однак у випадку корозійних речовин клапан може бути типу, що ущільнюється, причому газонепроникність клапана в зборі забезпечується ущільнюючим ковпачком із прокладною сполукою, який з’єднується з корпусом клапана або посудиною під тиском, щоб не допустити просочування речовини крізь ущільнення або в обхід нього; c) випускний отвір кожного клапана герметично закривається різьбовою кришкою або міцною різьбовою пробкою й інертним прокладним матеріалом; d) матеріали, з яких виготовляються посудини під тиском, клапани, пробки, кришки, замазка й прокладки, повинні бути сумісні між собою й із умістом. Кожна посудина під тиском, товщина стінок якої в будь-якій точці становить менше 2,0 мм, і кожна посудина під тиском, що не має встановленого засобу захисту клапана, перевозиться в зовнішній тарі. Посудини під тиском не повинні поєднуватися в комплект або з’єднуватися одна з одною. |
|
Спеціальне положення з упакування: PP82 (Виключено) |
|
Спеціальні положення з упакування, передбачені МПНВ і ДОПНВ: RR3 (Виключено) RR7 Для № ООН 1251: посудини під тиском повинні, однак, проходити випробування кожні п’ять років. RR10 Для № ООН 1614: коли речовина повністю абсорбована інертним пористим матеріалом, вона повинна впаковуватися в металеві посудини місткістю не більше 7,5 л, поміщені в дерев’яні ящики таким чином, щоб вони не могли стикатися. Посудини повинні бути повністю заповнені пористим матеріалом, який не повинен осідати або утворювати небезпечні порожнечі навіть після тривалого використання й у випадку поштовхів, навіть при температурах, що досягають 50 °С. |
|
P602 ІНСТРУКЦІЯ З УПАКУВАННЯ P602 |
|
За умови дотримання загальних положень, викладених у розділах 4.1.1 і 4.1.3, і герметичної укупорки тари дозволяється використовувати наступну тару: (1) Комбіновану тару максимальною масою брутто 15 кг, що складається з − однієї або декількох одиниць скляної внутрішньої тари місткістю не більше 1 літра кожна, заповнених не більше ніж на 90% їх місткості; затвор(и) повинен(і) утримуватися на місці за допомогою будь-якого засобу, здатного запобігти ослабленню або відкриванню затвора від удару або вібрації в ході перевезення; кожна одиниця внутрішньої тари повинна бути поміщена в − металеву посудину разом із прокладним і абсорбувальним матеріалом у кількості, якої достатньо для поглинання всього вмісту скляної внутрішньої тари; ці посудини впаковуються у свою чергу в − зовнішню тару 1A1, 1A2, 1B1, 1B2, 1N1, 1N2, 1H1, 1H2, 1D, 1G, 4A, 4B, 4N, 4C1, 4C2, 4D, 4F, 4G або 4H2. (2) Комбіновану тару, що складається з металевої або пластмасової внутрішньої тари, окремо впакованої з абсорбувальним матеріалом у кількості, якої достатньо для поглинання вмісту, та інертним прокладним матеріалом у зовнішню тару 1A1, 1A2, 1B1, 1B2, 1N1, 1N2, 1H1, 1H2, 1D, 1G, 4A, 4B, 4N, 4C1, 4C2, 4D, 4F, 4G або 4H2 максимальною масою брутто 75 кг. Внутрішня тара повинна заповнюватися не більше ніж на 90% її місткості. Затвор кожної внутрішньої тари повинен утримуватися на місці за допомогою будь-якого засобу, здатного запобігти ослабленню або відкриванню затвора від удару або вібрації в ході перевезення. Місткість внутрішньої тари не повинна перевищувати 5 літрів. (3) Барабани й складену тару (1A1, 1B1, 1N1, 1H1, 6HA1 або 6НН1) при дотриманні наступних умов: а) випробування на гідравлічний тиск повинні проводитися при тиску не менше 0,3 МПа (манометричний тиск); b) конструкційні й виробничі випробування на герметичність повинні проводитися при випробувальному тиску 30 кПа; і с) у якості затворів повинні використовуватися кришки, що нагвинчуються; вони повинні: i) утримуватися на місці за допомогою будь-якого засобу, здатного запобігти ослабленню або відкриванню затвора від удару або вібрації в ході перевезення; і ii) бути оснащені запобіжними ковпаками. (4) Посудини під тиском, за умови дотримання загальних положень, викладених у підрозділі 4.1.3.6. Вони повинні проходити первинне випробування й кожні десять років періодичне випробування при тиску, що становить не менше 1 МПа (10 бар) (манометричний тиск). Посудини під тиском не повинні обладнуватися пристроєм для скидання тиску. Кожна посудина під тиском, що містить токсичну при вдиханні рідину, ЛК50 якої становить 200 мл/м3 (млн.–1) або менше, повинна закриватися пробкою або клапаном відповідно до наступних вимог: a) кожна пробка або кожний клапан кріпляться безпосередньо до посудини під тиском за допомогою конічного нарізного з’єднання й повинні мати змогу витримувати випробувальний тиск, якому піддається посудина під тиском, без ушкоджень або витоку; b) кожний клапан повинен бути типу, що не ущільнюється, з суцільною діафрагмою, однак у випадку корозійних речовин клапан може бути типу, що ущільнюється, причому газонепроникність клапана в зборі забезпечується ущільнюючим ковпачком із прокладним з'єднанням, який з’єднується з корпусом клапана або посудиною під тиском, щоб не допустити просочування речовини крізь ущільнення або в обхід нього; c) випускний отвір кожного клапана герметично закривається різьбовою кришкою або міцною різьбовою пробкою й інертним прокладним матеріалом; d) матеріали, з яких виготовляються посудини під тиском, клапани, пробки, кришки, замазка й прокладки, повинні бути сумісні між собою й із умістом. Кожна посудина під тиском, товщина стінок якої в будь-якій точці становить менше 2,0 мм, і кожна посудина під тиском, що не має встановленого засобу захисту клапана, перевозиться в зовнішній тарі. Посудини під тиском не повинні поєднуватися в комплект або з’єднуватися одна з одною. |
|
P603 |
ІНСТРУКЦІЯ З УПАКУВАННЯ |
P603 |
|
Ця інструкція застосовується до № ООН 3507. |
||
|
За умови дотримання загальних положень, викладених у розділах 4.1.1 і 4.1.3, і спеціальних положень з упакування, викладених у пунктах 4.1.9.1.2, 4.1.9.1.4 і 4.1.9.1.7, дозволяється використовувати наступну тару: Тару, що складається з: a) металевої(их) або пластмасової(их) первинної(их) ємності(ей); b) герметичної твердої вторинної тари; c) твердої зовнішньої тари: барабанів (1A2, 1B2, 1N2, 1H2, 1D, 1G); ящиків (4A, 4B, 4C1, 4C2, 4D, 4F, 4G, 4H1, 4H2); каністр (3A2, 3B2, 3H2). |
||
|
Додаткові вимоги: 1. Первинні внутрішні ємності повинні укладатися у вторинну тару таким чином, щоб у нормальних умовах перевезення виключити можливість їх руйнування, пробою або витоку їх умісту у вторинну тару. Вторинна тара повинна укладатися в зовнішню тару з використанням придатного прокладного матеріалу для уникнення переміщення вторинної тари. Якщо в одну одиницю вторинної тари поміщено кілька первинних ємностей, вони повинні бути або загорнені окремо, або розділені для уникнення взаємного стикання. 2. Уміст повинен відповідати положенням пункту 2.2.7.2.4.5.2. 3. Повинні виконуватися положення розділу 6.4.4. |
||
|
Спеціальне положення з упакування: У випадку подільного-звільненого матеріалу повинні дотримуватися граничні значення, зазначені в пункті 2.2.7.2.3.5. |
||
|
P620 ІНСТРУКЦІЯ З УПАКУВАННЯ P620 |
|
За умови дотримання спеціальних положень з упакування, викладених у розділі 4.1.8, дозволяється використовувати наступну тару: Тару, що відповідає вимогам глави 6.3 і затверджену відповідно до цих вимог; вона складається з наступних компонентів: а) внутрішньої тари, що складається з: i) герметичної(их) первинної(их) ємності(ей); ii) герметичної вторинної тари; iii) крім випадку твердих інфекційних речовин – абсорбівного матеріалу в кількості, якої достатньо для поглинання всього вмісту, поміщеного між первинною(ими) ємністю(ями) і вторинною тарою; якщо в одну одиницю вторинної тари поміщено кілька первинних ємностей, вони повинні бути або загорнені окремо, або розділені для уникнення взаємного стикання; b) твердої зовнішньої тари: барабанів (1A1, 1A2, 1B1, 1B2, 1N1, 1N2, 1H1, 1H2, 1D, 1G); ящиків (4A, 4B, 4N, 4C1, 4C2, 4D, 4F, 4G, 4H1, 4H2); каністр (3A1, 3А2, 3B1, 3В2, 3H1, 3H2). Найменший зовнішній розмір повинен становити не менше 100 мм. |
|
Додаткові вимоги: 1. Внутрішня тара, що містить інфекційні речовини, не повинна поєднуватися із внутрішньою тарою, що містить інші вантажі. Готові упаковки можуть пакетуватися відповідно до положень розділів 1.2.1 і 5.1.2; такі пакети можуть містити сухий лід. 2. Крім таких виняткових вантажів, як цілі органи, для яких потрібна спеціальна упаковка, до вантажів застосовуються наступні додаткові вимоги: a) Речовини, що відправляються при температурі довкілля або при більш високій температурі: первинні ємності повинні бути скляними, металевими або пластмасовими. Для забезпечення герметичності повинні використовуватися такі ефективні засоби, як, наприклад, термозварювання, оперезувальні пробки, або металеві бубони. У випадку використання кришок, що нагвинчуються, такі кришки повинні бути закріплені ефективними засобами, наприклад клейкою стрічкою, герметизувальною стрічкою на основі парафіну або запірним пристроєм промислового виробництва. b) Речовини, що відправляються в охолодженому або замороженому стані: навколо вторинної тари або, як альтернативний варіант, у пакеті з однієї або декількома готовими упаковками, маркірованими відповідно до розділу 6.3.3, повинен міститися лід, сухий лід або інший холодоагент. Вторинна тара або упаковки повинні бути закріплені за допомогою розпірок так, щоб вони не змінювали свого положення після того, як лід розтане або сухий лід випарується. Якщо використовується лід, зовнішня тара або транспортний пакет повинні пропускати газоподібний діоксид вуглецю. Первинна ємність і вторинна тара повинні зберігати свою цілісність при температурі використовуваного холодоагенту. c) Речовини, що відправляються в рідкому азоті: повинні використовуватися пластмасові первинні ємності, здатні витримувати дуже низькі температури. Вторинна тара також повинна витримувати дуже низькі температури, і в більшості випадків вона повинна бути розрахована для розміщення в ній одиночних первинних ємностей. Повинні також дотримуватися положення, що стосуються перевезення рідкого азоту. Первинна ємність і вторинна тара повинні зберігати свою цілісність при температурі рідкого азоту. d) Речовини, піддані сублімаційному сушінню, можуть також перевозитися в первинних ємностях, які являють собою скляні запаяні ампули або скляні пляшечки з гумовою пробкою з металевим ковпачком. 3. Незалежно від передбачуваної температури вантажу, первинна ємність і вторинна тара повинні витримувати, не допускаючи витоку, внутрішній тиск, що перевищує не менше ніж на 95 кПа зовнішній тиск. Дана первинна ємність або вторинна тара повинні також витримувати температуру в діапазоні від –40 °C до +55 °C. 4. Інші небезпечні вантажі не повинні поміщуватися в одну й ту саму тару з інфекційними речовинами класу 6.2, за винятком випадків, коли вони необхідні для підтримки життєздатності, стабілізації або запобігання деградації інфекційних речовин або для нейтралізації видів небезпеки, властивих інфекційним речовинам. У кожну первинну ємність, що містить інфекційні речовини, може поміщуватися 30 мл або менше небезпечних вантажів, включених у класи 3, 8 або 9. Якщо ці невеликі кількості небезпечних вантажів класів 3, 8 або 9 упаковані відповідно до цієї інструкції з упакування, то на них не поширюються які-небудь додаткові вимоги ДОПНВ. 5. Використання альтернативної тари для перевезення матеріалу тваринного походження може бути дозволене компетентним органом країни походження а відповідно до положень пункту 4.1.8.7. |
a Якщо країна походження не є Договірною стороною ДОПНВ, то компетентним органом першої країни, що є Договірною стороною ДОПНВ, за маршрутом перевезення вантажу.
|
P621 ІНСТРУКЦІЯ З УПАКУВАННЯ P621 |
|
Ця інструкція застосовується до № ООН 3291. |
|
За умови дотримання загальних положень, викладених у розділах 4.1.1, за винятком пункту 4.1.1.15, і 4.1.3, дозволяється використовувати наступну тару: (1) За умови наявності абсорбувального матеріалу в кількості, якої достатньо для поглинання всієї наявної рідини, і за умови здатності тари втримувати рідини: барабани (1A1, 1A2, 1B1, 1B2, 1N1, 1N2, 1H1, 1H2, 1D, 1G); ящики (4A, 4B, 4N, 4C1, 4C2, 4D, 4F, 4G, 4H1, 4H2); каністри (3A 1, 3A2, 3B1, 3B2, 3H1, 3H2). Тара повинна відповідати експлуатаційним вимогам для твердих речовин групи упакування II. (2) Для упаковок, що містять більші кількості рідини: барабани (1A1, 1A2, 1B1, 1B2, 1N1, 1N2, 1H1, 1H2, 1D, 1G); каністри (3A1, 3A2, 3B1, 3B2, 3H1, 3H2); Складана тара (6HA1, 6HB1, 6HG1, 6HH1, 6HD1, 6HA2, 6HB2, 6HC, 6HD2, 6HG2, 6HH2, 6PA1, 6PB1, 6PG1, 6PD1, 6PH1, 6PH2, 6PA2, 6PB2, 6PC, 6PG2 або 6PD2). Тара повинна відповідати експлуатаційним вимогам для рідин групи упакування II. |
|
Додаткова вимога: |
|
Тара, призначена для розміщення в ній гострих предметів, таких як осколки скла й голки, повинна бути такою, що важко пробивається, і повинна втримувати рідини в умовах випробувань, передбачених у главі 6.1. |
|
P622 |
ІНСТРУКЦІЯ З УПАКУВАННЯ |
P622 |
||
|
Ця інструкція застосовується до відходів під № ООН 3549, що перевозяться на утилізацію. |
||||
|
За умови дотримання загальних положень, викладених у розділах 4.1.1 і 4.1.3, дозволяється використовувати таку тару: |
||||
|
Внутрішня тара |
Проміжна тара |
Зовнішня тара |
||
|
Металева пластмасова |
металева пластмасова |
Ящики сталеві (4А) алюмінієві (4B) інші металеві (4N) фанерні (4D) з фібрового картону (4G) з твердої пластмаси (4Н2) Барабани сталеві (1A2) алюмінієві (1B2) інші металеві (1N2) фанерні (1D) фіброві (1G) пластмасові (1H2) Каністри сталеві (3A2) алюмінієві (3B2) пластмасові (3H2) |
||
|
Зовнішня тара повинна відповідати експлуатаційним вимогам для групи упакування I у випадку твердих речовин. |
||||
|
Додаткові вимоги: |
||||
|
1. Крихкі вироби повинні міститися у твердій внутрішній тарі або у твердій проміжній тарі. 2. Внутрішня тара, що містить гострі предмети, такі як осколки скла й голки, повинна бути твердою й проколостійкою. 3. Внутрішня тара, проміжна тара й зовнішня тара повинна бути здатна втримувати рідину. Зовнішня тара, яка за своєю конструкцією не здатна втримувати рідину, повинна бути оснащена вкладишем або придатним засобом утримання рідини. 4. Внутрішня тара й/або проміжна тара може бути м'якою. Коли використовується м'яка тара, вона повинна бути в змозі витримувати випробування на ударну міцність не менше 165 г відповідно до стандарту ISO 7765-1:1988 «Плівки й листи полімерні − Визначення ударної міцності методом вільно падаючого вантажу − Частина 1: Східчасті методи» і випробування на опір роздиру не менше 480 г як у паралельних, так і в перпендикулярних площинах стосовно довжини мішка відповідно до стандарту ISO 6383-2:1983 «Пластмаси - Плівка й листовий матеріал − Визначення опору роздиру – Частина 2: Метод Елмендорфа». Максимальна маса нетто м'якої внутрішньої тари повинна становити 30 кг. 5. М'яка проміжна тара повинна містити тільки одну одиницю внутрішньої тари. 6. Внутрішня тара, що містить невелику кількість вільної рідини, може бути поміщена в проміжну тару за умови наявності у внутрішній або проміжній тарі достатньої кількості абсорбувального або отверджуючого матеріалу для поглинання або затвердіння всього наявного рідкого вмісту. Повинен використовуватися придатний абсорбувальний матеріал, що витримує температуру й вібрацію, які можуть виникнути у нормальних умовах перевезення. 7. Проміжна тара повинна бути закріплена в зовнішній тарі з використанням придатного прокладного й/або абсорбувального матеріалу. |
||||
|
P650 ІНСТРУКЦІЯ З УПАКУВАННЯ Р650 |
|
Ця інструкція застосовується до № ООН 3373. |
|
(1) Тара повинна бути доброякісною, досить міцною, щоб витримувати удари й навантаження, що зазвичай виникають у ході перевезення, у тому числі при перевантаженні між вантажними транспортними одиницями або між вантажними транспортними одиницями й складами, а також при будь-якому переміщенні з піддона або вилученні з транспортного пакета з метою наступної ручної або механічної обробки. Тара повинна бути сконструйована й закрита таким чином, щоб виключити втрату вмісту, яка може відбутися в нормальних умовах перевезення в результаті вібрації, зміни температури, вологості або тиску. (2) Тара повинна складатися, як мінімум, із трьох компонентів: a) первинної ємності; b) вторинної тари; і c) зовнішньої тари, причому або вторинна, або зовнішня тара повинна бути твердою. (3) Первинні ємності повинні укладатися у вторинну тару таким чином, щоб у нормальних умовах перевезення виключити можливість їх руйнування, пробою або витоку їх умісту у вторинну тару. Вторинна тара повинна укладатися в зовнішню тару з використанням придатного прокладного матеріалу. Будь-який витік умісту не повинен суттєво погіршувати захисні властивості прокладного матеріалу або зовнішньої тари. (4) Для перевезення маркувальний знак, зображений нижче, повинен наноситися на зовнішню поверхню зовнішньої тари, що контрастує з ним по кольору; він повинен бути добре видний і легко читатися. Маркувальний знак повинен бути у формі поверненого на 45° квадрата (ромба) з мінімальними розмірами 50 мм × 50 мм; ширина окантовки повинна становити не менше 2 мм; а висота літер і цифр – не менше 6 мм. Належне відвантажувальне найменування «БІОЛОГІЧНИЙ ПРЕПАРАТ, КАТЕГОРІЯ В» повинен бути виконаний літерами висотою не менше 6 мм на зовнішній тарі поруч із ромбоподібним знаком.
(5) Як мінімум одна з поверхонь зовнішньої тари повинна мати мінімальний розмір 100 мм × 100 мм. (6) Готова упаковка повинна мати змогу витримати описане в пункті 6.3.5.3 випробування на падіння, як це зазначено в пункті 6.3.5.2, з висоти 1,2 м. Після відповідної серії скидань не повинен відбуватися витік вмісту з первинної(их) ємності(ей), яка(і) повинна(і) бути як і раніше забезпечена(і), коли це потрібно, абсорбувальним матеріалом у вторинній тарі. (7) Для рідин: a) первинна(і) ємність(і) повинна (повинні) бути герметичною(ими); b) вторинна тара повинна бути герметичною; c) якщо в одну одиницю вторинної тари поміщуються кілька крихких первинних ємностей, вони повинні бути або загорнені окремо, або розділені для уникнення стикання; d) між первинною(ими) ємністю(ями) і вторинною тарою повинен бути поміщений абсорбувальний матеріал. Абсорбувальний матеріал повинен використовуватися в кількості, якої достатньо для поглинання всього вмісту первинної(их) ємності(ей), так щоб будь-який витік рідини не погіршував суттєво захисні властивості прокладного матеріалу або зовнішньої тари; e) первинна ємність або вторинна тара повинні мати змогу витримати без протікання внутрішній тиск, що дорівнює 95 кПа (0,95 бар). (8) Для твердих речовин: a) первинна(і) ємність (ємності) повинна (повинні) бути непроникною(ими) для сипучих речовин; b) вторинна тара повинна бути непроникною для сипучих речовин; c) якщо в одну одиницю вторинної тари поміщуються кілька крихких первинних ємностей, вони повинні бути або загорнені окремо, або розділені для уникнення стикання; d) якщо є сумніви з приводу того, що в первинній ємності під час перевезення може бути присутньою залишкова рідина, то в цьому випадку повинна використовуватися тара, що підходить для рідин, з абсорбувальними матеріалами. (9) Охолоджені або заморожені зразки: лід, сухий лід і рідкий азот: a) якщо сухий лід або рідкий азот використовується як холодоагент, повинні застосовуватися вимоги розділу 5.5.3. Коли використовується лід, його необхідно поміщати за межами вторинної тари або в зовнішню тару або транспортний пакет. Вторинна тара повинна бути закріплена за допомогою розпірок так, щоб вона не змінювала свого первинного положення. Якщо використовується лід, зовнішня тара або транспортний пакет повинні бути вологонепроникними; b) первинна ємність і вторинна тара повинні зберігати свою цілісність при температурі використовуваного холодоагенту, а також при температурах і тисках, які могли б виникнути у випадку втрати холодоагенту. (10) Якщо упаковки поміщуються в транспортний пакет, то маркувальні знаки на упаковках, встановлені цією інструкцією з упакування, повинні бути або чітко видні, або продубльовані на зовнішній поверхні транспортного пакета. (11) Упаковані інфекційні речовини під № ООН 3373 і упаковки, маркіровані відповідно до цієї інструкції з упакування, не підпадають під дію ніякої іншої вимоги ДОПНВ. (12) Виробники тари й підприємства, що займаються її наступним продажем, повинні давати чіткі настанови щодо заповнення й закриття таких упаковок відправнику вантажу або особі, що підготовляє упаковки (наприклад, пацієнту), для того щоб ці упаковки були належним чином підготовлені до перевезення. (13) Інші небезпечні вантажі не повинні поміщатися в одну й ту саму тару з інфекційними речовинами класу 6.2, за винятком випадків, коли вони необхідні для підтримки життєздатності, стабілізації або запобігання деградації інфекційних речовин або для нейтралізації видів небезпеки, властивих інфекційним речовинам. У кожну первинну ємність, що містить інфекційні речовини, може поміщуватися 30 або менше мілілітрів небезпечних речовин, включених у класи 3, 8 або 9. Якщо ці невеликі кількості небезпечних вантажів поміщуються разом з інфекційними речовинами відповідно до цієї інструкції з упакування, то виконувати інші вимоги ДОПНВ не потрібно. (14) Якщо у вантажній транспортній одиниці пролилася або розсипалася яка-небудь речовина, її не можна знову використовувати доти, поки не буде зроблене її ретельне очищення й, за необхідності, дезінфекція або дезактивація. Будь-які інші вантажі й вироби, що перевозилися в тій же самій вантажній транспортній одиниці, повинні бути перевірені на предмет можливого забруднення. |
|
Додаткова вимога: Використання альтернативної тари для перевезення матеріалу тваринного походження може бути дозволене компетентним органом країни походження a відповідно до положень пункту 4.1.8.7. |
a Якщо країна походження не є Договірною стороною ДОПНВ, то компетентним органом першої країни, що є Договірною стороною ДОПНВ, за маршрутом перевезення вантажу.
|
P800 ІНСТРУКЦІЯ З УПАКУВАННЯ P800 |
|
|
За умови дотримання загальних положень, викладених у розділах 4.1.1 і 4.1.3, дозволяється використовувати наступну тару: (1) посудини під тиском, за умови дотримання загальних положень, викладених у підрозділі 4.1.3.6; (2) сталеві фляги або сулії з різьбовими затворами місткістю не більше 3 л; або (3) комбіновану тару, що відповідає наступним вимогам: а) внутрішня тара повинна включати скляні, металеві або тверді пластмасові посудини, призначені для рідин, максимальною масою нетто по 15 кг кожний; b) внутрішня тара повинна бути обкладена прокладним матеріалом у кількості, якої достатньо для запобігання її руйнуванню; с) або внутрішня, або зовнішня тара повинна бути оснащена внутрішнім вкладишем або мішком з міцного, непроникного й стійкого до проколу матеріалу, який не вступає в реакцію із умістом і повністю ізолює його для запобігання його витоку з упаковки, незалежно від її розміщення або розташування; d) дозволяється використовувати наступні види зовнішньої тари з наступними максимальними значеннями маси нетто: |
|
|
Зовнішня тара: |
Максимальна маса нетто |
|
Барабани сталеві (1А1, 1A2) інші металеві, крім сталевих або алюмінієвих (1N1, 1N2) пластмасові (1Н1, 1H2) фанерні (1D) фіброві (1G) |
400 кг 400 кг 400 кг 400 кг 400 кг |
|
Ящики сталеві (4A) металеві, крім сталевих або алюмінієвих (4N) з природної деревини (4C1) з природної деревини, із щільно пригнаними стінками (4C2) фанерні (4D) з деревного матеріалу (4F) з фібрового картону (4G) з пінопласту (4H1) з твердої пластмаси (4H2) |
400 кг 400 кг 250 кг 250 кг 250 кг 125 кг 125 кг 60 кг 125 кг |
|
Спеціальне положення з упакування: PP41 Для № ООН 2803: за необхідності перевезення галію при низьких температурах з метою його збереження в повністю твердому стані зазначена вище тара може пакетуватися в міцну вологонепроникну зовнішню тару, що містить сухий лід або інший холодоагент. У випадку застосування холодоагенту всі зазначені вище матеріали, використовувані для упакування галію, повинні мати хімічну й фізичну стійкість до холодоагенту й достатню ударну міцність при низьких температурах застосовуваного холодоагенту. При використанні сухого льоду зовнішня тара повинна пропускати газоподібний діоксид вуглецю. |
|
|
P801 ІНСТРУКЦІЯ З УПАКУВАННЯ |
|
Ця інструкція застосовується до № ООН 2794, 2795 і 3028 і відпрацьованих батарей під № ООН 2800. |
|
За умови дотримання положень, викладених у пунктах 4.1.1.1, 4.1.1.2, 4.1.1.6 і розділі 4.1.3, дозволяється використовувати таку тару: 1) Тверду зовнішню тару, дерев'яні лати або піддони. Крім того, повинні виконуватися такі умови: a) при штабелюванні батарей штабель повинен складатися з ярусів, розділених шаром електронепровідного матеріалу; b) контактні клеми батарей не повинні піддаватися впливу маси інших елементів, розташованих зверху; c) батареї повинні бути упаковані або закріплені, щоб уникнути їх мимовільного переміщення; d) батареї не повинні текти у нормальних умовах перевезення або повинні бути вжиті відповідні заходи для запобігання витіканню електроліту з упаковки (наприклад, індивідуальна упаковка батарей або використання інших ефективних методів); і e) батареї повинні бути захищені від короткого замикання. 2) Для перевезення відпрацьованих батарей можуть також використовуватися ящики з нержавіючої сталі або пластмаси. Крім того, повинні виконуватися такі умови: a) ящики повинні бути стійкими до впливу електроліту, що міститься в батареях; b) ящики не повинні заповнюватися на висоту, що перевищує висоту їх бічних стінок; c) зовні ящиків не повинно бути залишків електроліту, що міститься в батареях; d) у нормальних умовах перевезення електроліт не повинен витікати з ящиків; e) повинні бути вжиті заходи для забезпечення того, щоб заповнені ящики не втрачали свого вмісту; f) повинні бути вжиті заходи для запобігання короткому замиканню (наприклад, розрядження батарей, індивідуальний захист клем батарей і т.д.); і g) ящики для батарей повинні: i) покриватися; або ii) перевозитися в закритих або критих брезентом транспортних засобах або контейнерах. ПРИМІТКА: Маса нетто тари, дозволеної в пунктах (1) і (2), може перевищувати 400 кг (див. пункт 4.1.3.3). |
|
P801 ІНСТРУКЦІЯ З УПАКУВАННЯ P801 |
|
(Виключено) |
|
P802 ІНСТРУКЦІЯ З УПАКУВАННЯ P802 |
|
За умови дотримання загальних положень, викладених у розділах 4.1.1 і 4.1.3, дозволяється використовувати наступну тару: (1) Комбіновану тару: Зовнішня тара: 1А1, 1А2, 1В1, 1В2, 1N1, 1N2, 1H1, 1H2, 1D, 1G, 4A, 4B, 4N, 4C1, 4C2, 4D, 4F, 4G або 4H2. Максимальна маса нетто: 75 кг. Внутрішня тара: скляна або пластмасова; максимальна місткість: 10 літрів. (2) Комбіновану тару: Зовнішня тара: 1А1, 1А2, 1В1, 1В2, 1N1, 1N2, 1H1, 1H2, 1D, 1G, 4A, 4B, 4N, 4C1, 4C2, 4D, 4F, 4G або 4H2. Максимальна маса нетто: 125 кг. Внутрішня тара: металева; максимальна місткість: 40 літрів. (3) Складену тару: скляна посудина в зовнішньому сталевому, алюмінієвому або фанерному барабані (6PA1, 6PB1 або 6PD1), або в зовнішньому сталевому, алюмінієвому або дерев’яному ящику, або в зовнішньому плетеному кошику (6PA2, 6PB2, 6PC або 6PD2), або в зовнішній тарі з твердої пластмаси (6PH2); максимальна місткість: 60 л. (4) Сталеві барабани (1A1) максимальною місткістю 250 літрів. (5) Посудини під тиском, за умови дотримання загальних положень, викладених у підрозділі 4.1.3.6. |
|
P803 ІНСТРУКЦІЯ З УПАКУВАННЯ P803 |
|
Ця інструкція застосовується до № ООН 2028. |
|
За умови дотримання загальних положень, викладених у розділах 4.1.1 і 4.1.3, дозволяється використовувати наступну тару: (1) барабани (1A2, 1B2, 1N2, 1H2, 1D, 1G); (2) ящики (4A, 4B, 4N, 4C1, 4C2, 4D, 4F, 4G, 4H2). Максимальна маса нетто: 75 кг. Вироби повинні бути індивідуально впаковані й відділені один від одного за допомогою перегородок, роздільників, внутрішньої тари або прокладного матеріалу з метою запобігання випадковому випуску вмісту в нормальних умовах перевезення. |
|
P804 ІНСТРУКЦІЯ З УПАКУВАННЯ P804 |
|
Ця інструкція застосовується до № ООН 1744. |
|
За умови дотримання загальних положень, викладених у розділах 4.1.1 і 4.1.3, і герметичного упакування тари, дозволяється використовувати наступну тару: (1) Комбіновану тару максимальною масою брутто 25 кг, що складається з: – однієї або декількох одиниць скляної внутрішньої тари місткістю не більше 1,3 літра кожна, заповнених не більше ніж на 90% їх місткості; затвор(и) повинен (повинні) утримуватися на місці за допомогою будь-якого засобу, здатного запобігти ослабленню або відкриванню затвора від удару або вібрації в ході перевезення; внутрішня тара повинна окремо впаковуватися в – металеві посудини або посудини з твердої пластмаси разом із прокладним або абсорбувальним матеріалом у кількості, якої достатньо для поглинання всього вмісту скляної внутрішньої тари, а потім укладатися в – зовнішню тару 1A1, 1A2, 1B1, 1B2, 1N1, 1N2, 1H1, 1H2, 1D, 1G, 4A, 4B, 4N, 4C1, 4C2, 4D, 4F, 4G або 4H2. (2) Комбіновану тару, що складається з металевої внутрішньої тари або внутрішньої тари з полівініліденфториду (ПВДФ) місткістю не більше 5 літрів, окремо впакованої з абсорбувальним матеріалом у кількості, якої достатньо для поглинання вмісту, та інертним прокладним матеріалом у зовнішню тару 1A1, 1A2, 1B1, 1B2, 1N1, 1N2, 1H1, 1Н2, ID, 1G, 4А, 4В, 4N, 4С1, 4С2, 4D, 4F, 4G або 4Н2 максимальною масою брутто 75 кг. Внутрішня тара повинна заповнюватися не більше ніж на 90% її місткості. Затвор кожної внутрішньої тари повинен утримуватися на місці за допомогою будь-якого засобу, здатного запобігти ослабленню або відкриванню затвора від удару або вібрації в ході перевезення. (3) Тару, що складається з: Зовнішньої тари: сталевих або пластмасових барабанів (1A1, 1А2, 1H1 або 1Н2), випробуваних відповідно до передбачених у розділі 6.1.5 вимог до випробувань при масі, що відповідає масі тари в зібраному вигляді, підготовленої або як тара, призначена для розміщення в ній внутрішньої тари, або як одиночна тара, призначена для розміщення в ній твердих речовин або рідин і відповідним чином маркірована. Внутрішньої тари: барабанів і складеної тари (1А1, 1В1, IN1, 1H1 або 6НА1), що відповідають вимогам глави 6.1 для одиночної тари, при дотриманні наступних умов: a) випробування на гідравлічний тиск повинно проводитися при тиску не нижче 300 кПа (3 бар) (манометричний тиск); b) конструкційні й виробничі випробування на герметичність повинні проводитися при випробувальному тиску 30 кПа (0,3 бар); c) внутрішня тара повинна бути ізольована від поверхні зовнішнього барабана за допомогою інертного протиударного прокладного матеріалу, що оточує внутрішню тару з усіх боків; d) її місткість не повинна перевищувати 125 літрів; e) у якості затворів повинні використовуватися кришки, що нагвинчуються; вони повинні: i) утримуватися на місці за допомогою будь-якого засобу, здатного запобігти ослабленню або відкриванню затвора від удару або вібрації в ході перевезення; ii) бути оснащені запобіжними ковпаками; f) зовнішня й внутрішня тара повинна періодично проходити внутрішній огляд й випробуваня на герметичність відповідно до підпункту b) не рідше, ніж кожні два з половиною роки; і g) зовнішня й внутрішня тара повинна мати розбірливе й довговічне маркування, що включає: i) дату (місяць, рік) первинного випробування й останнього періодичного випробування й огляду внутрішньої тари; і ii) прізвище або затверджений символ експерта, що проводив випробування й огляди. (4) Посудини під тиском за умови дотримання загальних положень, викладених у підрозділі 4.1.3.6. a) Вони повинні проходити первинне випробування й кожні 10 років періодичне випробування при тиску, що становить не менше 1 МПа (10 бар) (манометричний тиск); b) вони повинні періодично піддаватися внутрішньому огляду й випробуванню на герметичність не рідше, ніж кожні два з половиною роки; c) вони не повинні обладнуватися пристроєм для скидання тиску; d) кожна посудина під тиском повинна закриватися пробкою або клапаном (клапанами), оснащеним додатковим запірним пристроєм; і e) матеріали, з яких виготовляються посудини під тиском, клапани, пробки, кришки, замазка й прокладки, повинні бути сумісні між собою та з умістом. |
|
P900 ІНСТРУКЦІЯ З УПАКУВАННЯ P900 |
|
(Зарезервовано) |
|
P901 ІНСТРУКЦІЯ З УПАКУВАННЯ P901 |
|
Ця інструкція застосовується до № ООН 3316. |
|
За умови дотримання загальних положень, викладених у розділах 4.1.1 або 4.1.3, дозволяється використовувати наступну комбіновану тару: барабани (1A1, 1A2, 1B1, 1B2, 1N1, 1N2, 1H1, 1H2, 1D, 1G); ящики (4A, 4B, 4N, 4C1, 4C2, 4D, 4F, 4G, 4H1, 4H2); каністри (3A1, 3A2, 3B1, 3B2, 3H1, 3H2). Тара повинна відповідати експлуатаційним вимогам для групи упакування, до якої віднесений увесь комплект (див. спеціальне положення 251 глави 3.3). Якщо комплект містить тільки небезпечні вантажі, яким не призначена яка-небудь група упакування, тара повинна відповідати експлуатаційним вимогам для групи упакування II. Максимальна кількість небезпечних вантажів на зовнішню тару: 10 кг, крім маси твердого діоксиду вуглецю (сухого льоду), використовуваного в якості холодоагенту. |
|
Додаткова вимога: Небезпечні вантажі, що містяться в комплектах, повинні впаковуватися у внутрішню тару, яка повинна бути захищена від інших матеріалів, що містяться в комплекті. |
|
P902 ІНСТРУКЦІЯ З УПАКУВАННЯ P902 |
|
Ця інструкція застосовується до № ООН 3268. |
|
Упаковані вироби: За умови дотримання загальних положень, викладених у розділах 4.1.1 або 4.1.3, дозволяється використовувати наступну тару: барабани (1A2, 1B2, 1N2, 1H2, 1D, 1G); ящики (4A, 4B, 4N, 4C1, 4C2, 4D, 4F, 4G, 4H1, 4H2); каністри (3A2, 3B2, 3H2). Тара повинна відповідати експлуатаційним вимогам для групи упакування III. Тара повинна бути сконструйована й виготовлена таким чином, щоб не відбувалося переміщень виробів і випадкового спрацьовування в нормальних умовах перевезення. |
|
Неупаковані вироби: Вироби можуть також перевозитися без упаковки в спеціальних транспортно-завантажувальних пристроях і вантажних транспортних одиницях, коли вони перевозяться від місця їх виготовлення до місця складання, включаючи проміжне місце обробки. |
|
Додаткова вимога: Будь-яка посудина під тиском повинна відповідати вимогам компетентного органу щодо речовини (речовин), що міститься(яться) у ній. |
|
P903 ІНСТРУКЦІЯ З УПАКУВАННЯ P903 |
|
Ця інструкція застосовується до № ООН 3090, 3091, 3480 і 3481. |
|
Для цілей цієї інструкції з упакування «обладнання» означає обладнання, для якого літієві елементи або батареї будуть забезпечувати електроживлення для його функціонування.За умови дотримання загальних положень, викладених у розділах 4.1.1 і 4.1.3, дозволяється використовувати наступну тару: (1) Для елементів і батарей: барабани (1A2, 1B2, 1N2, 1H2, 1D, 1G); ящики (4A, 4B, 4N, 4C1, 4C2, 4D, 4F, 4G, 4H1, 4H2); каністри (3A2, 3B2, 3H2). Елементи або батареї повинні впаковуватися в тару таким чином, щоб елементи або батареї були захищені від ушкодження, яке може бути викликане переміщенням або розташуванням елементів або батарей усередині тари. Тара повинна відповідати експлуатаційним вимогам для групи упакування II. (2) Крім того, для елемента або батареї, маса брутто яких становить не менше 12 кг і які мають міцний, ударотривкий корпус, а також для комплектів таких елементів або батарей: a) міцну зовнішню тару; b) захисні оболонки (наприклад, повністю закриті або дерев’яні лати); або с) піддони або інші транспортно-завантажувальні пристрої. Елементи або батареї повинні бути закріплені для уникнення випадкового переміщення, а їх контактні клеми не повинні піддаватися впливу ваги інших елементів, розташованих зверху. Тара необов’язково повинна відповідати вимогам пункту 4.1.1.3. (3) Для елементів або батарей, упакованих з обладнанням: тару, що відповідає вимогам пункту (1) цієї інструкції з упакування, яка поміщується потім з обладнанням у зовнішню тару; або тару, яка повністю захищає елементи або батареї і яка поміщується потім з обладнанням у тару, що відповідає вимогам пункту (1) цієї інструкції з упакування. Обладнання повинно бути закріплене для уникнення переміщення усередині зовнішньої тари. (4) Для елементів або батарей, що містяться в обладнанні: міцну зовнішню тару, що виготовлена з придатного матеріалу й що має належну міцність і конструкцію залежно від місткості тари і її призначення. Вона повинна бути сконструйована таким чином, щоб не відбувалося випадкового спрацьовування під час перевезення. Тара необов’язково повинна відповідати вимогам пункту 4.1.1.3. Великогабаритне обладнання може передаватися для перевезення в неупакованому вигляді або на піддонах, якщо обладнання, у якому містяться елементи або батареї, забезпечує їм еквівалентний захист. Коли вони навмисно активовані, пристрої, такі як мітки системи радіочастотної ідентифікації (RFID), годинник і реєстратори температури, не здатні викликати небезпечне виділення тепла, можуть перевозитися в міцній зовнішньої тарі. ПРИМІТКА: Для перевезення в транспортному ланцюзі, що включає повітряне перевезення, дані пристрої, коли вони активовані, повинні відповідати встановленим нормам електромагнітного випромінювання, для того щоб функціонування даних пристроїв не створювало перешкод у роботі систем повітряних суден. 5) Для тари, що містить як елементи або батареї, упаковані з обладнанням, так і елементи або батареї, що містяться в обладнанні: a) для елементів і батарей – тару, яка повністю захищає елементи або батареї і яка міститься потім з обладнанням у тару, що відповідає вимогам пункту 1) цієї інструкції з упакування; або b) тару, що відповідає вимогам пункту 1) цієї інструкції з упакування, яка міститься потім у міцну зовнішню тару, що виготовлена з придатного матеріалу й має належну міцність і конструкцію залежно від місткості тари та її призначення. Зовнішня тара повинна бути сконструйована таким чином, щоб не відбувалося випадкового спрацьовування під час перевезення, і необов'язково повинна відповідати вимогам пункту 4.1.1.3. Обладнання повинно бути закріплено для уникнення переміщення усередині зовнішньої тари. Коли вони навмисно активовані, пристрої, такі як мітки системи радіочастотної ідентифікації (RFID), годинник і реєстратори температури, не здатні викликати небезпечне виділення тепла, можуть перевозитися в міцній зовнішньої тарі. ПРИМІТКА: Для перевезення в транспортному ланцюзі, що включає повітряне перевезення, дані пристрої, коли вони активовані, повинні відповідати встановленим нормам електромагнітного випромінювання, для того щоб функціонування даних пристроїв не створювало перешкод у роботі систем повітряних суден. ПРИМІТКА: Маса нетто тари, дозволеної в пунктах (2), (4) і (5), може перевищувати 400 кг (див. пункт 4.1.3.3). |
|
Додаткова вимога: |
|
Елементи й батареї повинні бути захищені від короткого замикання. |
|
P903a ІНСТРУКЦІЯ З УПАКУВАННЯ P903a |
|
(Виключено) |
|
P903b ІНСТРУКЦІЯ З УПАКУВАННЯ P903b |
|
(Виключено) |
|
P904 ІНСТРУКЦІЯ З УПАКУВАННЯ P904 |
|
Ця інструкція застосовується до № ООН 3245. |
|
Дозволяється використовувати наступну тару: (1) Тару, що відповідає положенням пунктів 4.1.1.1, 4.1.1.2, 4.1.1.4, 4.1.1.8 і розділу 4.1.3 та сконструйовану таким чином, щоб вона задовольняла вимогам відносно конструкції, передбаченим у розділі 6.1.4. Повинна використовуватися зовнішня тара, що виготовлена з придатного матеріалу й що має належну міцність і конструкцію залежно від місткості тари і її призначення. Якщо дана інструкція з упакування застосовується для перевезення внутрішньої тари комбінованої тари, то ця тара повинна бути сконструйована й виготовлена таким чином, щоб виключалася можливість випадкового випадання в нормальних умовах перевезення. (2) Тару, яка необов’язково повинна задовольняти вимогам відносно випробувань тари, передбаченим у частині 6, але повинна задовольняти наступним вимогам: а) внутрішня тара повинна складатися з: i) первинної(их) ємності(ей) і вторинної тари, при цьому первинна(і) ємність (ємності) або вторинна тара повинні бути непроникними для рідин або твердих сипучих речовин; ii) у випадку рідин між первинною(ими) ємністю(ями) і вторинною тарою повинен бути поміщений абсорбувальний матеріал. Абсорбувальний матеріал повинен використовуватися в кількості, якої достатньо для поглинання всього вмісту первинної(их) ємності(ей), так щоб будь-який витік рідини не погіршував суттєво захисні властивості прокладного матеріалу або зовнішньої тари; iii) якщо в одну одиницю вторинної тари поміщуються кілька крихких первинних ємностей, вони повинні бути загорнені окремо або розділені для уникнення взаємного стикання; b) міцність зовнішньої тари повинна відповідати її місткості, масі й призначенню, а її найменший зовнішній розмір повинен становити не менше 100 мм. Для перевезення знак, зображений нижче, повинен наноситися на зовнішню поверхню зовнішньої тари, що контрастує з ним по кольору; він повинен бути добре видний і легко читатися. Маркувальний знак повинен мати форму поверненого на 45° квадрата (ромба) з довжиною сторони не менше 50 мм; ширина окантовки повинна становити не менше 2 мм, а висота літер і цифр − не менше 6 мм.
|
|
Додаткова вимога: Лід, сухий лід і рідкий азот Якщо сухий лід або рідкий азот використовується як холодоагент, повинні застосовуватися вимоги розділу 5.5.3. Коли використовується лід, його необхідно поміщати за межами вторинної тари або в зовнішню тару або транспортний пакет. Вторинна тара повинна бути закріплена за допомогою розпірок так, щоб вона не змінювала свого первинного положення. Якщо використовується лід, зовнішня тара або транспортний пакет повинні бути вологонепроникними. |
|
P905 ІНСТРУКЦІЯ З УПАКУВАННЯ P905 |
|
За умови дотримання загальних положень, викладених у розділах 4.1.1 і 4.1.3, за винятком того, що тара може не відповідати вимогам частини 6, дозволяється використовувати будь-яку придатну тару. ПРИМІТКА: Маса нетто дозволеної тари може перевищувати 400 кг (див. пункт 4.1.3.3). Коли рятувальні засоби сконструйовані так, що містять у собі тверду зовнішню оболонку, стійку до атмосферних впливів (таку, як для рятувальних шлюпок), або поміщуються в таку оболонку, вони можуть перевозитися без упаковки. |
|
Додаткові вимоги: 1. Усі небезпечні речовини й вироби, якими укомплектовані рятувальні засоби, повинні бути закріплені таким чином, щоб не відбувалося мимовільного переміщення, і, крім того: a) сигнальні прилади класу 1 повинні впаковуватися у внутрішню тару із пластмаси або фібрового картону; b) незаймисті нетоксичні гази повинні втримуватися в балонах, затверджених компетентним органом, які можуть бути з’єднані з рятувальним засобом; c) акумуляторні електричні батареї (клас 8) і літієві батареї (клас 9) повинні бути відокремлені або ізольовані й закріплені для уникнення будь-якого витоку рідини; і d) незначні кількості інших небезпечних речовин (наприклад, класів 3, 4.1 і 5.2) повинні впаковуватися в міцну внутрішню тару. 2. При підготовці до перевезення й упаковуванні повинні вживатися належні заходи для запобігання випадковому спрацьовуванню надувального пристрою. |
|
P906 ІНСТРУКЦІЯ З УПАКУВАННЯ P906 |
|||
|
Ця інструкція застосовується до № ООН 2315, 3151, 3152 і 3432. |
|||
|
За умови дотримання загальних положень, викладених у розділах 4.1.1 і 4.1.3, дозволяється використовувати наступну тару: (1) Для рідин і твердих речовин, що містять ПХД, полігалогеновані дифеніли, полігалогеновані терфеніли або галогеновані монометилдифенілметани, або забруднених ними: тару, що відповідає інструкціям P001 або P002, залежно від конкретного випадку. (2) Для трансформаторів, конденсаторів та інших виробів: a) тару, передбачену в інструкціях з упакування P001 або P002. Вироби повинні бути закріплені за допомогою придатного прокладного матеріалу для запобігання випадковому переміщенню в нормальних умовах перевезення; або b) герметичну тару, яка здатна втримувати, крім цих виробів, не менше 1,25 об’єму рідких ПХД, полігалогенованих дифенілів, полігалогенованих терфенілів або галогенованих монометилдифенілметанів, що містяться в них. У тару повинен бути поміщений абсорбувальний матеріал у кількості, якої достатньо для поглинання не менше 1,1 об’єму рідини, що міститься у виробах. Як правило, трансформатори й конденсатори повинні перевозитися в герметичній металевій тарі, яка здатна втримувати, крім трансформаторів і конденсаторів, не менше 1,25 об’єму рідини, що перебуває в них. ПРИМІТКА: Маса нетто дозволеної тари може перевищувати 400 кг (див. пункт 4.1.3.3). Незалежно від вищевикладеного, рідини й тверді речовини, не впаковані відповідно до інструкцій P001 або P002, і неупаковані трансформатори й конденсатори можуть перевозитися у вантажних транспортних одиницях, що обладнані герметичним металевим піддоном висотою не менше 800 мм і містять інертний абсорбувальний матеріал у кількості, якої достатньо для поглинання не менше 1,1 об’єму будь-якої вільної рідини. ПРИМІТКА: Маса нетто дозволеної тари може перевищувати 400 кг (див. пункт 4.1.3.3). |
|||
|
Додаткова вимога: Необхідно вжити належних заходів з герметизації трансформаторів і конденсаторів для уникнення витоку рідини в нормальних умовах перевезення. |
|
P907 |
ІНСТРУКЦІЯ З УПАКУВАННЯ |
P907 |
|
|
Ця інструкція застосовується до виробів, таким як машини, прилади або обладнання, віднесені до № ООН 3363. |
|||
|
Зовнішня тара не потрібна, коли вироби сконструйовані й виготовлені таким чином, що посудини, що містять небезпечні вантажі, належним чином захищені. В іншому випадку небезпечні вантажі, що містяться в виробах, повинні впаковуватися в зовнішню тару, виготовлену з придатного матеріалу, що має належну міцність і конструкцію залежно від місткості тари і її призначення й що відповідає застосовним вимогам пункту 4.1.1.1. Посудини, що містять небезпечні вантажі, повинні відповідати загальним положенням, викладеним у розділі 4.1.1, за винятком пунктів 4.1.1.3, 4.1.1.4, 4.1.1.12 і 4.1.1.14. Для незаймистих, нетоксичних газів внутрішній балон або посудина, його вміст і щільність наповнення повинні відповідати вимогам компетентного органу країни, де проводиться наповнення балона або посудини. Крім того, спосіб розміщення посудин усередині машин або приладів повинен бути таким, щоб у нормальних умовах перевезення ушкодження посудин, що містять небезпечні вантажі, було малоймовірним, а у випадку ушкодження посудин, що містять тверді й рідкі небезпечні вантажі, був неможливий витік небезпечних вантажів з виробів (для виконання даної вимоги може використовуватися герметичний вкладиш). Посудини, що містять небезпечні вантажі, повинні укладатися, закріплюватися або обкладатися прокладним матеріалом таким чином, щоб запобігти їх руйнуванню або витоку з них і обмежити їх переміщення у виробах у нормальних умовах перевезення. Прокладний матеріал не повинен вступати в небезпечну реакцію із умістом посудин. Витік умісту не повинен суттєво погіршувати захисні властивості прокладного матеріалу. ПРИМІТКА: Маса нетто дозволеної тари може перевищувати 400 кг (див. пункт 4.1.3.3). |
|||
|
P908 |
ІНСТРУКЦІЯ З УПАКУВАННЯ |
P908 |
|
Ця інструкція застосовується до ушкоджених або таких, що мають дефекти літій-іонних елементів і батарей, і ушкоджених або таких, що мають дефекти літій-металевих елементів і батарей, у тому числі таких, що містяться в обладнанні, під № ООН 3090, 3091, 3480 і 3481. |
||
|
За умови дотримання загальних положень, викладених у розділах 4.1.1 і 4.1.3, дозволяється використовувати наступну тару: Для елементів і батарей і обладнання, що містить елементи й батареї: барабани (1A2, 1B2, 1N2, 1H2, 1D, 1G); ящики (4A, 4B, 4N, 4C1, 4C2, 4D, 4F, 4G, 4H1, 4H2); каністри (3A2, 3B2, 3H2). Тара повинна відповідати експлуатаційним вимогам для групи упакування II. 1. Кожний елемент, що ушкоджений або що має дефекти, або батарея або обладнання, що містить такі елементи або батареї, повинні впаковуватися окремо у внутрішню тару й поміщатися в зовнішню тару. Внутрішня тара або зовнішня тара повинні бути герметичними для уникнення можливого витоку електроліту. 2. Кожна одиниця внутрішньої тари повинна бути обкладена достатньою кількістю негорючого й електронепровідного теплоізоляційного матеріалу для захисту від небезпечного виділення тепла. 3. Герметизована тара повинна бути за необхідності обладнана вентиляційним обладнанням. 4. Повинні бути вжиті відповідні заходи для мінімізації впливу вібрацій і ударів і запобігання переміщенню елементів або батарей усередині упаковки, яке може призвести до їх подальшого ушкодження й створити небезпеку під час перевезення. Для виконання цієї вимоги може бути також використаний негорючий і електронепровідний прокладний матеріал. 5. Негорючість повинна бути оцінена відповідно до стандарту, визнаного у країні, де була сконструйована або виготовлена тара. У випадку елементів або батарей, що протекли, у внутрішню або зовнішню тару повинна бути поміщена достатня кількість інертного абсорбувального матеріалу, здатного поглинути електроліт, що вивільнився. Кількість елементів або батарей масою нетто більше 30 кг не повинен перевищувати один елемент або одну батарею на одиницю зовнішньої тари. |
||
|
Додаткова вимога: |
||
|
Елементи й батареї повинні бути захищені від короткого замикання. |
||
|
P909 |
ІНСТРУКЦІЯ З УПАКУВАННЯ |
P909 |
|
Ця інструкція застосовується до № ООН 3090, 3091, 3480 і 3481, що перевозяться з метою видалення або переробки, коли вони впаковані разом з нелітієвими батареями або без них. |
||
|
(1) Елементи й батареї повинні впаковуватися відповідно до наступних вимог: a) За умови дотримання загальних положень, викладених у розділах 4.1.1 і 4.1.3, дозволяється використовувати наступну тару: барабани (1A2, 1B2, 1N2, 1H2, 1D, 1G); ящики (4A, 4B, 4N, 4C1, 4C2, 4D, 4F, 4G, 4H2); і каністри (3A2, 3B2, 3H2). b) Тара повинна відповідати експлуатаційним вимогам для групи упакування II. c) Металева тара повинна мати облицювання з електронепровідного матеріалу (наприклад, пластмаси), досить міцного з урахуванням його передбачуваного використання. (2) Однак літій-іонні елементи, потужність яких у ват-годинах не перевищує 20 Вт·год, літій-іонні батареї, потужність яких у ват-годинах не перевищує 100 Вт·год, літій-металеві елементи зі вмістом літію не більше 1 г і літій-металеві батареї із загальним вмістом літію не більше 2 г можуть упаковуватися відповідно до наступних умов: a) у міцну зовнішню тару масою брутто до 30 кг, що відповідає загальним положенням, викладеним у розділах 4.1.1, за винятком пункту 4.1.1.3, і 4.1.3; b) металева тара повинна мати облицювання з електронепровідного матеріалу (наприклад, пластмаси), досить міцного з урахуванням його передбачуваного використання. (3) Для елементів або батарей, що містяться в обладнанні, може використовуватися міцна зовнішня тара, що виготовлена з придатного матеріалу й що має належну міцність і конструкцію залежно від місткості тари і її передбачуваного використання. Тара необов’язково повинна відповідати вимогам пункту 4.1.1.3. Обладнання може також передаватися для перевезення в неупакованому вигляді або на піддонах, якщо обладнання, у якому містяться елементи або батареї, забезпечує їм еквівалентний захист. (4) Крім того, для елементів або батарей, маса брутто яких становить не менше 12 кг і які мають міцний, ударотривкий корпус, може використовуватися міцна зовнішня тара, що виготовлена з придатного матеріалу й що має належну міцність і конструкцію залежно від місткості тари і її передбачуваного використання. Тара необов’язково повинна відповідати вимогам пункту 4.1.1.3. ПРИМІТКА: Маса нетто тари, дозволеної в пунктах (3) і (4), може перевищувати 400 кг (див. пункт 4.1.3.3). |
||
|
Додаткові вимоги: 1. Елементи й батареї повинні бути сконструйовані або впаковані таким чином, щоб не відбувалося короткого замикання й небезпечного виділення тепла. 2. Захист від короткого замикання й небезпечного виділення тепла включає наступне, але не обмежується цим: − індивідуальний захист контактних клем; − внутрішня тара для запобігання контакту між елементами й батареями; − батареї й утоплені в корпус контактні клеми, сконструйовані таким чином, щоб забезпечити захист від короткого замикання; або − використання електронепровідного й негорючого прокладного матеріалу для заповнення порожнеч між елементами або батареями усередині тари. 3. Елементи й батареї повинні бути закріплені усередині зовнішньої тари для уникнення надмірного переміщення під час перевезення (наприклад, шляхом використання негорючого й електронепровідного прокладного матеріалу або шляхом використання герметично закритого пластмасового мішка). |
||
|
P910 |
ІНСТРУКЦІЯ З УПАКУВАННЯ |
P910 |
|
Ця інструкція застосовується до промислових партій, що складаються з не більше ніж 100 елементів і батарей під № ООН 3090, 3091, 3480 і 3481, або до дослідних зразків елементів або батарей під цими номерами ООН, коли ці зразки перевозяться для випробувань. |
||
|
За умови дотримання загальних положень, викладених у розділах 4.1.1 і 4.1.3, дозволяється використовувати наступну тару: (1) Для елементів і батарей, у тому числі впакованих зобладнанням: барабани (1A2, 1B2, 1N2, 1H2, 1D, 1G); ящики (4A, 4B, 4N, 4C1, 4C2, 4D, 4F, 4G, 4H1, 4H2); каністри (3A2, 3B2, 3H2). Тара повинна відповідати експлуатаційним вимогам для групи упакування II і задовольняти наступним вимогам: a) батареї й елементи, включаючи обладнання, різних розмірів, форми або маси повинні впаковуватися в зовнішню тару зазначеного вище випробуваного типу конструкції за умови, що загальна маса брутто упаковки не повинна перевищувати масу брутто, на яку був випробуваний даний тип конструкції; b) кожний елемент або батарея повинні впаковуватися окремо у внутрішню тару й поміщуватися в зовнішню тару; c) кожна одиниця внутрішньої тари повинна бути повністю обкладена достатньою кількістю негорючого й електронепровідного теплоізоляційного матеріалу для захисту від небезпечного виділення тепла; d) повинні бути вжиті відповідні заходи для мінімізації впливу вібрації й удару й запобігання переміщенню елементів або батарей усередині упаковки, яке може призвести до їх ушкодження й створити небезпеку під час перевезення. Для виконання цієї вимоги може бути використаний негорючий і електронепровідний прокладний матеріал; e) негорючість повинна бути оцінена відповідно до стандарту, визнаного у країні, у якій була сконструйована або виготовлена тара; f) кількість елементів або батарей масою нетто більше 30 кг не повинна перевищувати один елемент або одну батарею на одиницю зовнішньої тари. (2) Для елементів і батарей, що містяться в обладнанні: барабани (1A2, 1B2, 1N2, 1H2, 1D, 1G); ящики (4A, 4B, 4N, 4C1, 4C2, 4D, 4F, 4G, 4H1, 4H2); каністри (3A2, 3B2, 3H2). Тара повинна відповідати експлуатаційним вимогам для групи упакування II і задовольняти наступним вимогам: а) обладнання різних розмірів, форми або маси повинно впаковуватися в зовнішню тару зазначеного вище випробуваного типу конструкції за умови, що загальна маса брутто упаковки не повинна перевищувати масу брутто, на яку був випробуваний даний тип конструкції; b) обладнання повинно бути сконструйоване або впаковане таким чином, щоб під час перевезення не відбувалося випадкового спрацьовування; c) повинні бути вжиті відповідні заходи для мінімізації впливу вібрацій і ударів і запобігання переміщенню обладнання усередині упаковки, яке може призвести до його ушкодження й створити небезпеку під час перевезення. Якщо для виконання цієї вимоги використовується прокладний матеріал, він повинен бути негорючим і електронепровідним; і d) негорючість повинна бути оцінена відповідно до стандарту, визнаного у країні, у якій була сконструйована або виготовлена тара. (3) Обладнання або батареї можуть перевозитися в неупакованому вигляді з дотриманням умов, затверджених компетентним органом Договірної сторони ДОПНВ, який може також визнати затвердження, надане компетентним органом країни, що не є Договірною стороною ДОПНВ, за умови, що дане затвердження було надано відповідно до процедур, застосовуваних згідно МПНВ, ВОПНВ, ВОПНВ, МКМПНВ або Технічним інструкціям ІКАО. Додаткові умови, які можуть ураховуватися в процесі затвердження, включають, зокрема наступні умови: а) обладнання або батарея повинні бути досить міцними, щоб витримувати удари й навантаження, що зазвичай виникають під час перевезення, у тому числі при перевантаженні між вантажними транспортними одиницями або між вантажними транспортними одиницями й складами, а також при будь-якому переміщенні з піддона з метою наступної ручної або механічної обробки; b) обладнання або батарея повинні бути встановлені на опори або поміщені в лати або інші транспортно-завантажувальні пристрої таким чином, щоб у нормальних умовах перевезення вони не могли переміщатися. ПРИМІТКА: Маса нетто дозволеної тари може перевищувати 400 кг (див. пункт 4.1.3.3). |
||
|
Додаткові вимоги: Елементи й батареї повинні бути захищені від короткого замикання; захист від короткого замикання включає наступне, але не обмежується цим: – індивідуальний захист контактних клем; – внутрішня тара для запобігання контакту між елементами й батареями; – батареї й утоплені в корпус контактні клеми, сконструйовані таким чином, щоб забезпечити захист від короткого замикання; або – використання електронепровідного й негорючого прокладного матеріалу для заповнення порожнеч між елементами або батареями усередині тари. |
||
|
P911 |
ІНСТРУКЦІЯ З УПАКУВАННЯ |
P911 |
|
Ця інструкція застосовується до елементів і батарей, що мають дефекти або що ушкоджені, віднесених до № ООН 3090, 3091, 3480 і 3481, які здатні швидко розпадатися, вступати в небезпечні реакції, викликати полум’я або небезпечне виділення тепла або небезпечний викид токсичних, корозійних або займистих газів або пар у нормальних умовах перевезення. |
||
|
За умови дотримання загальних положень, викладених у розділах 4.1.1 і 4.1.3, дозволяється використовувати таку тару: Для елементів і батарей і обладнання, що містить елементи й батареї: барабани (1A2, 1B2, 1N2, 1H2, 1D, 1G); ящики (4A, 4B, 4N, 4C1, 4C2, 4D, 4F, 4G, 4H1, 4H2); каністри (3A2, 3B2, 3H2). Тара повинна відповідати експлуатаційним вимогам для групи упакування I. (1) У випадку швидкого розпаду, небезпечної реакції, виникнення полум’я, небезпечного виділення тепла або небезпечного викиду токсичних, корозійних або займистих газів або пар під час перевезення елементів і батарей тара повинна відповідати таким додатковим експлуатаційним вимогам: a) температура зовнішньої поверхні готової упаковки не повинна перевищувати 100 °C. Припустимим є короткочасне підвищення температури до 200 ºC; b) полум’я не повинне виходити за межі упаковки; с) не повинно відбуватися розкидання за межі упаковки; d) повинна зберігатися конструкційна цілісність упаковки; і e) тара повинна мати систему керування газами (наприклад, мати систему фільтрації, систему циркуляції повітря, систему втримання газу, бути газонепроникною і т.д.), залежно від конкретного випадку. (2) Додаткові експлуатаційні вимоги до тари повинні перевірятися за допомогою випробування, зазначеного компетентним органом Договірної сторони ДОПНВ, який може також визнати випробування, зазначене компетентним органом країни, що не є Договірною стороною ДОПНВ, за умови, що таке випробування було проведено відповідно до процедур, застосовуваних згідно з МПНВ, ДОПНВ, ВОПНВ, МКМПНВ або Технічними інструкціями ІКАО a. За запитом повинен надаватися протокол випробування. У якості мінімальної вимоги в протоколі випробування повинні бути зазначені найменування елементів або батарей, кількість елементів або батарей, маса, тип, енергоємність елементів або батарей, ідентифікаційний код тари й дані випробувань відповідно до методу, вказаного компетентним органом. (3) Якщо в якості холодоагенту використовується сухий лід або рідкий азот, повинні застосовуватися вимоги розділу 5.5.3. Внутрішня тара й зовнішня тара повинні зберігати свою цілісність при температурі використовуваного холодоагенту, а також при температурі й тиску, які можуть виникнути у випадку втрати холодоагенту. |
||
|
Додаткова вимога: |
||
|
Елементи й батареї повинні бути захищені від короткого замикання. |
||
a Коли доречно, для оцінки експлуатаційних характеристик тари можуть бути використані такі критерії:
a) оцінка повинна проводитися в рамках системи керування якістю (наприклад, як описано в пункті 2.2.9.1.7 e)), що дозволяє відслідковувати результати випробувань, вихідні дані й використовувані моделі опису;
b) перераховані види небезпеки, очікувані при некерованому нагріванні для даного типу елемента або батареї в тому стані, у якому він/вона перевозиться (наприклад, використання внутрішньої тари, ступінь заряду (СЗ), використання достатньої кількості негорючого, електронепровідного й абсорбувального прокладного матеріалу і т.д.), повинні бути чітко визначені й оцінені кількісно; для цієї цілі може бути використано довідковий перелік можливих видів небезпеки літієвих елементів або батарей (швидкий розпад, небезпечна реакція, виникнення полум’я або небезпечне виділення тепла, небезпечний викид токсичних, корозійних або займистих газів або пар). Кількісний опис зазначених видів небезпеки повинен враховувати наявну наукову літературу;
c) необхідно визначити й охарактеризувати пом’якшення наслідків за рахунок використання тари, виходячи з характеру забезпечуваного захисту й властивостей конструкційних матеріалів. Для обґрунтування такої оцінки повинен використовуватися перелік технічних характеристик і креслення (щільність [кг/м3], питома теплоємність [Дж/кг·K], теплотворна здатність [кДж/кг], теплопровідність [Вт/м·K], температура плавлення й займистості [K], коефіцієнт теплопередачі зовнішньої тари [Вт/м2·K]…);
d) при випробуваннях і підтверджувальних розрахунках повинні оцінюватися результати некерованого нагрівання елемента або батареї усередині тари у нормальних умовах перевезення;
e) якщо СЗ елемента або батареї не відомий, оцінка повинна проводитися на основі максимального можливого значення СЗ, що відповідає умовам експлуатації елемента або батареї;
f) повинні бути зазначені навколишні умови, при яких може використовуватися й перевозитися тара (включаючи можливі наслідки викидів газів або диму в довкілля, зокрема використання вентиляції або інших методів), відповідно до системи керування газами тари;
g) випробування або розрахунки моделей повинні ґрунтуватися на найгіршому сценарії виникнення й поширення некерованого нагрівання усередині елемента або батареї: даний сценарій включає найгіршу можливу несправність у нормальних умовах перевезення, максимальні викиди тепла й полум’я при можливому поширенні реакції;
h) такі сценарії повинні оцінюватися за досить тривалий період часу, щоб охопити всі можливі наслідки (наприклад, 24 години).
i) у випадку кількох батарей і декількох одиниць устаткування, що містять батареї, повинні розглядатися додаткові вимоги, такі як максимальна кількість батарей і одиниць обладнання, загальна максимальна енергоємність батарей і конфігурація всередині упаковки, включаючи поділ і захист частин.
|
R001 ІНСТРУКЦІЯ З УПАКУВАННЯ R001 |
|||
|
За умови дотримання загальних положень, викладених у розділах 4.1.1 і 4.1.3, дозволяється використовувати наступну тару: |
|||
|
Легка металева тара |
Максимальна місткість/максимальна маса нетто |
||
|
Група упакування I |
Група упакування II |
Група упакування III |
|
|
сталева, з незнімним днищем (OA1) |
Не дозволяється |
40 л/50 кг |
40 л/50 кг |
|
сталева, зі знімним днищем (OA2) a |
Не дозволяється |
40 л/50 кг |
40 л/50 кг |
|
a Не дозволяється використовувати для № ООН 1261 НІТРОМЕТАНУ. |
|||
|
ПРИМІТКА 1: Ця інструкція застосовується до твердих речовин і рідин (за умови, що тип конструкції випробуваний і належним чином маркірований). ПРИМІТКА 2: У випадку речовин класу 3, група упакування II, цю тару можна використовувати тільки для речовин, що не становлять ніякої додаткової небезпеки пар й що мають тиск не більше 110 °кПа при 50 °C, а також для слаботоксичних пестицидів. |
|||
4.1.4.2 Інструкції з упакування, що стосуються використання КСМ
|
IBC01 ІНСТРУКЦІЯ З УПАКУВАННЯ IBC01 |
|
За умови дотримання загальних положень, викладених у розділах 4.1.1, 4.1.2 і 4.1.3, дозволяється використовувати наступні КСМ: Металеві КСМ (31A, 31B і 31N). |
|
Спеціальне положення з упакування, передбачене МПНВ і ДОПНВ: BВ1 Для № ООН 3130: отвори посудин для цієї речовини повинні герметично закриватися за допомогою двох послідовно розташованих пристроїв, принаймні один з яких повинен загвинчуватися або закріплюватися настільки ж надійним способом. |
|
IBC02 ІНСТРУКЦІЯ З УПАКУВАННЯ IBC02 |
|
За умови дотримання загальних положень, викладених у розділах 4.1.1, 4.1.2 і 4.1.3, дозволяється використовувати наступні КСМ: (1) Металеві КСМ (31A, 31B і 31N); (2) Тверді пластмасові КСМ (31H1 і 31H2); (3) Складені КСМ (31HZ1). |
|
Спеціальні положення з упакування: B5 Для № ООН 1791, 2014, 2984 і 3149: КСМ повинні бути оснащені пристроями, що забезпечують випуск газів у ході перевезення. У ході перевезення в умовах максимального наповнення отвір пристрою для скидання тиску повинен бути розташований в паровому просторі КСМ. B7 Для № ООН 1222 і 1865: КСМ місткістю більше 450 л використовувати не дозволяється через вибухонебезпечність речовини при її перевезенні у великих об’ємах. B8 Ця речовина в чистому вигляді не повинна перевозитися в КСМ, оскільки відомо, що тиск її пар перевищує 110 кПа при 50 °C або 130 кПа при 55 °C. B15 Для № ООН 2031 зі вмістом азотної кислоти більше 55%: припустимий період експлуатації твердих пластмасових КСМ і жорстких пластмасових внутрішніх ємностей складаних КСМ становить два роки з дати виготовлення. B16 Для № ООН 3375: КСМ типу 31A і 31N не дозволяється використовувати без затвердження компетентним органом. |
|
Спеціальні положення з упакування, передбачені МПНВ і ДОПНВ: ВB2 Для № ООН 1203: незалежно від спеціального положення 534 (див. розділ 3.3.1), КСМ можна використовувати тільки в тих випадках, коли фактичний тиск пар не перевищує 110 кПа при 50 °С або не перевищує 130 кПа при 55 °С. BB4 Для № ООН 1133, 1139, 1197, 1210, 1263, 1266, 1286, 1287, 1306, 1866, 1993 і 1999, віднесених до групи упакування III відповідно до пункту 2.2.3.1.4: не дозволяється використовувати КСМ місткістю більше 450 л. |
|
IBC03 ІНСТРУКЦІЯ З УПАКУВАННЯ IBC03 |
|
За умови дотримання загальних положень, викладених у розділах 4.1.1, 4.1.2 і 4.1.3, дозволяється використовувати наступні КСМ: (1) Металеві КСМ (31A, 31B і 31N); (2) Тверді пластмасові КСМ (31H1 і 31H2); (3) Складені КСМ (31HZ1, 31HA2, 31HB2, 31HN2, 31HD2 і 31HH2). |
|
Спеціальні положення з упакування: B8 Ця речовина в чистому вигляді не повинна перевозитися в КСМ, оскільки відомо, що тиск її пар перевищує 110 кПа при 50 °C або 130 кПа при 55 °C. B19 Для № ООН 3532 і 3534: КСМ повинні бути сконструйовані й виготовлені таким чином, щоб була можливість випуску газу або пари для запобігання підвищенню тиску, яке могло б призвести до розриву КСМ у випадку втрати стабілізації. |
|
IBC04 ІНСТРУКЦІЯ З УПАКУВАННЯ IBC04 |
|
За умови дотримання загальних положень, викладених у розділах 4.1.1, 4.1.2 і 4.1.3, дозволяється використовувати наступні КСМ: Металеві КСМ (11A, 11B, 11N, 21A, 21B, 21N, 31A, 31B і 31N). |
|
IBC05 ІНСТРУКЦІЯ З УПАКУВАННЯ IBC05 |
|
За умови дотримання загальних положень, викладених у розділах 4.1.1, 4.1.2 і 4.1.3, дозволяється використовувати наступні КСМ: (1) Металеві КСМ (11A, 11B, 11N, 21A, 21B, 21N, 31A, 31B і 31N); (2) Тверді пластмасові КСМ (11H1, 11H2, 21H1, 21H2, 31H1 і 31H2); (3) Складені КСМ (11HZ1, 21HZ1 і 31HZ1). |
|
IBC06 ІНСТРУКЦІЯ З УПАКУВАННЯ IBC06 |
|
За умови дотримання загальних положень, викладених у розділах 4.1.1, 4.1.2 і 4.1.3, дозволяється використовувати наступні КСМ: (1) Металеві КСМ (11A, 11B, 11N, 21A, 21B, 21N, 31A, 31B і 31N); (2) Тверді пластмасові КСМ (11H1, 11H2, 21H1, 21H2, 31H1 і 31H2); (3) Складені КСМ (11HZ1, 11HZ2, 21HZ1, 21HZ2 і 31HZ1). |
|
Додаткова вимога: У випадку твердої речовини, яка в ході перевезення може перейти в рідкий стан, див. пункт 4.1.3.4. |
|
Спеціальне положення з упакування: B12 Для № ООН 2907: КСМ повинні відповідати експлуатаційним вимогам для групи упакування II. КСМ, що відповідають критеріям випробувань для групи упакування I, використовуватися не повинні. |
|
IBC07 ІНСТРУКЦІЯ З УПАКУВАННЯ IBC07 |
|
За умови дотримання загальних положень, викладених у розділах 4.1.1, 4.1.2 і 4.1.3, дозволяється використовувати наступні КСМ: (1) Металеві КСМ (11A, 11B, 11N, 21A, 21B, 21N, 31A, 31B і 31N); (2) Тверді пластмасові КСМ (11H1, 11H2, 21H1, 21H2, 31H1 і 31H2); (3) Складені КСМ (11HZ1, 11HZ2, 21HZ1, 21HZ2 і 31HZ1); (4) Дерев’яні КСМ (11C, 11D і 11F). |
|
Додаткові вимоги: 1. У випадку твердої речовини, яка в ході перевезення може перейти в рідкий стан, див. пункт 4.1.3.4. 2. Вкладиші дерев’яних КСМ повинні бути непроникними для сипучих речовин. |
|
Спеціальне положення з упакування: B18 Для № ООН 3531 і 3533: КСМ повинні бути сконструйовані й виготовлені таким чином, щоб була можливість випуску газу або пари для запобігання підвищенню тиску, який міг би призвести до розриву КСМ у випадку втрати стабілізації. B20 Речовина під № ООН 3550 може перевозитися в м'яких КСМ (13H3 або 13H4) з щільними вкладишами для запобігання попаданню всередину пилу під час перевезення. |
|
IBC08 ІНСТРУКЦІЯ З УПАКУВАННЯ IBC08 |
|
За умови дотримання загальних положень, викладених у розділах 4.1.1, 4.1.2 і 4.1.3, дозволяється використовувати наступні КСМ: (1) Металеві КСМ (11A, 11B, 11N, 21A, 21B, 21N, 31A, 31B і 31N); (2) Тверді пластмасові КСМ (11H1, 11H2, 21H1, 21H2, 31H1 і 31H2); (3) Складені КСМ (11HZ1, 11HZ2, 21HZ1, 21HZ2 і 31HZ1); (4) КСМ із фібрового картону (11G); (5) Дерев’яні КСМ (11C, 11D і 11F); (6) М’які КСМ (13H1, 13H2, 13H3, 13H4, 13H5, 13L1, 13L2, 13L3, 13L4, 13M1 або 13M2). |
|
Додаткова вимога: У випадку твердої речовини, яка в ході перевезення може перейти в рідкий стан, див. пункт 4.1.3.4. |
|
Спеціальні положення з упакування: B3 М’які КСМ повинні бути непроникні для сипучих речовин і вологонепроникні або повинні бути оснащені щільним вологонепроникним вкладишем. B4 М’які КСМ, КСМ із фібрового картону або дерев’яні КСМ повинні бути непроникні для сипучих речовин і вологонепроникні або повинні бути оснащені щільним вологонепроникним вкладишем. B6 Для № ООН 1363, 1364, 1365, 1386, 1408, 1841, 2211, 2217, 2793 і 3314 не потрібно, щоб КСМ відповідали вимогам випробувань КСМ, викладеним у главі 6.5. В13 ПРИМІТКА: Для № ООН 1748, 2208, 2880, 3485, 3486 і 3487 морське перевезення в КСМ заборонено відповідно до МКМПНВ. |
|
Спеціальне положення з упакування, передбачене МПНВ і ДОПНВ: BBЗ Для № ООН 3509: КСМ необов’язково повинні відповідати вимогам пункту 4.1.1.3. Повинні використовуватися КСМ, що відповідають вимогам розділу 6.5.5 і що забезпечують герметичність або оснащені герметичним проколостійким вкладишем або мішком. Якщо єдиним типом залишків є тверді залишки, які не можуть перейти в рідкий стан при температурах, які можуть виникнути під час перевезення, можуть використовуватися м’які КСМ. За наявності рідких залишків повинні використовуватися тверді КСМ, що мають засіб утримання (наприклад, абсорбувальний матеріал). Перед завантаженням і пред’явленням до перевезення кожний КСМ повинен бути перевірений на предмет відсутності корозії, забруднення або інших ушкоджень. Будь-який КСМ із ознаками зменшення міцності не повинен далі використовуватися (незначні вм’ятини й подряпини не вважаються такими, що зменшують міцність КСМ). КСМ, призначені для перевезення відбракованої порожньої неочищеної тари із залишками речовин класу 5.1, повинні бути сконструйовані або пристосовані таким чином, щоб вантажі не могли стикатися з деревом або яким-небудь іншим горючим матеріалом. |
|
IBC99 ІНСТРУКЦІЯ З УПАКУВАННЯ IBC99 |
|
Можуть використовуватися тільки КСМ, затверджені для цих вантажів компетентним органом. Кожний вантаж повинен перевозитися в супроводі копії свідоцтва про затвердження, виданого компетентним органом, або в транспортному документі має міститися вказівка про те, що тара була затверджена компетентним органом. |
|
IBC100 ІНСТРУКЦІЯ З УПАКУВАННЯ IBC100 |
|
Ця інструкція застосовується до № ООН 0082, 0222, 0241, 0331 і 0332. |
|
За умови дотримання загальних положень, викладених у розділах 4.1.1, 4.1.2 і 4.1.3, і спеціальних положень, викладених у розділі 4.1.5, дозволяється використовувати наступні КСМ: (1) Металеві КСМ (11A, 11B, 11N, 21A, 21B, 21N, 31A, 31B і 31N); (2) М’які КСМ (13H2, 13H3, 13H4, 13L2, 13L3, 13L4 і 13M2); (3) Тверді пластмасові КСМ (11H1, 11H2, 21H1, 21H2, 31H1 і 31H2); (4) Складені КСМ (11HZ1, 11HZ2, 21HZ1, 21HZ2, 31HZ1 і 31HZ2). |
|
Додаткові вимоги: 1. КСМ повинні використовуватися тільки для речовин, здатних до вільного витікання. 2. М’які КСМ повинні використовуватися тільки для твердих речовин. |
|
Спеціальні положення з упакування: B3 Для № ООН 0222: м’які КСМ повинні бути непроникні для сипучих речовин і вологонепроникні або повинні бути оснащені вкладишем, непроникним для сипучих речовин і вологи. B9 Для № ООН 0082: ця інструкція з упакування може застосовуватися тільки в тому випадку, коли речовини є сумішами нітрату амонію або інших неорганічних нітратів з іншими горючими речовинами, що не є вибуховими компонентами. Такі вибухові речовини не повинні містити нітрогліцерин, аналогічні рідкі органічні нітрати або хлорати. Використання металевих КСМ не дозволяється. B10 Для № ООН 0241: ця інструкція з упакування може використовуватися тільки для речовин, що складаються із води як основного компонента й значної частки нітрату амонію або інших окиснювачів, які частково або повністю містяться у розчині. Інші компоненти можуть включати вуглеводні або алюмінієвий порошок, але не повинні включати нітропохідні, такі як тринітротолуол. Використання металевих КСМ не дозволяється. B17 Для № ООН 0222: використання металевих КСВМС не дозволяється. |
|
IBC520 ІНСТРУКЦІЯ З УПАКУВАННЯ IBC520 |
|||||
|
Ця інструкція застосовується до органічних пероксидів і самореактивних речовин типу F. |
|||||
|
За умови дотримання загальних положень, викладених у розділах 4.1.1, 4.1.2 і 4.1.3, і спеціальних положень, викладених у підрозділі 4.1.7.2, для перелічених сполук дозволяється використовувати зазначені нижче КСМ. Сполуки, що не перелічені в пункті 2.2.41.4 або 2.2.52.4, але перелічені нижче можуть також перевозитися впакованими відповідно до методу упакування OP8 інструкції з упакування P520, викладеної в підрозділі 4.1.4.1, при таких самих контрольній та аварійній температурах, якщо це застосовно. Для сполук, не перелічених нижче, можуть використовуватися тільки КСМ, затверджені компетентним органом (див. пункт 4.1.7.2.2). |
|||||
|
№ ООН |
Органічний пероксид |
Тип КСМ |
Максимальна кількість (у літрах/кг) |
Контрольна температура |
Аварійна температура |
|
ОРГАНІЧНИЙ ПЕРОКСИД ТИПУ F, РІДКИЙ |
|||||
|
трет-Бутилу гідропероксид, не більше 72% у воді |
31A 31HA1 |
1 250 1 000 |
|||
|
трет-Бутилкумілу пероксид |
31HA1 |
1 000 |
|||
|
трет-Бутилпероксіацетат, не більше 32% у розріджувачі типу A |
31A 31HA1 |
1 250 1 000 |
|||
|
трет-Бутилпероксибензоат, не більше 32% у розріджувачі типу A |
31A |
1 250 |
|||
|
трет-Бутилперокси-3,5,5-триметилгексаноат, не більше 37% у розріджувачі типу A |
31A 31HA1 |
1 250 1 000 |
|||
|
Кумілу гідропероксид, не більше 90% у розріджувачі типу A |
31HA1 |
1 250 |
|||
|
Дибензоїлу пероксид, не більше 42% – стійка дисперсія у воді |
31H1 |
1 000 |
|||
|
Ди-трет-Бутилпероксид, не більше 52% у розріджувачі типу A |
31A 31HA1 |
1 250 1 000 |
|||
|
1,1-Ди-( трет-Бутилперокси) циклогексан, не більше 42% у розріджувачі типу A |
31H1 |
1 000 |
|||
|
1,1-Ди-( трет-Бутилперкси) циклогексан, не більше 37% у розріджувачі типу А |
31А |
1 250 |
|||
|
Дилауроїлу пероксид, не більше 42% – стійка дисперсія у воді |
31HA1 |
1 000 |
|||
|
2,5-Диметил-2,5-ди-(трет-бутилперокси)- гексан, не більше 52%, у розріджувачі типу A |
31HA1 |
1 000 |
|||
|
Ізопропілкумілу гідропероксид, не більше 72% у розріджувачі типу A |
31HA1 |
1 250 |
|||
|
п-Ментилу гідропероксид, не більше 72% у розріджувачі типу A |
31HA1 |
1 250 |
|||
|
Кислота надоцтова стабілізована, не більше 17% |
31A 31H1 31H2 31HA1 |
1 500 1 500 1 500 1 500 |
|||
|
3,6,9-Триетил-3,6,9-триметил-1,4,7-трипе-роксонан, не більше 27%, у розріджувачі типу A |
31HA1 |
1 000 |
|||
|
ОРГАНІЧНИЙ ПЕРОКСИД ТИПУ F, ТВЕРДИЙ |
|||||
|
Дикумілу пероксид |
31A 31H1 31HA1 |
2 000 |
|||
|
№ ООН |
Органічний пероксид |
Тип КСМ |
Максимальна кількість (у літрах/кг) |
Контрольна температура |
Аварійна температура |
||
|
ОРГАНІЧНИЙ ПЕРОКСИД ТИПУ F, РІДКИЙ, З РЕГУЛЬОВАНОЮ ТЕМПЕРАТУРОЮ |
|||||||
|
трет-Амілпероксипівалат, не більше 32% у розріджувачі типу А |
31А |
1 250 |
+10 °С |
+15 °С |
|||
|
трет-Амілперокси-2-тилгексаноат, не більше 62%, у розріджувачі типу A |
31HA1 31HA1 |
1 000 |
+15 °C |
+20 °C |
|||
|
трет-Амілпероксипівалат, не більше 42% – стійка дисперсія у воді |
31HA1 |
1 000 |
0 °C |
+10 °C |
|||
|
трет-Бутилперокси-2-етилгексаноат, не більше 32% у розріджувачі типу B |
31HA1 31A |
1 000 1 250 |
+30 °C +30 °C |
+35 °C +35 °C |
|||
|
трет-Бутилпероксинеодеканоат, не більше 32% у розріджувачі типу A |
31A |
1 250 |
0 °С |
+10 °С |
|||
|
трет-Бутилпероксинеодеканоат, не більше 52% – стійка дисперсія у воді |
31А |
1 250 |
–5 °С |
+5 °С |
|||
|
трет-Бутилпероксинеодеканоат, не більше 42% – стійка дисперсія у воді |
31A |
1 250 |
–5 °С |
+5 °С |
|||
|
трет-Бутилпероксипівалат, не більше 27% у розріджувачі типу B |
31HA1 31A |
1 000 1 250 |
+10 °C +10 °C |
+15 °C +15 °C |
|||
|
трет-Бутилпероксипівалат, не більше 42%, у розріджувачі типу А |
31HA1 31A |
1 000 1 250 |
+10 °C +10 °C |
+15 °C +15 °C |
|||
|
Кумілпероксинеодеканоат, не більше 52% – стійка дисперсія у воді |
31A |
1 250 |
–15 ° |
–5 °C |
|||
|
Ди-(4-трет-бутилциклогексил) пероксидикарбонат, не більше 42% – стійка дисперсія у воді |
31HA1 |
1 000 |
+30 °C |
+35 °C |
|||
|
Дицетилпероксидикарбонат, не більше 42% – стійка дисперсія у воді |
31HA1 |
1 000 |
+30 °C |
+35 °C |
|||
|
Ди-(2-неодеканоїлпероксіізопропіл) бензол, не більше 42%, стійка дисперсія у воді |
31А |
1 250 |
–15 °С |
–5 °С |
|||
|
3-Гідрокси-1,1-диметилбутилпероксинео-деканоат, не більше 52%, стійка дисперсія у воді |
31А |
1 250 |
–15 °С |
–5 °С |
|||
|
Ди-(2-етилгексил) пероксидикарбонат, не більше 62% – стійка дисперсія у воді |
31A 31HA1 |
1 250 1 000 |
–20 °C –20 °C |
–10 °C –10 °C |
|||
|
Димиристилпероксидикарбонат, не більше 42% – стійка дисперсія у воді |
31HA1 |
1 000 |
+15 °C |
+20 °C |
|||
|
Ди-(3,5,5-триметилгексаноїлу) пероксид, не більше 52% у розріджувачі типу A |
31HA1 31A |
1 000 1 250 |
+10 °C +10 °C |
+15 °C +15 °C |
|||
|
Ди-(3,5,5-триметилгексаноїлу) пероксид, не більше 52% – стійка дисперсія у воді |
31A |
1 250 |
+10 °C |
+15 °C |
|||
|
Дициклогексилпероксидикарбонат, не більше 42% – стійка дисперсія у воді |
31A |
1 250 |
+10 °C |
+15 °C |
|||
|
Діізобутирилу пероксид, не більше 28% − стійка дисперсія у воді |
31HA1 31A |
1 000 1 250 |
−20 ºC −20 ºC |
−10 ºC −10 ºC |
|||
|
Діізобутирилу пероксид, не більше 42% − стійка дисперсія у воді |
31HA1 31A |
1 000 1 250 |
−25 ºC −25 ºC |
−15 ºC −15 ºC |
|||
|
1,1,3,3-Тетраметилбутилпероксинеодеканоат, не більше 52% – стійка дисперсія у воді |
31A 31HA1 |
1 250 1 000 |
–5 °C –5 °C |
+5 °C +5 °C |
|||
|
1,1,3,3-Тетраметилбутилперокси- 2-етилгексаноат, не більше 67% у розріджувачі типу A |
31HA1 |
1 000 |
+15 ºC |
+20 ºC |
|||
|
№ ООН |
Органічний пероксид |
Тип КСМ |
Максимальна кількість (у літрах/кг) |
Контрольна температура |
Аварійна температура |
|
ОРГАНІЧНИЙ ПЕРОКСИД ТИПУ F, ТВЕРДИЙ, З РЕГУЛЬОВАНОЮ ТЕМПЕРАТУРОЮ Сполуки не перелічені |
|||||
|
Додаткові вимоги: 1. КСМ повинні бути оснащені пристроєм, що забезпечують скидання тиску в ході перевезення. При максимальному завантаженні в ході перевезення впускний отвір пристрою для скидання тиску повинен бути розташований в паровому просторі КСМ. 2. Для запобігання вибуховому руйнуванню металевих КСМ або складених КСМ із суцільною металевою оболонкою аварійні запобіжні пристрої повинні бути сконструйовані таким чином, щоб через них забезпечувався відвід усіх продуктів розкладання й пар, що виділилися при самоприскорюваному розкладанні або при повному охопленні КСМ полум’ям протягом не менше однієї години, на підставі розрахунків за формулою, наведеною у пункті 4.2.1.13.8. Значення контрольної й аварійної температур, зазначені в цій інструкції з упакування, розраховані для КСМ без теплоізоляції. При відправленні органічного пероксиду в КСМ відповідно до цієї інструкції відправник вантажу зобов’язаний забезпечити, щоб: а) пристрої для скидання тиску й аварійні запобіжні пристрої, установлені на КСМ, були сконструйовані з належним урахуванням можливості самоприскорюваного розкладання органічного пероксиду й повного охоплення КСМ полум’ям; і b) зазначені контрольна й аварійна температури, коли вони вимагаються, були визначені з належним урахуванням конструкції (наприклад, теплоізоляції) використовуваного КСМ. |
|||||
|
IBC620 ІНСТРУКЦІЯ З УПАКУВАННЯ IBC620 |
|
Ця інструкція застосовується до № ООН 3291. |
|
За умови дотримання загальних положень, викладених у розділах 4.1.1, за винятком пункту 4.1.1.15, 4.1.2 і 4.1.3, дозволяється використовувати наступні КСМ: Тверді герметичні КСМ, що відповідають експлуатаційним вимогам для групи упакування II. |
|
Додаткові вимоги: 1. Необхідно використовувати абсорбувальний матеріал у кількості, якої достатньо для поглинання всієї рідини, що міститься в КСМ. 2. КСМ повинні бути здатні втримувати рідини. 3. КСМ, призначені для поміщення в них гострих предметів, таких як осколки скла й голки, повинні бути важкопробивними. |
4.1.4.3 Інструкції з упакування, що стосуються використання великогабаритної тари
|
LP01 ІНСТРУКЦІЯ З УПАКУВАННЯ (РІДИНИ) LP01 |
||||
|
За умови дотримання загальних положень, викладених у розділах 4.1.1 і 4.1.3, дозволяється використовувати наступну великогабаритну тару: |
||||
|
Внутрішня тара |
Великогабаритна зовнішня тара |
Група упакування I |
Група упакування II |
Група упакування III |
|
Скляна 10 літрів Пластмасова 30 літрів Металева 40 літрів |
Сталева (50A) Алюмінієва (50B) Інша металева, крім сталевої або алюмінієвої (50N) З твердої пластмаси (50H) З природної деревини (50C) Фанерна (50D) З деревного матеріалу (50F) З твердого фібрового картону (50G) |
Не дозволяється |
Не дозволяється |
Максимальний об’єм: 3 м3 |
|
LP02 ІНСТРУКЦІЯ З УПАКУВАННЯ (ТВЕРДІ РЕЧОВИНИ) LP02 |
||||
|
За умови дотримання загальних положень, викладених у розділах 4.1.1 і 4.1.3, дозволяється використовувати наступну великогабаритну тару: |
||||
|
Внутрішня тара |
Великогабаритна зовнішня тара |
Група упакування I |
Група упакування II |
Група упакування III |
|
Скляна 10 кг Пластмасова b 50 кг Металева 50 кг Паперова a, b 50 кг Фіброва a, b 50 кг |
Сталева (50A) Алюмінієва (50B) Інша металева, крім сталевої або алюмінієвої (50N) З твердої пластмаси (50H) З природної деревини (50C) Фанерна (50D) З деревного матеріалу (50F) З твердого фібрового картону (50G) З м’якої пластмаси (51Н) з |
Не дозволяється |
Не дозволяється |
Максимальний об’єм: 3 м3 |
|
a Така внутрішня тара не повинна використовуватися у випадку, коли речовини, що перевозяться, можуть перейти в ході транспортування в рідкий стан. b Така внутрішня тара повинна бути непроникною для сипучих речовин. с Використовується тільки з м’якою внутрішньою тарою. |
||||
|
Спеціальні положення з упакування: L2 Виключене. L3 Примітка: Для № ООН 2208 і 3486: морське перевезення у великогабаритній тарі заборонено. |
||||
|
Спеціальне положення з упакування, передбачене МПНВ і ДОПНВ: LL1 Для № ООН 3509: великогабаритна тара необов’язково повинна відповідати вимогам пункту 4.1.1.3. Повинна використовуватися великогабаритна тара, що відповідає вимогам розділу 6.6.4, що забезпечує герметичність або оснащена герметичним проколостійким вкладишем або мішком. Якщо єдиним типом залишків є тверді залишки, які не можуть перейти в рідкий стан при температурах, які можуть виникнути під час перевезення, може використовуватися м’яка великогабаритна тара. За наявності рідких залишків повинна використовуватися тверда великогабаритна тара, що має засіб утримання (наприклад абсорбувальний матеріал). Перед завантаженням і пред’явленням до перевезення кожна одиниця великогабаритної тари повинна бути перевірена на предмет відсутності корозії, забруднення або інших ушкоджень. Будь-яка великогабаритна тара з ознаками зменшення міцності не повинна далі використовуватися (незначні вм’ятини й подряпини не вважаються такими, що зменшують міцність великогабаритної тари). Великогабаритна тара, призначена для перевезення відбракованої порожньої неочищеної тари із залишками речовин класу 5.1, повинна бути сконструйована або пристосована таким чином, щоб вантажі не могли стикатися з деревом або яким-небудь іншим горючим матеріалом. |
||||
|
LP03 |
ІНСТРУКЦІЯ З УПАКУВАННЯ |
LP03 |
|
(1) За умови дотримання загальних положень, викладених у розділах 4.1.1 і 4.1.3, дозволяється використовувати таку великогабаритну тару: Тверду великогабаритну тару, що відповідає експлуатаційним вимогам для групи упакування II і виготовлену з: сталі (50A); алюмінію (50B); металу, крім сталі або алюмінію (50N); твердої пластмаси (50H); природної деревини (50C); фанери (50D); деревного матеріалу (50F); твердого фібрового картону (50G). (2) Крім того, повинні виконуватися наступні умови: а) посудини у виробах, що містять рідину або тверду речовину, повинні виготовлятися з відповідних матеріалів і закріплюватися у виробі таким чином, щоб у нормальних умовах перевезення не відбувалося їх розриву, проколу, витоку їх умісту в сам виріб або зовнішню тару; b) посудини з рідиною, оснащені запірними пристроями, повинні впаковуватися в правильній орієнтації таких пристроїв. Крім того, посудини повинні відповідати положенням підрозділу 6.1.5.5, що стосуються випробування на внутрішній тиск; c) крихкі посудини, або посудини, що легко пробиваються, наприклад виготовлені зі скла, порцеляни, кераміки або деяких пластмасових матеріалів, повинні бути надійно закріплені. Витік умісту не повинен суттєво погіршувати захисні властивості виробу або зовнішньої тари; d) посудини у виробах, що містять газ, повинні відповідати вимогам розділу 4.1.6 і глави 6.2, залежно від конкретного випадку, або могти забезпечити такий же самий рівень захисту, як інструкції з упакування P200 або P208; і e) у тому випадку, якщо виріб не містить посудин, небезпечні речовини повинні поміщуватися в нього повністю, і виріб повинен запобігати їх витоку у нормальних умовах перевезення. (3) Вироби повинні бути впаковані таким чином, щоб не відбувалося їх переміщення й випадкового спрацьовування у нормальних умовах перевезення. |
||
|
LP99 ІНСТРУКЦІЯ З УПАКУВАННЯ LP99 |
|
Може використовуватися тільки великогабаритна тара, затверджена для цих вантажів компетентним органом. Кожний вантаж повинен перевозитися в супроводі копії свідоцтва про затвердження, виданого компетентним органом, або в транспортному документі має міститися вказівка про те, що тара була затверджена компетентним органом. |
|
LP101 ІНСТРУКЦІЯ З УПАКУВАННЯ LP101 |
||
|
За умови дотримання загальних положень, викладених у розділах 4.1.1 і 4.1.3, і спеціальних положень, викладених у розділі 4.1.5, дозволяється використовувати наступну великогабаритну тару: |
||
Внутрішня тара |
Проміжна тара |
Великогабаритна зовнішня тара |
Не потрібно |
Не потрібно |
Сталева (50A) Алюмінієва (50B) Інша металева, крім сталевої або алюмінієвої (50N) З твердої пластмаси (50H) З природної деревини (50C) Фанерна (50D) З деревного матеріалу (50F) З твердого фібрового картону (50G) |
|
Спеціальне положення з упакування: L1 Для № ООН 0006, 0009, 0010, 0015, 0016, 0018, 0019, 0034, 0035, 0038, 0039, 0048, 0056, 0137, 0138, 0168, 0169, 0171, 0181, 0182, 0183, 0186, 0221, 0243, 0244, 0245, 0246, 0254, 0280, 0281, 0286, 0287, 0297, 0299, 0300, 0301, 0303, 0321, 0328, 0329, 0344, 0345, 0346, 0347, 0362, 0363, 0370, 0412, 0424, 0425, 0434, 0435, 0436, 0437, 0438, 0451, 0488, 0502 і 0510: Великогабаритні й масивні вибухові вироби, зазвичай призначені для військового використання, без власних засобів ініціювання або із власними засобами ініціювання, що мають не менше двох ефективних запобіжників, можуть перевозитися в неупакованому вигляді. Якщо такі вироби містять метальні заряди або є саморушними, їх системи запалювання повинні бути захищені проти збудливих впливів, здатних виникнути в нормальних умовах перевезення. Негативний результат випробувань серії 4, проведених на неупакованому виробі, указує на те, що виріб може розглядатися на предмет перевезення в неупакованому вигляді. Такі неупаковані вироби можуть установлюватися на опори або міститися в лати або інші придатні транспортно-завантажувальні пристрої. |
||
|
LP102 ІНСТРУКЦІЯ З УПАКУВАННЯ LP102 |
||
|
За умови дотримання загальних положень, викладених у розділах 4.1.1 і 4.1.3, і спеціальних положень, викладених у розділі 4.1.5, дозволяється використовувати наступну великогабаритну тару: |
||
|
Внутрішня тара |
Проміжна тара |
Великогабаритна зовнішня тара |
|
Мішки вологонепроникні Ємності з фібрового картону металеві пластмасові дерев’яні Листи з фібрового картону, гофровані Трубки з фібрового картону |
Не потрібно |
Сталева (50A) Алюмінієва (50B) Інша металева, крім сталевої або алюмінієвої (50N) Із твердої пластмаси (50H) Із природної деревини (50C) Фанерна (50D) З деревного матеріалу (50F) З твердого фібрового картону (50G) |
|
LP200 |
ІНСТРУКЦІЯ З УПАКУВАННЯ |
LP200 |
|
За умови дотримання загальних положень, викладених у розділах 4.1.1 і 4.1.3, для аерозолів і балончиків газових дозволяється використовувати наступну великогабаритну тару: Тверду великогабаритну тару, що відповідає експлуатаційним вимогам для групи упакування II і виготовлену з: сталі (50A); алюмінію (50B); металу, крім сталі або алюмінію (50N); твердої пластмаси (50H); природної деревини (50C); фанери (50D); деревного матеріалу (50F); твердого фібрового картону (50G). |
||
|
Спеціальне положення з упакування: L2 Великогабаритна тара повинна бути сконструйована й виготовлена таким чином, щоб не відбувалося небезпечного переміщення аерозолів і випадкового спрацьовування в нормальних умовах перевезення. У випадку відбракованих аерозолів, що перевозяться відповідно до спеціального положення 327, великогабаритна тара повинна бути оснащена засобом утримання будь-якої вільної рідини, яка може витекти під час перевезення, наприклад абсорбувальним матеріалом. Для відбракованих аерозолів і відбракованих газових балончиків, що перевозяться відповідно до спеціальних положень 327, великогабаритна тара повинна відповідним чином вентилюватися для запобігання утворенню небезпечних середовищ і підвищення тиску. |
||
|
LP621 ІНСТРУКЦІЯ З УПАКУВАННЯ LP621 |
|
Ця інструкція застосовується до № ООН 3291. |
|
За умови дотримання загальних положень, викладених у розділах 4.1.1 і 4.1.3, дозволяється використовувати наступну великогабаритну тару: (1) Для відходів лікарняного походження, поміщених у внутрішню тару: герметичну, тверду великогабаритну тару, що відповідає вимогам глави 6.6 відносно випробувань для твердих речовин групи упакування II, за умови наявності абсорбувального матеріалу в кількості, якої достатньо для поглинання всієї наявної рідини, і за умови, що ця великогабаритна тара здатна втримувати рідини. (2) Для упаковок, що містять більш значні кількості рідини: великогабаритну тару, що відповідає вимогам глави 6.6 відносно випробувань для рідин групи упакування II. |
|
Додаткова вимога: Великогабаритна тара, призначена для розміщення в ній гострих предметів, таких як осколки скла й голки, повинна важко пробиватися й утримувати рідини при випробуваннях відповідно до вимог, передбачених у главі 6.6. |
|
ІНСТРУКЦІЯ З УПАКУВАННЯ |
LP622 |
|||
|
Ця інструкція застосовується до відходів під № ООН 3549, що перевозяться на утилізацію. |
||||
|
За умови дотримання загальних положень, викладених у розділах 4.1.1 і 4.1.3, дозволяється використовувати таку великогабаритну тару: |
||||
|
Внутрішня тара |
Проміжна тара |
Зовнішня тара |
||
|
металева пластмасова |
металева пластмасова |
сталева (50A) алюмінієва (50B) металева, крім сталевої або алюмінієвої (50N) фанерна (50D) з твердого фібрового картону (50G) з твердої пластмаси (50H) |
||
|
Зовнішня тара повинна відповідати експлуатаційним вимогам для групи упакування I у випадку твердих речовин. |
||||
|
Додаткові вимоги: 1. Крихкі вироби повинні міститися у твердій внутрішній тарі або у твердій проміжній тарі. 2. Внутрішня тара, що містить гострі предмети, такі як осколки скла й голки, повинна бути твердою й проколостійкою. 3. Внутрішня тара, проміжна тара й зовнішня тара повинна бути здатна втримувати рідину. Зовнішня тара, яка за своєю конструкцією не здатна втримувати рідину, повинна бути оснащена вкладишем або придатним засобом утримання рідини. 4. Внутрішня тара й/або проміжна тара може бути м'якою. Коли використовується м'яка тара, вона повинна бути в змозі витримувати випробування на ударну міцність не менше 165 г відповідно до стандарту ISO 7765-1: 1988 «Плівки й листи полімерні − Визначення ударної міцності методом вільно падаючого вантажу − Частина 1: Східчасті методи» і випробування на опір роздиру не менше 480 г як у паралельних, так і в перпендикулярних площинах стосовно довжини мішка відповідно до стандарту ISO 6683-2:1983 «Пластмаси - Плівка й листовий матеріал − Визначення опору роздиру – Частина 2: Метод Елмендорфа». Максимальна маса нетто м'якої внутрішньої тари повинна становити 30 кг. 5. М'яка проміжна тара повинна містити тільки одну одиницю внутрішньої тари. 6. Внутрішня тара, що містить невелику кількість вільної рідини, може бути поміщена в проміжну тару за умови наявності у внутрішній або проміжній тарі достатньої кількості абсорбувального або отверджуючого матеріалу для поглинання або затвердіння всього наявного рідкого вмісту. Повинен використовуватися придатний абсорбувальний матеріал, що витримує температуру й вібрацію, які можуть виникнути у нормальних умовах перевезення. 7. Проміжна тара повинна бути закріплена в зовнішній тарі з використанням придатного прокладного й/або абсорбувального матеріалу. |
||||
|
LP902 ІНСТРУКЦІЯ З УПАКУВАННЯ LP902 |
|
Ця інструкція застосовується до № ООН 3268. |
|
Упаковані вироби: За умови дотримання загальних положень, викладених у розділах 4.1.1 і 4.1.3, дозволяється використовувати наступну тару: Тверду великогабаритну тару, що відповідає експлуатаційним вимогам для групи упакування III і виготовлену з: сталі (50A); алюмінію (50B); металу, крім сталі або алюмінію (50N); твердої пластмаси (50H); природної деревини (50C); фанери (50D); деревного матеріалу (50F); твердого фібрового картону (50G) Тара повинна бути сконструйована й виготовлена таким чином, щоб не відбувалося переміщення виробів і випадкового спрацьовування в нормальних умовах перевезення. Неупаковані вироби: Вироби можуть також перевозитися без упаковки в спеціальних транспортно-завантажувальних пристроях і вантажних транспортних одиницях, коли вони перевозяться від місця їх виготовлення до місця складання, включаючи проміжне місце обробки. |
|
Додаткова вимога: Будь-яка посудина під тиском повинна відповідати вимогам компетентного органу відносно речовини (речовин), що міститься(яться) у посудині(ах) під тиском. |
|
LP903 |
ІНСТРУКЦІЯ З УПАКУВАННЯ |
LP903 |
|
Ця інструкція застосовується до № ООН 3090, 3091, 3480 і 3481. |
||
|
За умови дотримання загальних положень, викладених у розділах 4.1.1 і 4.1.3, для одиночної батареї, і окремої одиниці обладнання, що містить батареї, дозволяється використовувати наступну великогабаритну тару: Великогабаритну тару, що відповідає експлуатаційним вимогам для групи упакування II і виготовлену з: сталі (50A); алюмінію (50B); металу, крім сталі або алюмінію (50N); твердої пластмаси (50H); природної деревини (50C); фанери (50D); деревного матеріалу (50F); твердого фібрового картону (50G). Батарея або обладнання повинні бути впаковані так, щоб вони були захищені від ушкодження, яке може бути викликане їх переміщенням або розташуванням усередині великогабаритної тари. |
||
|
Додаткова вимога: |
||
|
Батареї повинні бути захищені від короткого замикання. |
||
|
LP904 |
ІНСТРУКЦІЯ З УПАКУВАННЯ |
LP904 |
|
Ця інструкція застосовується до одиночних ушкоджених батарей або батарей, що мають дефекти, і окремих одиниць обладнання, що містять елементи і батареї, що мають дефекти або що ушкоджені, під № ООН 3090, 3091, 3480 і 3481. |
||
|
За умови дотримання загальних положень, викладених у розділах 4.1.1 і 4.1.3, для одиночної батареї, що ушкоджена або має дефекти, і для окремої одиниці обладнання, що містить елементи і батареї, що мають дефекти або що ушкоджені, дозволяється використовувати таку великогабаритну тару: Для батарей і обладнання, що містить елементи й батареї: Жорстку великогабаритну тару, що відповідає експлуатаційним вимогам для групи упакування II і виготовлену із: сталі (50A); алюмінію (50B); металу, крім сталі або алюмінію (50N); твердої пластмаси (50H); фанери (50D). 1. Батарея, що має дефекти або що ушкоджена, або обладнання, що містить такі елементи або батареї, повинні бути впаковані окремо у внутрішню тару й поміщені в зовнішню тару. Внутрішня тара або зовнішня тара повинна бути герметичною для уникнення можливого вивільнення електроліту. 2. Внутрішня тара повинна бути обкладена достатньою кількістю негорючого й електронепровідного теплоізоляційного матеріалу з метою захисту від небезпечного виділення тепла. 3. Герметизована тара повинна за необхідності мати вентиляційний пристрій. 4. Повинні бути вжиті відповідні заходи для мінімізації впливу вібрацій і ударів і запобігання переміщенню батареї або обладнання усередині упаковки, яке може призвести до подальшого ушкодження й створювати небезпеку під час перевезення. Для виконання цієї вимоги може бути також використаний негорючий і електронепровідний прокладний матеріал. 5. Негорючість повинна бути оцінена відповідно до стандарту, визнаного у країні, де була сконструйована або виготовлена тара. У випадку елементів і батарей, що протікають, у внутрішню або зовнішню тару повинна бути поміщена достатня кількість інертного абсорбувального матеріалу, здатного поглинути електроліт, що вивільнився. |
||
|
Додаткова вимога: |
||
|
Батареї і елементи повинні бути захищені від короткого замикання. |
||
|
LP905 |
ІНСТРУКЦІЯ З УПАКУВАННЯ |
LP905 |
|
Ця інструкція застосовується до промислових партій, що складаються з не більше ніж 100 елементів і батарей під № ООН 3090, 3091, 3480 і 3481, або до дослідних зразків елементів і батарей під зазначеними номерами ООН, коли дані зразки перевозяться для випробувань. |
||
|
За умови дотримання загальних положень, викладених у розділах 4.1.1 і 4.1.3, для одиночної батареї й окремої одиниці обладнання, що містить елементи або батареї, дозволяється використовувати таку великогабаритну тару: (1) для одиночної батареї: тверду великогабаритну тару, що відповідає експлуатаційним вимогам для групи упакування II і виготовлену з: сталі (50A); алюмінію (50B); металу, крім сталі й алюмінію (50N); твердої пластмаси (50H); природної деревини (50C); фанери (50D); деревного матеріалу (50F); твердого фібрового картону (50G). Великогабаритна тара повинна також відповідати наступним вимогам: а) батареї різного розміру, форми або маси можуть бути впаковані в зовнішню тару зазначеного вище випробуваного типу конструкції за умови, що загальна маса брутто упаковки не повинна перевищувати масу брутто, на яку був випробуваний даний тип конструкції; b) батарея повинна впаковуватися у внутрішню тару й поміщуватися в зовнішню тару; c) одиниця внутрішньої тари повинна бути повністю обкладена достатньою кількістю негорючого й електронепровідного теплоізоляційного матеріалу для захисту від небезпечного виділення тепла; d) повинні бути вжиті відповідні заходи для мінімізації впливу вібрації й ударів і запобігання переміщенню батареї усередині упаковки, яке може призвести до її ушкодження й створити небезпеку під час перевезення. Якщо для виконання даної вимоги використовується прокладний матеріал, він повинен бути негорючим і електронепровідним; і e) негорючість повинна бути оцінена відповідно до стандарту, визнаного у країні, у якій була сконструйована або виготовлена великогабаритна тара. (2) Для окремої одиниці обладнання, що містить елементи або батареї: тверду великогабаритну тару, що відповідає експлуатаційним вимогам для групи упакування II і виготовлену з: сталі (50A); алюмінію (50B); металу, крім сталі або алюмінію (50N); твердої пластмаси (50H); природної деревини (50C); фанери (50D); деревного матеріалу (50F); твердого фібрового картону (50G). Великогабаритна тара повинна також відповідати наступним вимогам: а) окрема одиниця обладнання різного розміру, форми або маси може бути впакована в зовнішню тару зазначеного вище випробуваного типу конструкції за умови, що загальна маса брутто упаковки не повинна перевищувати масу брутто, на яку був випробуваний даний тип конструкції; b) обладнання повинне бути сконструйоване або впаковане таким чином, щоб не відбувалося випадкового спрацьовування під час перевезення; c) повинні бути вжиті відповідні заходи для мінімізації впливу вібрації й ударів і запобігання переміщенню обладнання усередині упаковки, яке може призвести до його ушкодження й створити небезпеку під час перевезення. Якщо для виконання цієї вимоги використовується прокладний матеріал, він повинен бути негорючим і електронепровідним; і d) негорючість повинна бути оцінена відповідно до стандарту, визнаного у країні, у якій була сконструйована або виготовлена великогабаритна тара. |
||
|
Додаткова вимога: |
||
|
Елементи й батареї повинні бути захищені від короткого замикання. |
||
|
LP906 |
ІНСТРУКЦІЯ З УПАКУВАННЯ |
LP906 |
|
Ця інструкція застосовується до батарей, що мають дефекти або що ушкоджені, віднесених до № ООН 3090, 3091, 3480 і 3481, які здатні швидко розпадатися, вступати в небезпечні реакції, викликати полум’я, небезпечне виділення тепла, небезпечний викид токсичних, корозійних або займистих газів або пар у нормальних умовах перевезення. |
||
|
За умови дотримання загальних положень, викладених у розділах 4.1.1 і 4.1.3, дозволяється використовувати таку великогабаритну тару: Для батарей і одиниць обладнання, що містять батареї: тверду великогабаритну тару, що відповідає експлуатаційним вимогам для групи упакування I і виготовлену з: сталі (50A); алюмінію (50B); металу, крім сталі або алюмінію (50N); твердої пластмаси (50H); фанери (50D); твердого фібрового картону (50G). (1) У випадку швидкого розпаду, небезпечної реакції, виникнення полум’я, небезпечного виділення тепла, небезпечного викиду токсичних, корозійних або займистих газів або пар під час перевезення батареї великогабаритна тара повинна відповідати таким додатковим експлуатаційним вимогам: а) температура зовнішньої поверхні готової упаковки не повинна перевищувати 100 °C. Припустимим є короткочасне підвищення температури до 200 ºC. b) полум’я не повинне виходити за межі упаковки; c) не повинне відбуватися розкидання за межі упаковки; d) повинна зберігатися конструкційна цілісність упаковки; і e) великогабаритна тара повинна мати систему керування газами (наприклад, мати систему фільтрації, систему циркуляції повітря, систему втримання газу, бути газонепроникною і т.д.), залежно від конкретного випадку. (2) Додаткові експлуатаційні вимоги до великогабаритної тари повинні перевірятися за допомогою випробування, зазначеного компетентним органом Договірної сторони ДОПНВ, який може також визнати випробування, проведене компетентним органом країни, що не є Договірною стороною ДОПНВ, за умови, що таке випробування було проведено відповідно до процедур, застосовуваних згідно з МПНВ, ДОПНВ, ВОПНВ, МКМПНВ або Технічними інструкціями ІКАО a. За запитом повинен надаватися протокол випробування. В якості мінімальної вимоги в протоколі випробування повинні бути вказані найменування батарей, їх тип, визначений у підрозділі 38.3.2.3 Керівництва з випробувань і критеріїв, максимальна кількість батарей, загальна маса батарей, загальна енергоємність батарей, ідентифікаційний код великогабаритної тари і дані випробувань відповідно до методів, зазначених компетентним органом. Частиною протоколу випробування повинен бути також набір конкретних інструкцій, що описують спосіб використання упаковки. (3) Якщо в якості холодоагенту використовується сухий лід або рідкий азот, повинні застосовуватися вимоги розділу 5.5.3. Внутрішня тара й зовнішня тара повинні зберігати свою цілісність при температурі використовуваного холодоагенту, а також при температурі й тиску, які можуть виникнути у випадку втрати холодоагенту. (4) Підприємства — виробники тари і підприємства, що займаються її подальшим продажем, повинні надавати вантажовідправнику конкретні інструкції з використання упаковки. Такі інструкції повинні включати, принаймні, ідентифікаційне позначення батарей і одиниць обладнання, які можуть міститися всередині тари, максимальну кількість батарей, що містяться в упаковці, і максимальну загальну енергоємність батарей, а також конфігурацію всередині упаковки, включаючи поділ і захист, використовувані під час випробування для перевірки експлуатаційних характеристик. |
||
|
Додаткова вимога: |
||
|
Батареї повинні бути захищені від короткого замикання. |
||
a Коли доречно, для оцінки експлуатаційних характеристик великогабаритної тари можуть бути використані такі критерії:
а) оцінка повинна проводитися в рамках системи керування якістю (наприклад, як описано в пункті 2.2.9.1.7 e)), що дозволяє відслідковувати результати випробувань, вихідні дані й використовувані моделі опису;
b) перераховані види небезпеки, очікувані у випадку некерованого нагрівання для даного типу батареї в тому стані, у якому вона перевозиться (наприклад, використання внутрішньої тари, ступінь заряду (СЗ), використання достатньої кількості негорючого, електронепровідного й абсорбувального прокладного матеріалу і т.д.), повинні бути чітко визначені й оцінені кількісно; для цієї цілі може бути використано довідковий перелік можливих видів небезпеки літієвих елементів або батарей (швидкий розпад, небезпечна реакція, виникнення полум’я, і небезпечне виділення тепла, небезпечний викид токсичних, корозійних або займистих газів або пар). Кількісний опис даних видів небезпеки повинен спиратися на наявну наукову літературу;
c) необхідно визначити й охарактеризувати пом’якшення наслідків за рахунок використання великогабаритної тари, виходячи з характеру забезпечуваного захисту й властивостей конструкційних матеріалів. Для обґрунтування даної оцінки повинен використовуватися перелік технічних характеристик і креслення (щільність [кг/м-3], питома теплоємність [Дж/кг·K], теплотворна здатність [кДж/кг], теплопровідність [Вт/м·K], температура плавлення й займистості [K], коефіцієнт теплопередачі зовнішньої тари [Вт/м·K] …);
d) при випробуваннях і підтверджувальних розрахунках повинні оцінюватися результати некерованого нагрівання батареї усередині великогабаритної тари у нормальних умовах перевезення;
e) якщо СЗ батареї не відома, оцінка повинна проводитися на підставі максимального можливого значення СЗ, що відповідає умовам експлуатації батареї;
f) повинні бути зазначені навколишні умови, при яких може використовуватися й перевозитися великогабаритна тара (включаючи можливі наслідки викиду газу або диму в довкілля, зокрема наявність вентиляції або інших методів), відповідно до системи керування газами великогабаритної тари;
g) випробування або розрахунки моделей повинні ґрунтуватися на найгіршому сценарії виникнення й поширення некерованого нагрівання усередині батареї: даний сценарій включає найгіршу можливу несправність у нормальних умовах перевезення, максимальні викиди тепла й полум’я при можливому поширенні реакції;
h) такі сценарії повинні оцінюватися за досить тривалий період часу, щоб охопити всі можливі наслідки (наприклад, 24 години).
i) у випадку кількох батарей і декількох одиниць устаткування, що містять батареї, повинні розглядатися додаткові вимоги, такі як максимальна кількість батарей і одиниць обладнання, загальна максимальна енергоємність батарей і конфігурація всередині упаковки, включаючи поділ і захист частин.
4.1.4.4 (Виключено)
4.1.5 Спеціальні положення з упакування вантажів класу 1
4.1.5.1 Повинні виконуватися загальні положення, викладені в розділі 4.1.1.
4.1.5.2 Будь-яка тара, призначена для вантажів класу 1, повинна бути сконструйована й виготовлена таким чином, щоб:
a) вона захищала вибухові речовини й вироби, запобігала їх витоку або випаданню й не підвищувала небезпеки випадкового займання або ініціювання в нормальних умовах перевезення, включаючи можливі зміни температури, вологості й тиску;
b) готові упаковки можна було безпечно обробляти в нормальних умовах перевезення; і
c) упаковки витримували будь-який вантаж, установлений на них при штабелюванні, якому вони можуть бути піддані в ході перевезення, щоб не підвищувалася небезпека, яку становлять вибухові речовини й вироби, щоб не зменшувалася здатність тари втримувати вантажі й щоб упаковки не деформувалися таким чином, що це могло б зменшити їх міцність або стійкість штабеля.
4.1.5.3 Усі вибухові речовини й вироби, підготовлені для перевезення, повинні класифікуватися відповідно до процедур, викладених у розділі 2.2.1.
4.1.5.4 Вантажі класу 1 повинні впаковуватися відповідно до належної інструкції з упакування, зазначеної в стовпчику 8 таблиці А глави 3.2 і викладеної в розділі 4.1.4.
4.1.5.5 Якщо в ДОПНВ не передбачено інше, то тара, включаючи КСМ і великогабаритну тару, повинна задовольняти вимогам глав 6.1, 6.5 або 6.6, залежно від конкретного випадку, і вимогам щодо випробувань для групи упакування II.
4.1.5.6 Запірні пристрої тари, що містить рідкі вибухові речовини, повинен забезпечувати подвійний захист проти витоку.
4.1.5.7 Запірні пристрої металевих барабанів повинні бути оснащені відповідною прокладкою; якщо запірні пристрої мають різьблення, то повинна бути виключена можливість потрапляння на її витки вибухових речовин.
4.1.5.8 Речовини, розчинні у воді, повинні впаковуватися у вологонепроникну тару. Тара, призначена для десенсибілізованих або флегматизованих речовин, повинна закриватися таким чином, щоб під час перевезення не змінювалася їх концентрація.
4.1.5.9 Якщо тара має подвійну оболонку, заповнену водою, яка може змерзнути під час перевезення, то для уникнення замерзання у воду слід додати достатню кількість антифризу. Не повинен використовуватися антифриз, що має вогненебезпечні властивості.
4.1.5.10 Цвяхи, скоби й інші металеві запірні пристрої, що не мають захисного покриття, не повинні проникати усередину зовнішньої тари, якщо внутрішня тара не захищає належним чином вибухові речовини й вироби від контакту з металом.
4.1.5.11 Внутрішня тара, фітинги й прокладні матеріали, а також розміщення вибухових речовин або виробів в упаковці повинні бути такими, щоб у нормальних умовах перевезення вибухова речовина не могла поширитися усередині зовнішньої тари. Металеві елементи виробів не повинні стикатися з металевою тарою. Вироби, що містять вибухові речовини, не поміщені в зовнішню оболонку, повинні бути відділені один від одного для уникнення тертя або стикання. Для цієї мети можуть використовуватися прокладки, лотки, розділові перегородки у внутрішній або зовнішній тарі, а також форми або ємності.
4.1.5.12 Тара повинна бути виготовлена з матеріалів, сумісних з вибуховими речовинами або виробами, що містяться в упаковці, а також бути непроникною для них таким чином, щоб у випадку контакту між вибуховими речовинами або виробами й пакувальними матеріалами або у випадку витоку вибухових речовин вони не ставали небезпечними для перевезення й не відбувалася зміна підкласу небезпеки або групи сумісності.
4.1.5.13 Не повинно допускатися проникнення вибухових речовин у заглибини швів металевої тари, виготовленої методом фальцювання.
4.1.5.14 Пластмасова тара не повинна мати здатність генерувати або накопичувати таку кількість статичної електрики, при якій електростатичний розряд міг би призвести до ініціювання, займання або спрацьовування впакованих вибухових речовин або виробів.
4.1.5.15 Великогабаритні й масивні вибухові вироби, зазвичай призначені для військового використання, не оснащені власними засобами ініціювання або оснащені власними засобами ініціювання, що мають не менше двох ефективних запобіжників, можуть перевозитися в неупакованому вигляді. Якщо такі вироби містять метальні заряди або є саморушними, їх системи запалювання повинні бути захищені проти збудливих впливів, здатних виникнути в нормальних умовах перевезення. Негативний результат випробувань серії 4, проведених на неупакованому виробі, вказує на те, що виріб може розглядатися на предмет перевезення в неупакованому вигляді. Такі неупаковані вироби можуть установлюватися на опори або міститися в лати або інші придатні для обробки, зберігання або запуску пристрої таким чином, щоб у нормальних умовах перевезення вони не могли переміщатися.
Якщо при проведенні випробувань на експлуатаційну безпеку й придатність такі великогабаритні вибухові вироби проходять випробування, що відповідають вимогам ДОПНВ, і успішно витримують їх, компетентний орган може допустити такі вироби до перевезення, здійснюваного відповідно до ДОПНВ.
4.1.5.16 Вибухові речовини не повинні впаковуватися в таку внутрішню або зовнішню тару, при використанні якої різниця між внутрішнім і зовнішнім тиском, викликана тепловими або іншими впливами, може призвести до вибуху або розриву упаковки.
4.1.5.17 Якщо незакріплені вибухові речовини або вибухова речовина, що міститься у виробі, не укладеному або частково поміщеному в оболонку, можуть стикатися із внутрішньою поверхнею металевої тари (1A1, 1A2, 1B1, 1B2, 1N1, 1N2, 4A, 4B, 4N і металеві ємності), металева тара повинна мати вкладиш або внутрішнє покриття (див. підрозділ 4.1.1.2).
4.1.5.18 Незалежно від того, чи відповідає або не відповідає тара інструкції з упакування, що зазначена в стовпчику 8 таблиці А глави 3.2, для будь-якої вибухової речовини або виробу може використовуватися інструкція з упакування Р101, якщо тара затверджена компетентним органом.
4.1.6 Спеціальні положення з упакування вантажів класу 2 і вантажів інших класів, віднесених до інструкції з упакування P200
4.1.6.1 У цьому розділі містяться загальні вимоги, встановлені до використання посудин під тиском і відкритих криогенних посудин для перевезення речовин класу 2 і вантажів інших класів, віднесених до інструкції з упакування Р200 (наприклад, № ООН 1051 водень ціанистий, стабілізований). Посудини під тиском повинні бути сконструйовані й закриті таким чином, щоб не допускати якої-небудь втрати вмісту, яка могла б відбутися в нормальних умовах перевезення в результаті вібрації, зміни температури, вологості або тиску (наприклад, через зміну висоти над рівнем моря).
4.1.6.2 Частини посудин під тиском і відкритих криогенних посудин, що перебувають у безпосередньому стиканні з небезпечними вантажами, не повинні піддаватися впливу небезпечних вантажів або втрачати міцність у результаті такого впливу й не повинні викликати небезпечних ефектів (наприклад, каталізувати або вступати в реакцію з небезпечними вантажами) (див. також таблицю стандартів наприкінці цього розділу).
4.1.6.3 Посудини під тиском, включаючи їх затвори, і відкриті криогенні посудини повинні відбиратися для наповнення газом або сумішшю газів відповідно до вимог підрозділу 6.2.1.2 і вимогами відповідних інструкцій з упакування, що містяться в підрозділі 4.1.4.1. Положення цього підрозділу застосовуються також до посудин під тиском, що є елементами БЕГК і транспортних засобів-батарей.
4.1.6.4 При зміні профілю використання посудини під тиском багаторазового використання повинні проводитися операції зі спорожнювання, продувки, відкачки, необхідні для забезпечення безпечної експлуатації (див. також таблицю стандартів наприкінці цього розділу). Поряд із цим посудина під тиском, що раніше містила корозійну речовину класу 8 або речовину іншого класу, що характеризується додатковою небезпекою корозійного впливу, не допускається для перевезення речовин класу 2, якщо не були проведені необхідні перевірки й випробування, передбачені в підрозділах 6.2.1.6 і 6.2.3.5 відповідно.
4.1.6.5 До наповнення посудини під тиском або відкритої криогенної посудини підприємство, яке робить наповнення, здійснює його перевірку й засвідчує те, що посудина під тиском або відкрита криогенна посудина дозволена для перевезення відповідної речовини й, у випадку хімічного продукту під тиском, газу-витиснювача й що дотримані відповідні вимоги. Після наповнення запірні вентилі закриваються й повинні залишатися закритими під час перевезення. Відправник вантажу повинен перевірити герметичність затворів і обладнання.
ПРИМІТКА: Запірні вентилі, установлені на окремих балонах у в’язках, можуть бути відкриті під час перевезення, крім випадків, коли речовина, що перевозиться, підпадає під дію спеціального положення з упакування «k» або «q» інструкції з упакування P200.
4.1.6.6 Посудини під тиском і відкриті криогенні посудини повинні наповнюватися відповідно до значень робочого тиску й коефіцієнта наповнення й положеннями, зазначеними у відповідних інструкціях з упакування для конкретної речовини, що завантажується в посудини, і з урахуванням найнижчого номінального тиску будь-якого компонента. Експлуатаційне обладнання, що має номінальний тиск нижче, ніж у інших компонентів, повинне, тим не менш, відповідати вимогам пункту 6.2.1.3.1.
4.1.6.7 Посудини під тиском, включаючи їх затвори, повинні відповідати вимогам відносно конструкції, виготовлення, перевірки й випробувань, викладених у главі 6.2. Коли вимагається використання зовнішньої тари, посудини під тиском і відкриті криогенні посудини повинні міцно закріплюватися в цій тарі. Якщо в докладних інструкціях з упакування не передбачено інше, у зовнішню тару можуть поміщуватися одна або більше одиниць внутрішньої тари.
4.1.6.8 Вентилі і з’єднані з ними інші компоненти, які повинні залишатися на своєму місці під час перевезення (наприклад, транспортно-завантажувальні пристосування або адаптери), повинні бути сконструйовані й виготовлені таким чином, щоб у силу своєї конструкції вони могли витримувати ушкодження без викиду вмісту посудини під тиском, або повинні бути захищені від ушкоджень, які можуть викликати випадковий викид умісту посудини під тиском, з використанням одного з наступних методів (див. також таблицю стандартів наприкінці цього розділу):
a) вентилі повинні бути встановлені усередині горловини посудини під тиском і захищені різьбовою заглушкою або ковпаком;
b) вентилі повинні бути захищені запобіжними ковпаками або захисними пристроями. В ковпаках повинні бути передбачені вентиляційні отвори з достатньою площею поперечного перерізу для видалення газу в разі його витоку через вентилі;
c) вентилі повинні бути захищені кожухами або постійними захисними пристосуваннями;
d) посудини під тиском повинні перевозитися в каркасах (наприклад, балони у в’язках); або
e) посудини під тиском повинні перевозитися в захисних ящиках. У випадку посудин під тиском «UN» тара, підготовлена для перевезення, повинна бути здатна витримати випробування на падіння, зазначене в підрозділі 6.1.5.3, на рівні експлуатаційних вимог для групи упакування I.
4.1.6.9 Посудини під тиском одноразового використання:
a) повинні перевозитися в зовнішній тарі, такій як ящики або лати, або розміщатися на піддонах і загортатися в термоусадочний матеріал або плівку, що розтягується;
b) повинні вміщати не більше 1,25 л по воді при наповненні займистими або токсичними газами;
c) не повинні використовуватися для перевезення токсичних газів, ЛК50 яких становить не більше 200 мл/м3; і
d) не повинні ремонтуватися після введення в експлуатацію.
4.1.6.10 Посудини під тиском багаторазового використання, крім закритих криогенних посудин, повинні періодично проходити перевірку відповідно до положень підрозділу 6.2.1.6 або пункту 6.2.3.5.1 у випадку посудин, що не є посудинами «UN», а також інструкціями з упакування Р205, Р206 або Р208 відповідно. Клапани скидання тиску для закритих криогенних посудин повинні проходити періодичні перевірки і випробування відповідно до положень пункту 6.2.1.6.3 і інструкції з упакування P203. Посудини під тиском не повинні наповнюватися після настання строку їх періодичної перевірки, але можуть перевозитися після закінчення граничного терміну з метою проведення перевірки або вилучення з експлуатації, включаючи проміжні перевезення.
4.1.6.11 Ремонт повинен відповідати вимогам, вказаним до виготовлення й випробувань, які встановлені в діючих стандартах на конструкцію й виготовлення, і дозволяється тільки відповідно до стандартів на періодичну перевірку, зазначених в главі 6.2. Посудини під тиском, за винятком зовнішнього кожуха закритих криогенних посудин, не підлягають ремонту за наявності кожного з наступних дефектів:
a) тріщин у зварених швах або інших дефектів зварювання;
b) тріщин у стінках;
c) протікань або дефектів у матеріалі, з якого виготовлені стінки й верхнє або нижнє днище.
4.1.6.12 Посудини не повинні пред’являтися для наповнення:
a) коли вони ушкоджені настільки, що може бути порушена цілісність посудини або її експлуатаційного обладнання;
b) якщо посудина та її експлуатаційне обладнання не були оглянуті і їх справний робочий стан не був засвідчений; і
c) якщо необхідні маркувальні знаки відносно сертифікації, повторних випробувань і наповнення нерозбірливі.
4.1.6.13 Заповнені посудини не повинні пред’являтися до перевезення:
a) за наявності витоку;
b) коли вони ушкоджені настільки, що може бути порушена цілісність посудини або її експлуатаційного обладнання;
c) якщо посудина та її експлуатаційне обладнання не були оглянуті і їх справний робочий стан не був засвідчений; і
d) якщо необхідні маркувальні знаки відносно сертифікації, повторних випробувань і наповнення нерозбірливі.
4.1.6.14 На підставі аргументованого запиту компетентного органу власники повинні надавати йому всю необхідну інформацію, що підтверджує відповідність посудин під тиском установленим вимогам, на зрозумілій компетентному органу мові. Вони повинні співпрацювати із цим органом, на його прохання, у вживанні будь-яких заходів, спрямованих на усунення невідповідності посудин під тиском, які знаходяться у їх власності, установленим вимогам.
4.1.6.15 До посудин під тиском «UN» повинні застосовуватися наведені нижче у таблиці 1 стандарти ISO і стандарти EN ISO, за винятком стандартів EN ISO 4245 і EN ISO 15995. Інформацію про те, який стандарт повинен використовуватися на момент виготовлення обладнання, див. у підрозділі 6.2.2.3.
Щодо інших посудин під тиском вимоги розділу 4.1.6 вважаються виконаними, якщо застосовуються відповідні стандарти, зазначені у таблиці 4.1.6.15.1. Інформацію про те, які стандарти повинні використовуватися для виготовлення вентилів з конструктивним захистом, див. у підрозділі 6.2.4.1. Інформацію про застосовність стандартів на виготовлення запобіжних ковпаків та захисних пристроїв вентилів див. у таблиці 4.1.6.15.2.
Таблиця 4.1.6.15.1: Стандарти на посудини під тиском «UN» і посудини під тиском, крім посудин «UN»
Відповідні пункти |
Посилання |
Найменування документа |
|
EN ISO 11114-1:2020 |
Газові балони — Сумісність матеріалів, з яких виготовлено балони й вентилі, з газовим вмістом — Частина 1: Металеві матеріали |
|
|
EN ISO 11114-2:2013 |
Газові балони — Сумісність матеріалів, з яких виготовлено балони й вентилі, з газовим вмістом — Частина 2: Неметалічні матеріали |
|
|
ISO 11621:1997 або EN ISO 11621:2005 |
Газові балони — Процедури підготовки під інші гази |
|
|
4.1.6.8 Вентилі з конструктивним захистом |
Пункт 4.6.2 EN ISO 10297:2006, або пункт 5.5.2 EN ISO 10297:2014, або пункт 5.5.2 EN ISO 10297:2014 + A1:2017 |
Газові балони — Вентилі балонів — Технічні вимоги та випробування за типом конструкції |
|
Пункт 5.3.8 EN 13152:2001 + A1:2003 |
Технічні вимоги до вентилів балонів для СНГ і їх випробування — Самозакривні вентилі |
|
|
Пункт 5.3.7 EN 13153:2001 + A1:2003 |
Технічні вимоги до вентилів балонів для СНГ і їх випробування — Вентилі з ручним управлінням |
|
|
Пункт 5.9 EN ISO 14245:2010, пункт 5.9 EN ISO 14245:2019 або пункт 5.9 EN ISO 14245:2021 |
Газові балони — Технічні вимоги до вентилів балонів для СНГ і їх випробування — Самозакривні вентилі |
|
|
Пункт 5.10 EN ISO 15995:2010, пункт 5.9 EN ISO 15995:2019 або пункт 5.9 EN ISO 15995:2021 |
Газові балони — Технічні вимоги до вентилів балонів для СНГ і їх випробування — Вентилі з ручним управлінням |
|
|
Пункт 5.4.2 EN ISO 17879:2017 |
Газові балони — Самозакривні вентилі балонів — Технічні вимоги та випробування за типом конструкції |
|
|
Пункт 7.4 EN 12205:2001, або пункт 9.2.5 EN ISO 11118:2015, або пункт 9.2.5 EN ISO 11118:2015 + A1:2020 |
Газові балони — Металеві газові балони одноразового використання — Технічні вимоги та методи випробування |
|
|
4.1.6.8 b) |
ISO 11117:1998, або EN ISO 11117:2008 + Cor 1:2009, або EN ISO 11117:2019 |
Газові балони — Запобіжні ковпаки та захисні пристрої вентилів — Конструкція, виготовлення та випробування |
|
EN 962:1996 + A2:2000 |
Переносні газові балони — Запобіжні ковпаки та захисні пристрої вентилів на балонах для промислових і медичних газів — Конструкція, виготовлення та випробування |
|
|
4.1.6.8 с) |
Вимоги, що пред'являються до кожухів і постійних захисних пристосувань, використовуваних в якості захисту вентилів згідно з пунктом 4.1.6.8 с), наведені у відповідних стандартах на конструкцію корпусів посудин під тиском (див. підрозділ 6.2.2.3 відносно посудин під тиском «UN» та підрозділ 6.2.4.1 відносно посудин під тиском, крім посудин «UN»). |
|
|
4.1.6.8 b) і с) |
ISO 16111:2008 або ISO 16111:2018 |
Переносні ємності для зберігання газу — Водень, поглинальний оборотним металгідридом |
Таблиця 4.1.6.15.2 :Дати виготовлення, застосовні до запобіжних ковпаків та захисних пристроїв вентилів, встановлених на посудинах під тиском, крім посудин «UN»
Посилання |
Найменування документа |
Застосовується щодо виготовлення |
|
ISO 11117:1998 |
Газові балони — Запобіжні ковпаки та захисні пристрої вентилів на балонах для промислових і медичних газів — Конструкція, виготовлення та випробування |
До 31 грудня 2014 року |
|
EN ISO 11117:2008 + Cor 1:2009 |
Газові балони — Запобіжні ковпаки та захисні пристрої вентилів — Конструкція, виготовлення та випробування |
До 31 грудня 2024 року |
|
EN ISO 11117:2019 |
Газові балони — Запобіжні ковпаки та захисні пристрої вентилів — Конструкція, виготовлення та випробування |
До подальшої вказівки |
|
EN 962:1996 +А2:2000 |
Переносні газові балони — Запобіжні ковпаки та захисні пристрої вентилів на балонах для промислових і медичних газів — Конструкція, виготовлення та випробування |
До 31 грудня 2014 року |
4.1.7 Спеціальні положення з упакування органічних пероксидів (клас 5.2) і самореактивних речовин класу 4.1
4.1.7.0.1 Усі посудини для органічних пероксидів повинні бути «ефективно закритими». У тих випадках, коли в результаті виділення газу може виникнути значний внутрішній тиск, можуть установлюватися вентиляційні пристрої за умови, що газ, що викидається, не викликає небезпеки; у протилежному випадку повинен обмежуватися ступінь наповнення. Будь-які вентиляційні пристрої повинні бути сконструйовані таким чином, щоб виключався витік рідини, коли упаковка перебуває у вертикальному положенні, і повинні мати змогу запобігати потраплянню всередину пристроїв забруднень. За наявності зовнішньої тари вона повинна бути сконструйована таким чином, щоб не перешкоджати роботі вентиляційного пристрою.
4.1.7.1 Використання тари (крім КСМ)
4.1.7.1.1 Тара, використовувана для органічних пероксидів і самореактивних речовин, повинна відповідати вимогам глави 6.1 і повинна задовольняти її вимогам відносно випробувань для групи упакування II.
4.1.7.1.2 Методи упакування органічних пероксидів і самореактивних речовин перелічені в інструкції з упакування Р520; їм привласнені коди OP1–OP8. Кількості, зазначені для кожного методу, являють собою максимальні дозволені кількості на одну упаковку.
4.1.7.1.3 Належні методи упакування вже класифікованих органічних пероксидів і самореактивних речовин зазначені в пунктах 2.2.41.4 і 2.2.52.4.
4.1.7.1.4 Що стосується нових органічних пероксидів, нових самореактивних речовин або нових сполук класифікованих органічних пероксидів або самореактивних речовин, то для призначення належного методу упакування повинна використовуватися наступна процедура:
a) ОРГАНІЧНИЙ ПЕРОКСИД ТИПУ В або САМОРЕАКТИВНА РЕЧОВИНА ТИПУ B:
Повинен призначатися метод упакування OP5 за умови, що органічний пероксид (або самореактивна речовина) задовольняє критеріям пункту 20.4.3 b) (відповідно 20.4.2 b)) Керівництва з випробувань і критеріїв у тарі, зазначеної для даного методу упакування. Якщо органічний пероксид (або самореактивна речовина) може задовольняти цим критеріям тільки в тарі меншої місткості, ніж місткість, зазначена для методу упакування OP5 (тобто в тарі, що перелічена для методів упакування ОР1–ОР4), то призначається відповідний метод упакування з меншою цифрою в коді ОР.
b) ОРГАНІЧНИЙ ПЕРОКСИД ТИПУ С або САМОРЕАКТИВНА РЕЧОВИНА ТИПУ С:
Повинен призначатися метод упакування OP6 за умови, що органічний пероксид (або самореактивна речовина) задовольняє критеріям пункту 20.4.3 с) (відповідно 20.4.2 с)) Керівництва з випробувань і критеріїв у тарі, що зазначена для даного методу упакування. Якщо органічний пероксид (або самореактивна речовина) може задовольняти цим критеріям тільки в тарі меншої місткості, ніж місткість, зазначена для методу упакування OP6, то призначається відповідний метод упакування з меншою цифрою в коді ОР.
c) ОРГАНІЧНИЙ ПЕРОКСИД ТИПУ D або САМОРЕАКТИВНА РЕЧОВИНА ТИПУ D:
Для цього типу органічного пероксиду або самореактивної речовини повинен призначатися метод упакування OP7.
d) ОРГАНІЧНИЙ ПЕРОКСИД ТИПУ E або САМОРЕАКТИВНА РЕЧОВИНА ТИПУ E:
Для цього типу органічного пероксиду або самореактивної речовини повинен призначатися метод упакування OP8.
e) ОРГАНІЧНИЙ ПЕРОКСИД ТИПУ F або САМОРЕАКТИВНА РЕЧОВИНА ТИПУ F:
Для цього типу органічного пероксиду або самореактивної речовини повинен призначатися метод упакування OP8.
4.1.7.2 Використання контейнерів середньої вантажопідйомності для масових вантажів
4.1.7.2.1 Класифіковані в цей час органічні пероксиди, конкретно зазначені в інструкції з упакування IBC520, можуть перевозитися в КСМ відповідно до цієї інструкції з упакування. КСМ повинні відповідати вимогам глави 6.5 і повинні задовольняти її вимогам відносно випробувань для групи упакування II.
4.1.7.2.2 Інші органічні пероксиди й самореактивні речовини типу F можуть перевозитися в КСМ із дотриманням умов, установлених компетентним органом країни походження, якщо цей компетентний орган на підставі результатів відповідних випробувань упевнився в тому, що таке перевезення може бути безпечним. Випробування необхідні, зокрема, для:
a) підтвердження того, що органічний пероксид (або самореактивна речовина) відповідає принципам класифікації, наведеним у пункті 20.4.3 f) [відповідно 20.4.2 f)] Керівництва з випробувань і критеріїв, вихідний блок F на рис. 20.1 b) Керівництва;
b) підтвердження сумісності всіх матеріалів, які зазвичай стикаються з речовиною в ході перевезення;
c) визначення на основі ТСПР, якщо буде потреба, контрольної й аварійної температур для перевезення продукту у відповідному КСМ;
d) визначення характеристик пристроїв для скидання тиску й аварійних запобіжних пристроїв, якщо такі необхідні; і
e) визначення спеціальних заходів, які можуть знадобитися для безпечного перевезення речовини.
Якщо країна походження не є Договірною стороною ДОПНВ, то класифікація й умови перевезення повинні бути визнані компетентним органом першої країни, що є Договірною стороною ДОПНВ за маршрутом перевезення вантажу.
4.1.7.2.3 Аварійними ситуаціями, які необхідно враховувати, є самоприскорюване розкладання й охоплення КСМ вогнем. З метою попередження вибухового руйнування металевих або складених КСМ із суцільною металевою оболонкою аварійні запобіжні пристрої повинні бути розраховані на видалення всіх продуктів розкладання й пар, що виділяються при самоприскорюваному розкладанні, або на їх видалення протягом не менше однієї години при повному охопленні КСМ вогнем. Розрахунки проводяться за формулами, наведеними у пункті 4.2.1.13.8.
4.1.8 Спеціальні положення з упакування інфекційних речовин (клас 6.2)
4.1.8.1 Відправники вантажу інфекційних речовин повинні забезпечити таку підготовку упаковок до перевезення, щоб вони прибули в місце призначення в належному стані й під час перевезення не становили небезпеки для людей або тварин.
4.1.8.2 До упаковок із інфекційними речовинами застосовуються визначення, що містяться в розділі 1.2.1, і загальні положення з упакування, викладені в пунктах 4.1.1.1-4.1.1.17, за винятком пунктів 4.1.1.10-4.1.1.12 і 4.1.1.15. Однак рідини повинні завантажуватися тільки в тару, що має належний опір внутрішньому тиску, який може виникнути в нормальних умовах перевезення.
4.1.8.3 Між вторинною тарою й зовнішньою тарою повинен бути поміщений докладний перелік умісту. Якщо інфекційні речовини, що підлягають перевезенню, невідомі, але передбачається, що вони відповідають критеріям для включення до категорії А, то в документі, вкладеному в зовнішню тару, після належного відвантажувального найменування повинно вказуватися в дужках наступне: «Інфекційна речовина, що приблизно відноситься до категорії А».
4.1.8.4 Перед поверненням порожньої тари відправнику вантажу або іншому одержувачу вона повинна бути дезінфікована або стерилізирована з метою усунення будь-якої небезпеки, і всі знаки небезпеки або маркувальні знаки, що вказують, що в ній містилася інфекційна речовина, повинні бути зняті або стерті.
4.1.8.5 За умови збереження еквівалентного рівня експлуатаційних характеристик, без додаткового випробування заповненої тари, дозволяється використовувати наступні різновиди первинних посудин, що містяться у вторинну тару:
a) Можуть використовуватися первинні посудини однакового або меншого розміру в порівнянні з первинними посудинами, що пройшли випробування, за умови, що:
i) первинні посудини мають таку ж саму конструкцію, як і первинні посудини, що пройшли випробування (наприклад, форму – круглу, прямокутну і т.д.);
ii) конструкційний матеріал первинних посудин (скло, пластмаса, метал і т.д.) у порівнянні зі спочатку випробуваними первинними посудинами забезпечує рівноцінну або більшу ударостійкість або опір силам, що виникають при штабелюванні;
iii) первинні посудини мають такі ж самі або менші отвори й обладнані затвором аналогічної конструкції (наприклад, кришкою, що нагвинчується, притертою пробкою і т.д.);
iv) використовується достатня кількість додаткового прокладного матеріалу для заповнення порожнеч і запобігання значним переміщенням первинних посудин;
v) первинні посудини розташовуються у вторинній тарі так само, як в упаковці, що пройшла випробування.
b) Можна використовувати меншу кількість випробовуваних первинних посудин або альтернативних типів первинних посудин, зазначених у підпункті а) вище, за умови додавання достатньої кількості прокладного матеріалу для заповнення порожнечі (порожнеч) і запобігання значним переміщенням первинних посудин.
4.1.8.6 Пункти 4.1.8.1–4.1.8.5 застосовуються тільки до інфекційних речовин категорії А (№ ООН 2814 і 2900). Вони не застосовуються ні до № ООН 3373 «БІОЛОГІЧНИЙ ПРЕПАРАТ, КАТЕГОРІЯ В» (див. інструкцію з упакування Р650 у підрозділі 4.1.4.1), ні до № ООН 3291 «ВІДХОДИ ЛІКАРНЯНОГО ПОХОДЖЕННЯ, РІЗНІ, Н.З.К.», або «(БІО) МЕДИЧНІ ВІДХОДИ, Н.З.К.», або «МЕДИЧНІ ВІДХОДИ, ЩО ПІДПАДАЮТЬ ПІД ДІЮ ВІДПОВІДНИХ ПРАВИЛ, Н.З.К.».
4.1.8.7 Під час перевезення матеріалу тваринного походження тара або КСМ, використання яких прямо не дозволене у відповідній інструкції з упакування, не повинні використовуватися для перевезення тієї або іншої речовини або виробу, крім випадків, коли їх використання прямо дозволене компетентним органом країни походження2 і дотримуються наступні умови:
a) альтернативна тара повинна відповідати загальним вимогам цієї частини;
b) якщо це передбачено інструкцією з упакування, зазначеною в стовпчику 8 таблиці А глави 3.2, альтернативна тара повинна відповідати вимогам частини 6;
c) компетентний орган країни походження2 повинен установити, що альтернативна тара забезпечує принаймні такий же самий рівень безпеки, як ніби речовина була впакована відповідно до методу, зазначеного в конкретній інструкції з упакування, зазначеній в стовпчику 8 таблиці А глави 3.2; і
d) кожний вантаж повинен перевозитися в супроводі копії свідоцтва про затвердження, виданого компетентним органом, або в транспортному документі повинна міститися вказівка про те, що альтернативна тара була затверджена компетентним органом.
4.1.9 Спеціальні положення з упакування радіоактивних матеріалів
4.1.9.1 Загальні вимоги
4.1.9.1.1 Радіоактивні матеріали, пакувальні комплекти (тара) і упаковки повинні відповідати вимогам глави 6.4. Кількість радіоактивного матеріалу в упаковці не повинна перевищувати меж, зазначених у пунктах 2.2.7.2.2, 2.2.7.2.4.1, 2.2.7.2.4.4, 2.2.7.2.4.5, 2.2.7.2.4.6, спеціальному положенні 336 глави 3.3 і підрозділі 4.1.9.3.
ДОПНВ поширюється на наступні типи упаковок для радіоактивних матеріалів:
a) звільнена упаковка (див. пункт 1.7.1.5);
b) промислова упаковка типу 1 (упаковка типу ПУ-1);
c) промислова упаковка типу 2 (упаковка типу ПУ-2);
d) промислова упаковка типу 3 (упаковка типу ПУ-3);
e) упаковка типу А;
f) упаковка типу B(U);
g) упаковка типу В(М);
h) упаковка типу С.
До упаковок, що містять подільний матеріал або гексафторид урану, застосовуються додаткові вимоги.
4.1.9.1.2 Нефіксоване радіоактивне забруднення зовнішніх поверхонь будь-якої упаковки повинне підтримуватися на найбільш низькому практично досяжному рівні й у нормальних умовах перевезення не повинне перевищувати наступних меж:
a) 4 Бк/см2 для бета- і гамма-випромінювачів і альфа-випромінювачів низької токсичності; і
b) 0,4 Бк/см2 для всіх інших альфа-випромінювачів.
Ці межі застосовуються при усередненні по будь-якій ділянці в 300 см2 будь-якої частини поверхні.
4.1.9.1.3 Упаковка не повинна містити ніяких інших предметів, крім предметів, необхідних для використання радіоактивного матеріалу. Контакт між цими предметами й упаковкою в умовах перевезення, застосовних до даної конструкції, не повинен знижувати безпеку упаковки.
4.1.9.1.4 За винятком передбаченого в розділі 7.5.11, CV33, рівень нефіксованого радіоактивного забруднення зовнішніх і внутрішніх поверхонь транспортних пакетів, контейнерів і транспортних засобів не повинен перевищувати меж, зазначених у пункті 4.1.9.1.2. Зазначена вимога не застосовується до внутрішніх поверхонь контейнерів, використовуваних у якості пакувальних комплектів, завантажених або порожніх.
4.1.9.1.5 У випадку радіоактивних матеріалів, що мають інші небезпечні властивості, ці властивості повинні бути враховані в конструкції упаковки. Радіоактивний матеріал, що становить додаткову небезпеку, поміщений в упаковку, яка не вимагає затвердження компетентним органом, повинен перевозитися в пакувальних комплектах, КСМ, цистернах або контейнерах для масових вантажів, що повністю відповідають вимогам відповідних глав частини 6, а також застосовним вимогам глав 4.1, 4.2 або 4.3 у відношенні цієї додаткової небезпеки.
4.1.9.1.6 Перед першим використанням будь-якого пакувального комплекту для перевезення радіоактивного матеріалу має бути підтверджено, що він був виготовлений відповідно до технічних умов для конструкції, що забезпечують дотримання відповідних положень ДОПНВ і всіх застосовних сертифікатів про затвердження. Якщо це застосовно, повинні виконуватися також наступні вимоги:
a) якщо проектний тиск системи захисної оболонки перевищує 35 кПа (манометричний), повинна забезпечуватися відповідність системи захисної оболонки кожного пакувального комплекту затвердженим проектним вимогам, що мають відношення до здатності даної системи зберігати цілісність при даному тиску;
b) для кожного пакувального комплекту, який призначений для використання як упаковки типу B(U), типу B(M) або типу C, а також для кожного пакувального комплекту, призначеного для подільного матеріалу, ефективність його радіаційного захисту й захисної оболонки й, за необхідності, характеристики теплопередачі й ефективність системи локалізації повинні перебувати в межах, застосовних або зазначених для затвердженої конструкції;
c) для всіх пакувальних комплектів, призначених для подільного матеріалу, повинна бути забезпечена ефективність пристроїв безпеки з критичності в межах, застосовних або зазначених для даної конструкції, і зокрема в тих випадках, коли з метою дотримання вимог пункту 6.4.11.1 спеціально передбачаються поглиначі нейтронів, повинні проводитися перевірки з метою підтвердження наявності й розподілу цих поглиначів нейтронів.
4.1.9.1.7 Перед кожним перевезенням будь-якої упаковки необхідно забезпечити, щоб ця упаковка не містила:
а) радіонуклідів, що відрізняються від тих, які зазначені для конструкції даної упаковки;
b) умісту, форма або хімічний або фізичний стан якого відрізняються від тих, які зазначені для конструкції даної упаковки.
4.1.9.1.8 Перед кожним перевезенням будь-якої упаковки необхідно забезпечити виконання всіх вимог, зазначених у відповідних положеннях ДОПНВ і в застосовних сертифікатах про затвердження. Якщо це застосовно, повинні виконуватися також наступні вимоги:
а) піднімальні пристрої, що не відповідають вимогам пункту 6.4.2.2, повинні бути зняті або іншим способом приведені в стан, що не дозволяє використовувати їх для підйому упаковки, згідно з пунктом 6.4.2.3;
b) кожна упаковка типу B(U), типу B(M) і типу С повинна бути витримана доти, поки не будуть досягнуті рівноважні умови, досить близькі до відповідних вимог по температурі й тиску, якщо тільки ці вимоги не були зняті в порядку однобічного затвердження;
с) для кожної упаковки типу B(U), типу B(M) і типу С повинні бути забезпечені шляхом перевірки та/або відповідних випробувань належне закриття всіх затворів, клапанних й інших отворів у системі герметизації, через які може відбутися витік радіоактивного вмісту, і, за необхідності, їх герметизація таким способом, щоб було наочно підтверджене виконання вимог пунктів 6.4.8.8 і 6.4.10.3;
d) для упаковок, що містять подільний матеріал, у відповідних випадках повинні проводитися виміри, зазначені в пункті 6.4.11.5 b), і перевірки з метою підтвердження закриття кожної упаковки згідно з вимогами пункту 6.4.11.8;
e) для упаковок, призначених для перевезення після зберігання, повинно забезпечуватися, щоб компоненти пакувального комплекту й радіоактивний уміст підтримувалися під час зберігання в такому стані, щоб він відповідав вимогам, установленим у відповідних положеннях ДОПНВ і в застосовних сертифікатах про затвердження.
4.1.9.1.9 Перш ніж приступити до перевезення згідно з умовами сертифікатів, відправник вантажу повинен мати також копію будь-яких інструкцій відносно належного закриття упаковки й будь-яких інших заходів щодо підготовки до перевезення.
4.1.9.1.10 За винятком вантажів, що перевозяться на умовах виняткового використання, транспортний індекс будь-якої упаковки або транспортного пакета не повинен перевищувати 10, а індекс безпеки з критичності будь-якої упаковки або транспортного пакета не повинен перевищувати 50.
4.1.9.1.11 За винятком упаковок або транспортних пакетів, що перевозяться на умовах виняткового використання при дотриманні умов, зазначених розділі 7.5.11, CV33 (3.5) а), максимальна потужність дози в будь-якій точці зовнішньої поверхні упаковки або транспортного пакета не повинна перевищувати 2 мЗв/год.
4.1.9.1.12 Максимальна потужність дози в будь-якій точці зовнішньої поверхні упаковки або транспортного пакета в умовах виняткового використання не повинна перевищувати 10 мЗв/год.
4.1.9.2 Вимоги й контроль відносно перевезення матеріалів LSA і об’єктів SCO
4.1.9.2.1 Кількість матеріалів LSA або об’єктів SCO в окремій упаковці типу ПУ-1, упаковці типу ПУ-2, упаковці типу ПУ-3 або предметі або групі предметів, залежно від випадку, повинен обмежуватися так, щоб зовнішня потужність дози на відстані 3 м від незахищеної речовини або предмета або групи предметів не перевищувала 10 мЗв/год.
4.1.9.2.2 У випадку матеріалу LSA і об’єкта SCO, які являють собою подільний матеріал, або містять подільний матеріал, не підпадають під звільнення по пункту 2.2.7.2.3.5, повинні виконуватися відповідні вимоги пунктів 7.5.11, CV33 (4.1) і (4.2).
4.1.9.2.3 У випадку матеріалу LSA і об’єкта SCO, які являють собою подільний матеріал, або містять подільний матеріал, повинні виконуватися відповідні вимоги пункту 6.4.11.1.
4.1.9.2.4 Матеріали LSA і об’єкти SCO, що відносяться до груп LSA-I, SCO-I і SCO-III, можуть перевозитися без упаковки при дотриманні наступних умов:
a) усі неупаковані матеріали, за винятком руд, що містять тільки природні радіонукліди, повинні транспортуватися таким чином, щоб у звичайних умовах перевезення не було витоку радіоактивного вмісту із транспортного засобу або погіршення захисту;
b) кожний транспортний засіб повинен знаходитися у винятковому використанні, за винятком випадків перевезення тільки об’єкта SCO-I, у якого радіоактивне забруднення доступних і недоступних поверхонь не перевищує більше ніж в 10 разів відповідну межу згідно з визначенням «Радіоактивне забруднення», що міститься в підрозділі 2.2.7.1.2;
c) у випадку об’єкта SCO-I, у відношенні якого є підстави припускати наявність нефіксованого радіоактивного забруднення недоступних поверхонь, що перевищує значення, зазначені в пункті 2.2.7.2.3.2 a) i), повинні вживатися заходи, що виключають потрапляння радіоактивного матеріалу в транспортний засіб;
d) неупакований подільний матеріал, повинен відповідати вимогам пункту 2.2.7.2.3.5 е); і
e) для SCO-III:
i) транспортування повинно здійснюватися на умовах виняткового використання;
ii) штабелювання не допускається;
iii) уся діяльність, пов'язана з перевезенням, включаючи радіаційний захист, аварійне реагування й особливі запобіжні заходи або особливі заходи адміністративного або оперативного контролю, які повинні вживатися під час транспортування, повинні бути описані в плані транспортування. У плані транспортування повинно бути показано, що загальний рівень безпеки під час транспортування як мінімум відповідає рівню, який би забезпечувався, якби дотримувалися вимоги пункту 6.4.7.14 (тільки для випробування, зазначеного в пункті 6.4.15.6, якому передують випробування, зазначені в пунктах 6.4.15.2 і 6.4.15.3);
iv) повинні дотримуватися вимоги пунктів 6.4.5.1 і 6.4.5.2 відносно упаковки типу ПУ-2, за винятком того, що максимальний збиток, зазначений у пункті 6.4.15.4, може визначатися виходячи з положень плану транспортування й вимоги пункту 6.4.15.5 не застосовуються;
v) об'єкт і засоби його захисту кріпляться до перевізного засобу відповідно до пункту 6.4.2.1;
vi) перевезення підлягає багатобічному затвердженню.
4.1.9.2.5 Матеріали LSA і об’єкти SCO, за винятком випадків, перелічених у пункті 4.1.9.2.4, повинні впаковуватися згідно з нижченаведеною таблицею:
Таблиця 4.1.9.2.5. Вимоги, встановлені до промислових упаковок, що містять матеріали LSA і об’єкти SCO
|
Радіоактивний уміст |
Тип промислової упаковки |
|
|
Виняткове використання |
Невиняткове використання |
|
|
LSA-I Тверда речовина a Рідина |
Тип ПУ-1 Тип ПУ-1 |
Тип ПУ-1 Тип ПУ-2 |
|
LSA-II Тверда речовина Рідина й газ |
Тип ПУ-2 Тип ПУ-2 |
Тип ПУ-2 Тип ПУ-3 |
|
LSA-III |
Тип ПУ-2 |
Тип ПУ-3 |
|
SCO-I a |
Тип ПУ-1 |
Тип ПУ-1 |
|
SCO-II |
Тип ПУ-2 |
Тип ПУ-2 |
a В умовах, зазначених у пункті 4.1.9.2.4, матеріали LSA-I і об’єкти SCO-I можуть транспортуватися неупакованими,
4.1.9.3 Упаковки, що містять подільні матеріали
Уміст упаковок, що містять подільний матеріал, повинен відповідати зазначеному для конструкції упаковки або безпосередньо в ДОПНВ, або в сертифікаті про затвердження.
4.1.10 Спеціальні положення із сумісного упакування
4.1.10.1 Коли сумісне упакування дозволяється відповідно до положень цього розділу, різні небезпечні вантажі або небезпечні вантажі й інші вантажі можуть упаковуватися сумісно в комбіновану тару, передбачену в підрозділі 6.1.4.21, за умови що вони не вступають у небезпечну реакцію один з одним і дотримані всі інші відповідні положення цього розділу.
ПРИМІТКА 1: Див. також пункти 4.1.1.5 і 4.1.1.6.
ПРИМІТКА 2: Відносно радіоактивного матеріалу див. розділ 4.1.9.
4.1.10.2 За винятком випадків, коли упаковки містять вантажі тільки класу 1 або тільки класу 7, якщо в якості зовнішньої тари використовуються ящики з деревини або фібрового картону, то вага упаковки, що містить різні сумісно впаковані вантажі, не повинна перевищувати 100 кг.
4.1.10.3 Якщо яке-небудь застосовне спеціальне положення, викладене в пункті 4.1.10.4, не передбачає інше, небезпечні вантажі одного й того самого класу, що мають один і той самий класифікаційний код, можуть упаковуватися сумісно.
4.1.10.4 Якщо в стовпчику 9b таблиці А глави 3.2 проти тієї або іншої позиції є відповідна вказівка, то до укладання вантажів, віднесених до цієї позиції, в одну й ту саму упаковку разом з іншими вантажами застосовуються наступні спеціальні положення.
MP1 Можуть упаковуватися тільки разом з вантажами одного й того ж самого типу й тієї ж самої групи сумісності.
MP2 Забороняється впаковувати разом з іншими вантажами.
MP3 Дозволяється сумісне упакування речовин з № ООН 1873 і № ООН 1802.
MP4 Забороняється впаковувати разом з вантажами інших класів і вантажами, що не підпадають під дію вимог ДОПНВ. Однак якщо даний органічний пероксид є отверджувачем або багатоскладовою системою для речовин класу 3, сумісне упакування із цими речовинами класу 3 дозволяється.
MP5 Речовини з № ООН 2814 і № ООН 2900 можна впаковувати сумісно в комбіновану тару відповідно до інструкції з упакування P620. Вони не повинні впаковуватися разом з іншими вантажами; ця вимога не застосовується до № ООН 3373 «Біологічний препарат, категорія В», упакованого відповідно до інструкції з упакування P650, або речовин, що додаються в якості холодоагентів, наприклад до льоду, сухого льоду або охолодженого рідкого азоту.
MP6 Забороняється впаковувати разом з іншими вантажами. Це положення не застосовується до речовин, що додаються в якості холодоагентів, наприклад до льоду, сухого льоду або охолодженого рідкого азоту.
MP7 В кількостях не більше 5 л на внутрішню тару можна впаковувати в комбіновану тару, передбачену в підрозділі 6.1.4.21, разом з
– вантажами одного й того ж самого класу, що мають інші класифікаційні коди, якщо для цих вантажів також дозволене сумісне упакування; або
– вантажами, що не підпадають під дію вимог ДОПНВ,
за умови що вони не вступають у небезпечну реакцію один з одним.
MP8 В кількостях не більше 3 л на внутрішню тару можна впаковувати в комбіновану тару, передбачену в підрозділі 6.1.4.21, разом з
– вантажами одного й того ж самого класу, що мають інші класифікаційні коди, якщо для цих вантажів також дозволене сумісне упакування; або
– вантажами, що не підпадають під дію вимог ДОПНВ,
за умови що вони не вступають у небезпечну реакцію один з одним.
MP9 Можна впаковувати в зовнішню тару, передбачену для комбінованої тари в підрозділі 6.1.4.21, разом з
– іншими вантажами класу 2;
– вантажами інших класів, якщо для цих вантажів також дозволене сумісне упакування; або
– вантажами, що не підпадають під дію вимог ДОПНВ,
за умови що вони не вступають у небезпечну реакцію один з одним.
MP10 В кількостях не більше 5 кг на внутрішню тару можна впаковувати в комбіновану тару, передбачену в підрозділі 6.1.4.21, разом з
– вантажами одного й того ж самого класу, що мають інші класифікаційні коди, або вантажами інших класів, якщо для цих вантажів також дозволене сумісне упакування; або
– вантажами, що не підпадають під дію вимог ДОПНВ,
за умови що вони не вступають у небезпечну реакцію один з одним.
MP11 В кількостях не більше 5 кг на внутрішню тару можна впаковувати в комбіновану тару, передбачену в підрозділі 6.1.4.21, разом з
– вантажами одного й того ж самого класу, що мають інші класифікаційні коди, або вантажами інших класів (за винятком речовин класу 5.1, віднесених до групи упакування I або II), якщо для цих вантажів також дозволене сумісне упакування; або
– вантажами, що не підпадають під дію вимог ДОПНВ,
за умови що вони не вступають у небезпечну реакцію один з одним.
MP12 В кількостях не більше 5 кг на внутрішню тару можна впаковувати в комбіновану тару, передбачену в підрозділі 6.1.4.21, разом з
– вантажами одного й того ж самого класу, що мають інші класифікаційні коди, або вантажами інших класів (за винятком речовин класу 5.1, віднесених до групи упакування I або II), якщо для цих вантажів також дозволене сумісне упакування; або
– вантажами, що не підпадають під дію вимог ДОПНВ,
за умови що вони не вступають у небезпечну реакцію один з одним.
Вага упаковок не повинна перевищувати 45 кг; при використанні ящиків з фібрового картону у якості зовнішньої тари вага упаковки не повинна перевищувати 27 кг.
MP13 В кількостях не більше 3 кг на внутрішню тару й на упаковки можна впаковувати в комбіновану тару, передбачену в підрозділі 6.1.4.21, разом з
– вантажами одного й того ж самого класу, що мають інші класифікаційні коди, або вантажами інших класів, якщо для цих вантажів також дозволене сумісне упакування; або
– вантажами, що не підпадають під дію вимог ДОПНВ,
за умови що вони не вступають у небезпечну реакцію один з одним.
MP14 В кількостях не більше 6 кг на внутрішню тару можна впаковувати в комбіновану тару, передбачену в підрозділі 6.1.4.21, разом з
– вантажами одного й того ж самого класу, що мають інші класифікаційні коди, або вантажами інших класів, якщо для цих вантажів також дозволене сумісне упакування; або
– вантажами, що не підпадають під дію вимог ДОПНВ,
за умови що вони не вступають у небезпечну реакцію один з одним.
MP15 В кількостях не більше 3 л на внутрішню тару можна впаковувати в комбіновану тару, передбачену в підрозділі 6.1.4.21, разом з
– вантажами одного й того ж самого класу, що мають інші класифікаційні коди, або вантажами інших класів, якщо для цих вантажів також дозволене сумісне упакування; або
– вантажами, що не підпадають під дію вимог ДОПНВ,
за умови що вони не вступають у небезпечну реакцію один з одним.
MP16 (Зарезервовано)
MP17 В кількостях не більше 0,5 л на внутрішню тару й не більше 1 л на упаковки можна впаковувати в комбіновану тару, передбачену в підрозділі 6.1.4.21, разом з
– вантажами інших класів, за винятком класу 7, якщо для цих вантажів також дозволене сумісне упакування; або
– вантажами, що не підпадають під дію вимог ДОПНВ,
за умови що вони не вступають у небезпечну реакцію один з одним.
MP18 В кількостях не більше 0,5 кг на внутрішню тару й не більше 1 кг на упаковки можна впаковувати в комбіновану тару, передбачену в підрозділі 6.1.4.21, разом з
– вантажами інших класів, за винятком класу 7, якщо для цих вантажів також дозволене сумісне упакування; або
– вантажами, що не підпадають під дію вимог ДОПНВ,
за умови що вони не вступають у небезпечну реакцію один з одним.
MP19 В кількостях не більше 5 л на внутрішню тару можна впаковувати в комбіновану тару, передбачену в підрозділі 6.1.4.21, разом з
– вантажами одного й того ж самого класу, що мають інші класифікаційні коди, або вантажами інших класів, якщо для цих вантажів також дозволене сумісне упакування; або
– вантажами, що не підпадають під дію вимог ДОПНВ, за умови що вони не вступають у небезпечну реакцію один з одним.
MP20 Можна впаковувати разом з речовинами, що мають той же самий номер ООН.
Забороняється впаковувати разом з вантажами класу 1, що мають інші номери ООН, крім випадків коли це передбачено спеціальним положенням MP 24.
Забороняється впаковувати разом з вантажами інших класів або вантажами, що не підпадають під дію вимог ДОПНВ.
MP21 Можна впаковувати разом з виробами, що мають той же самий номер ООН.
Забороняється впаковувати разом з вантажами класу 1, що мають інші номери ООН; винятком є:
a) їх власні засоби ініціювання за умови, що
i) виключена можливість спрацьовування цих засобів у нормальних умовах перевезення; або
ii) ці засоби оснащені щонайменше двома ефективними запобіжниками, що дозволяють запобігти вибуху виробу при випадковому спрацьовуванні засобів ініціювання; або
iii) якщо ці засоби не оснащені двома ефективними запобіжниками (тобто засоби ініціювання, віднесені до групи сумісності В), компетентний орган країни походження3 вважає, що випадкове спрацьовування засобів ініціювання не викличе вибуху виробу в нормальних умовах перевезення; і
b) вироби, що відносяться до груп сумісності C, D і E.
Забороняється впаковувати разом з вантажами інших класів або вантажами, що не підпадають під дію вимог ДОПНВ.
У випадку сумісного упакування вантажів відповідно до цього спеціального положення необхідно враховувати можливу зміну класифікації упаковки згідно з пунктом 2.2.1.1. Відносно опису вантажів у транспортному документі див. пункт 5.4.1.2.1 b).
MP22 Можна впаковувати разом з виробами, що мають той же самий номер ООН.
Забороняється впаковувати разом з вантажами класу 1, що мають інші номери ООН, крім як
a) із власними засобами ініціювання, якщо виключена можливість спрацьовування цих засобів у нормальних умовах перевезення; або
b) з виробами, що відносяться до груп сумісності C, D і E; або
c) якщо це передбачено спеціальним положенням MP 24.
Забороняється впаковувати разом з вантажами інших класів або вантажами, що не підпадають під дію вимог ДОПНВ.
У випадку сумісного упакування вантажів відповідно до цього спеціального положення необхідно враховувати можливу зміну класифікації упаковки згідно з пунктом 2.2.1.1. Відносно опису вантажів у транспортному документі див. пункт 5.4.1.2.1 b).
MP23 Можна впаковувати разом з виробами, що мають той же самий номер ООН.
Забороняється впаковувати разом з вантажами класу 1, що мають інші номери ООН, крім як
a) із власними засобами ініціювання, якщо виключена можливість спрацьовування цих засобів у нормальних умовах перевезення; або
b) якщо це передбачено спеціальним положенням MP 24.
Забороняється впаковувати разом з вантажами інших класів або вантажами, що не підпадають під дію вимог ДОПНВ.
У випадку сумісного упакування вантажів відповідно до цього спеціального положення необхідно враховувати можливу зміну класифікації упаковки згідно з пунктом 2.2.1.1. Відносно опису вантажів у транспортному документі див. пункт 5.4.1.2.1 b).
MP24 Можна впаковувати разом з вантажами, що мають номера ООН, зазначені в таблиці нижче, з дотриманням наступних умов:
– якщо в таблиці зазначена літера А, вантажі з цими номерами ООН можуть укладатися в одну й ту саму упаковку без якого-небудь спеціального обмеження по масі;
– якщо в таблиці зазначена літера В, вантажі з цими номерами ООН можуть укладатися в одну й ту саму упаковку із загальною масою вибухових речовин не більше 50 кг.
У випадку сумісного упакування вантажів відповідно до цього спеціального положення необхідно враховувати можливу зміну класифікації упаковки згідно з пунктом 2.2.1.1. Відносно опису вантажів у транспортному документі див. пункт 5.4.1.2.1 b).
|
№ ООН |
|||||||||||||||||||||||||||||||
|
A |
|||||||||||||||||||||||||||||||
|
A |
|||||||||||||||||||||||||||||||
|
B |
B |
B |
B |
||||||||||||||||||||||||||||
|
B |
B |
B |
B |
||||||||||||||||||||||||||||
|
B |
B |
B |
B |
||||||||||||||||||||||||||||
|
B |
B |
B |
B |
B |
B |
B |
B |
B |
B |
B |
B |
B |
B |
B |
B |
B |
B |
||||||||||||||
|
B |
B |
B |
B |
||||||||||||||||||||||||||||
|
B |
B |
B |
B |
||||||||||||||||||||||||||||
|
B |
B |
B |
B |
B |
B |
B |
B |
B |
B |
B |
B |
B |
B |
B |
B |
B |
B |
||||||||||||||
|
B |
B |
B |
B |
B |
B |
B |
B |
B |
B |
B |
B |
B |
B |
B |
B |
B |
B |
||||||||||||||
|
B |
B |
B |
B |
B |
B |
B |
B |
B |
B |
B |
B |
B |
B |
B |
B |
B |
B |
||||||||||||||
|
B |
B |
B |
B |
B |
B |
B |
B |
B |
B |
B |
B |
B |
B |
B |
B |
B |
B |
||||||||||||||
|
B |
B |
B |
B |
B |
B |
B |
B |
B |
B |
B |
B |
B |
B |
B |
B |
B |
B |
||||||||||||||
|
B |
B |
B |
B |
B |
B |
B |
B |
B |
B |
B |
B |
B |
B |
B |
B |
B |
B |
||||||||||||||
|
B |
B |
B |
B |
B |
B |
B |
B |
B |
B |
B |
B |
B |
B |
B |
B |
B |
B |
||||||||||||||
|
B |
B |
B |
B |
B |
B |
B |
B |
B |
B |
B |
B |
B |
B |
B |
B |
B |
B |
||||||||||||||
|
A |
A |
A |
A |
||||||||||||||||||||||||||||
|
A |
A |
A |
A |
||||||||||||||||||||||||||||
|
A |
A |
A |
A |
||||||||||||||||||||||||||||
|
A |
A |
A |
A |
||||||||||||||||||||||||||||
|
A |
A |
A |
A |
||||||||||||||||||||||||||||
|
B |
B |
B |
B |
B |
B |
B |
B |
B |
B |
B |
B |
B |
B |
B |
B |
B |
B |
||||||||||||||
|
B |
B |
B |
B |
B |
B |
B |
B |
B |
B |
B |
B |
B |
B |
B |
B |
B |
B |
||||||||||||||
|
B |
B |
B |
B |
B |
B |
B |
B |
B |
B |
B |
B |
B |
B |
B |
B |
B |
B |
||||||||||||||
|
B |
B |
B |
B |
B |
B |
B |
B |
B |
B |
B |
B |
B |
B |
B |
B |
B |
B |
||||||||||||||
|
B |
B |
B |
B |
B |
B |
B |
B |
B |
B |
B |
B |
B |
B |
B |
B |
B |
B |
||||||||||||||
|
B |
B |
B |
B |
B |
B |
B |
B |
B |
B |
B |
B |
B |
B |
B |
B |
B |
B |
||||||||||||||
|
B |
B |
B |
B |
B |
B |
B |
B |
B |
B |
B |
B |
B |
B |
B |
B |
B |
B |
||||||||||||||
|
B |
B |
B |
B |
B |
B |
B |
B |
B |
B |
B |
B |
B |
B |
B |
B |
B |
B |
||||||||||||||
|
B |
B |
B |
B |
B |
B |
B |
B |
B |
B |
B |
B |
B |
B |
B |
B |
B |
B |
||||||||||||||
|
B |
B |
B |
B |
B |
B |
B |
B |
B |
B |
B |
B |
B |
B |
B |
B |
B |
B |
||||||||||||||
|
B |
B |
B |
B |
B |
ПРИМІТКА 1: Відносно вбудованих цистерн (автоцистерн), знімних цистерн, контейнерів-цистерн і знімних кузовів-цистерн, корпуси яких виготовлені з металевих матеріалів, а також транспортних засобів-батарей і багатоелементних газових контейнерів (БЕГК) див. главу 4.3; відносно цистерн з армованих волокном пластмас див. главу 4.4; відносно вакуумних цистерн для відходів див. главу 4.5.
ПРИМІТКА 2: Переносні цистерни й БЕГК «UN», що мають маркування, що відповідає застосовним положенням глави 6.7, але затверджені в державі, що не є Договірною стороною ДОПНВ, можуть проте використовуватися для перевезення відповідно до ДОПНВ.
4.2.1 Загальні положення, що стосуються використання переносних цистерн для перевезення речовин класу 1 і класів 3–9
4.2.1.1 У цьому розділі містяться загальні положення, що стосуються використання переносних цистерн для перевезення речовин класів 1, 3, 4.1, 4.2, 4.3, 5.1, 5.2, 6.1, 6.2, 7, 8 і 9. Крім цих загальних положень переносні цистерни повинні задовольняти вимогам підрозділу 6.7.2, що стосуються конструкції, виготовлення, перевірки й випробувань. Речовини повинні перевозитися в переносних цистернах згідно з відповідною інструкцією по переносних цистернах, зазначеною у стовпчику 10 таблиці A глави 3.2 і викладеної в пункті 4.2.5.2.6 (T1-T23), а також згідно зі спеціальними положеннями по переносних цистернах, зазначеними для кожної речовини в стовпчику 11 таблиці A глави 3.2 і викладеними у підрозділі 4.2.5.3.
4.2.1.2 Під час перевезення переносні цистерни повинні бути досить надійно захищені від ушкодження корпусу й експлуатаційного обладнання в результаті поперечного або поздовжнього удару й перекидання. Якщо корпус і експлуатаційне обладнання сконструйовані таким чином, щоб витримувати навантаження при ударі або перекиданні, то такий захист не потрібний. Приклади цього захисту наведено в пункті 6.7.2.17.5.
4.2.1.3 Деякі речовини є хімічно нестійкими. Вони допускаються до перевезення тільки в тому випадку, якщо вжиті необхідні заходи із запобігання їх небезпечному розкладанню, перетворенню або полімеризації в ході перевезення. Для цього слід, зокрема, забезпечити, щоб у корпусах не містилося ніяких речовин, здатних активувати ці реакції.
4.2.1.4 У ході перевезення температура зовнішньої поверхні корпусу, за винятком отворів і їх запірних пристроїв, або теплоізоляційного матеріалу не повинна перевищувати 70 °C. Якщо необхідно, корпус повинно бути термоізольовано.
4.2.1.5 Неочищені й недегазовані порожні переносні цистерни повинні відповідати тим же самим вимогам, що й переносні цистерни, заповнені речовиною, що перевозилася раніше.
4.2.1.6 Речовини не повинні перевозитися в суміжних секціях корпусів, якщо вони можуть вступати в небезпечну реакцію одна з одною (визначення терміна «небезпечна реакція» див. у розділі 1.2.1).
4.2.1.7 Свідоцтво про затвердження конструкції, протокол випробувань і свідоцтво, що містить результати первинної перевірки й випробування кожної переносної цистерни, видані компетентним органом або вповноваженою ним організацією, повинні знаходитися в цього органу або організації й у власника. Власники повинні бути здатні надати цю документацію на вимогу будь-якого компетентного органу.
4.2.1.8 Якщо найменування речовини (речовин), що перевозиться(яться), не зазначено на металевій табличці, описаній в пункті 6.7.2.20.2, копія свідоцтва, передбаченого в пункті 6.7.2.18.1, повинна на вимогу компетентного органу або вповноваженої ним організації негайно надаватися у відповідних випадках відправником вантажу, вантажоодержувачем або іншим учасником процесу перевезення.
4.2.1.9 Ступінь наповнення
4.2.1.9.1 До наповнення відправник вантажу повинен забезпечити, щоб використовувалася належна переносна цистерна й щоб вона не завантажувалася речовинами, які при стиканні з матеріалами, з яких виготовлені корпус, прокладки, експлуатаційне обладнання й будь-яке захисне облицювання, можуть, цілком ймовірно, вступити з ними в небезпечну реакцію з утворенням небезпечних продуктів або значно знизити міцність цих матеріалів. Може виникнути необхідність у тому, щоб відправник вантажу звернувся до виробника речовини й компетентного органу за інформацією про сумісність цієї речовини з конструкційними матеріалами переносної цистерни.
4.2.1.9.1.1 Переносні цистерни не повинні заповнюватися вище рівня, зазначеного в пунктах 4.2.1.9.2–4.2.1.9.6. Застосовність положень пунктів 4.2.1.9.2, 4.2.1.9.3 або 4.2.1.9.5.1 до окремих речовин визначена у відповідних інструкціях або спеціальних положеннях по переносних цистернах, викладених у пункті 4.2.5.2.6 або в підрозділі 4.2.5.3 і зазначених у стовпчику 10 або 11 таблиці A глави 3.2.
4.2.1.9.2 Максимальний ступінь наповнення (в %) у загальному випадку визначається за формулою:
Ступінь наповнення = 
4.2.1.9.3 Максимальний ступінь наповнення (в %) для рідин класу 6.1 і класу 8, що відносяться до груп упакування I і II, а також для рідин з абсолютним тиском пар більше 175 кПа (1,75 бар) при 65 °C визначається за формулою:
Ступінь наповнення = 
4.2.1.9.4 В цих формулах a означає середню величину коефіцієнта об’ємного теплового розширення рідини в інтервалі між середньою температурою рідини під час наповнення (tf) і максимальною середньою об’ємною температурою рідини під час перевезення (tr) (обидва показника даються в градусах Цельсію). Для рідин, що перевозяться в умовах довкілля, величину a можна розрахувати за наступною формулою:

де d15 і d50 – щільність рідини при температурах 15 °C і 50 °C відповідно.
4.2.1.9.4.1 Максимальна середня об’ємна температура рідини (tr) вважається рівною 50 °C, за винятком перевезень в умовах помірного клімату або в екстремальних кліматичних умовах, коли відповідні компетентні органи можуть дозволити використовувати залежно від конкретного випадку більш низьку або більш високу температуру.
4.2.1.9.5 Положення пунктів 4.2.1.9.2–4.2.1.9.4.1 не застосовуються до переносних цистерн, що містять речовини, температура яких під час перевезення підтримується (наприклад, за допомогою нагрівального пристрою) на рівні вище 50 °C. У випадку, якщо переносна цистерна обладнана нагрівальним пристроєм, повинен використовуватися терморегулятор для забезпечення того, щоб у будь-який момент під час перевезення максимальний ступінь наповнення не перевищував 95% місткості.
4.2.1.9.5.1 Максимальний ступінь наповнення (в %) для твердих речовин, що перевозяться при температурах, що перевищують їх температуру плавлення, і для рідин, що перевозяться при високій температурі, повинен визначатися за наступною формулою:
Ступінь наповнення = 
де df і dr – щільність рідини при середній температурі рідини під час наповнення й при максимальній середній об’ємній температурі під час перевезення відповідно.
4.2.1.9.6 Переносні цистерни не повинні пред’являтися до перевезення, якщо:
a) ступінь наповнення рідинами, що мають в’язкість менше 2 680 мм2/с при температурі 20 °C або при максимальній температурі речовини під час перевезення у випадку розігрітої речовини, становить більше 20%, але менше 80%, за винятком випадків, коли корпусу переносних цистерн розділені перегородками або хвилегасильними перегородками на відсіки місткістю не більше 7 500 літрів;
b) зовнішня поверхня корпусу або експлуатаційне обладнання забруднені речовинами, що раніше перевозилися;
c) розміри витоку або ушкодження такі, що це може позначитися на цілісності переносної цистерни або її піднімальних або кріпильних приладів; і
d) експлуатаційне обладнання не було перевірене й не вважається таким, що знаходиться у справному робочому стані.
4.2.1.9.7 Під час завантаження переносних цистерн їх отвори для вилочного захоплювача автонавантажувача повинні бути закриті. Це положення не застосовується до переносних цистерн, для яких відповідно до пункту 6.7.2.17.4 наявність засобів закриття таких отворів не вимагається.
4.2.1.10 Додаткові положення, що стосуються перевезення речовин класу 3 у переносних цистернах
4.2.1.10.1 Усі переносні цистерни, призначені для перевезення легкозаймистих рідин, повинні закриватися й повинні бути оснащені запобіжними пристроями відповідно до пунктів 6.7.2.8–6.7.2.15.
4.2.1.10.1.1 У випадку переносних цистерн, призначених тільки для сухопутних перевезень, можуть використовуватися відкриті вентиляційні системи, якщо це дозволено положеннями розділу 4.3.
4.2.1.11 Додаткові положення, що стосуються перевезення речовин класів 4.1, 4.2 або 4.3 (за винятком самореактивних речовин класу 4.1) у переносних цистернах
(Зарезервовано)
ПРИМІТКА: Відносно самореактивних речовин класу 4.1 див. пункт 4.2.1.13.1.
4.2.1.12 Додаткові положення, що стосуються перевезення речовин класу 5.1 у переносних цистернах
(Зарезервовано)
4.2.1.13 Додаткові положення, що стосуються перевезення речовин класу 5.2 і самореактивних речовин класу 4.1 у переносних цистернах
4.2.1.13.1 Кожна речовина повинна бути піддана випробуванням, і протокол повинен бути переданий компетентному органу країни походження на затвердження. Відповідне повідомлення повинно бути направлене компетентному органу країни призначення. Повідомлення повинно містити відповідну інформацію про перевезення й протокол з результатами випробувань. Випробування повинні включати випробування, необхідні для:
a) підтвердження сумісності всіх матеріалів, що зазвичай стикаються з речовиною в ході перевезення;
b) надання даних, що дозволяють конструювати пристрої для скидання тиску й аварійні запобіжні пристрої з урахуванням конструкційних характеристик переносної цистерни.
У протоколі повинні бути чітко викладені будь-які додаткові заходи, необхідні для забезпечення безпечного перевезення речовини.
4.2.1.13.2 Викладені нижче положення застосовуються до переносних цистерн, призначених для перевезення органічних пероксидів типу F або самореактивних речовин типу F, що мають температуру самоприскорюваного розкладання (ТСПР) 55 °C або більше. У випадку виникнення протиріч ці положення мають переважну силу над положеннями розділу 6.7.2. Необхідно враховувати так аварійні ситуації як самоприскорюване розкладання речовини та охоплення вогнем, про які йдеться у пункті 4.2.1.13.
4.2.1.13.3 Додаткові положення, що стосуються перевезення в переносних цистернах органічних пероксидів або самореактивних речовин із ТСПР менше 55 °C, повинні встановлюватися компетентним органом країни походження. Відповідне повідомлення повинне направлятися компетентному органу країни призначення.
4.2.1.13.4 Переносна цистерна повинна бути розрахована таким чином, щоб витримувати випробувальний тиск не менше 0,4 МПа (4 бар).
4.2.1.13.5 Переносні цистерни повинні бути обладнані датчиками температури.
4.2.1.13.6 Переносні цистерни повинні бути обладнані пристроями для скидання тиску й аварійними запобіжними пристроями. Допускається також використання вакуумних запобіжних пристроїв. Пристрої для скидання тиску повинні спрацьовувати при тисках, визначених з урахуванням як властивостей речовини, так і конструкційних характеристик переносної цистерни. Наявність плавких елементів у корпусі цистерни не допускається.
4.2.1.13.7 Пристрої для скидання тиску повинні складатися з підпружинених клапанів, установлених з метою запобігання накопиченню в переносній цистерні значної кількості продуктів розкладання й пар, що утворюються при температурі 50 °C. Пропускна здатність і величина тиску спрацьовування запобіжних клапанів повинні визначатися на підставі результатів випробувань, передбачених у пункті 4.2.1.13.1. Однак величина тиску спрацьовування в жодному разі не повинна бути такою, щоб при перекиданні переносної цистерни рідина проходила через клапан(и).
4.2.1.13.8 Аварійні запобіжні пристрої можуть бути підпружиненого типу або розривного типу або являти собою комбінацію обох типів. Вони повинні бути розраховані на видалення всіх продуктів розкладання й пар, що виділяються протягом не менше однієї години при повному охопленні переносної цистерни вогнем. Для розрахунків використовується наступна формула:
q = 70 961 x F x A0,82,
де:
q = теплопоглинання (Вт),
A = зволожена площа [м2],
F = коефіцієнт теплоізоляції,
= 1 для корпусів без теплоізоляції; або
для ізотермічних корпусів,
де:
K = питома теплопровідність теплоізоляційного шару [Вт·м−1·К−1]
L = товщина теплоізоляційного шару [м]
U = K/L = коефіцієнт теплопередачі теплоізоляції [Вт·м−2·К−1]
T = температура речовини при скиданні тиску [K]
Тиск спрацьовування аварійного(их) запобіжного(их) пристрою (пристроїв) повинен перевищувати величину, передбачену в пункті 4.2.1.13.7, і ґрунтуватися на результатах випробувань, згаданих у пункті 4.2.1.13.1. Аварійні запобіжні пристрої повинні мати такі параметри, щоб максимальний тиск у переносній цистерні ніколи не перевищував її випробувального тиску.
ПРИМІТКА: Приклад методу, що дозволяє визначити параметри аварійних запобіжних пристроїв, міститься в додаванні 5 Керівництва з випробувань і критеріїв.
4.2.1.13.9 Для ізотермічних переносних цистерн пропускна здатність і установка на спрацьовування аварійного(их) запобіжного(их) пристрою (пристроїв) повинні визначатися на підставі того допущення, що порушено 1% площі теплоізоляції.
4.2.1.13.10 Вакуумні запобіжні пристрої й підпружинені клапани повинні бути оснащені полум’ягасником. При цьому необхідно належним чином ураховувати зниження пропускної здатності запобіжного клапана, викликуване наявністю полум’ягасника.
4.2.1.13.11 Таке експлуатаційне обладнання, як клапани й зовнішній трубопровід, повинні розташовуватися так, щоб речовина не залишалася в них після заповнення переносної цистерни.
4.2.1.13.12 Переносні цистерни можуть бути або оснащені теплоізоляцією, або захищені сонцезахисним екраном. Якщо значення ТСПР речовини в переносній цистерні дорівнює 55 °C або менше або якщо переносна цистерна виготовлена з алюмінію, переносна цистерна повинна бути повністю теплоізольована. Зовнішня поверхня повинна бути покрита білим матеріалом або світлим металом.
4.2.1.13.13 При температурі 15 °C ступінь наповнення переносної цистерни не повинна перевищувати 90% її місткості.
4.2.1.13.14 Маркувальні знаки, потрібні відповідно до пункту 6.7.2.20.2, повинні включати номер ООН і технічне найменування із зазначенням затвердженої концентрації відповідної речовини.
4.2.1.13.15 В переносних цистернах можуть перевозитися органічні пероксиди й самореактивні речовини, конкретно зазначені в інструкції з переносних цистерн T23, викладеній в пункті 4.2.5.2.6.
4.2.1.14 Додаткові положення, що стосуються перевезення речовин класу 6.1 у переносних цистернах
(Зарезервовано)
4.2.1.15 Додаткові положення, що стосуються перевезення речовин класу 6.2 у переносних цистернах
(Зарезервовано)
4.2.1.16 Додаткові положення, що стосуються перевезення речовин класу 7 у переносних цистернах
4.2.1.16.1 Переносні цистерни, використовувані для перевезення радіоактивних матеріалів, не повинні використовуватися для перевезення інших вантажів.
4.2.1.16.2 Ступінь наповнення переносних цистерн не повинен перевищувати 90% їх місткості або, альтернативно, будь-якого іншого значення, затвердженого компетентним органом.
4.2.1.17 Додаткові положення, що стосуються перевезення речовин класу 8 у переносних цистернах
4.2.1.17.1 Пристрої для скидання тиску переносних цистерн, використовуваних для перевезення речовин класу 8, повинні перевірятися не рідше одного разу на рік.
4.2.1.18 Додаткові положення, що стосуються перевезення речовин класу 9 у переносних цистернах
(Зарезервовано)
4.2.1.19 Додаткові положення, що стосуються перевезення твердих речовин при температурах, що перевищують їх температуру плавлення
4.2.1.19.1 Тверді речовини, які перевозяться або пред’являються до перевезення при температурах, що перевищують їх температуру плавлення, яким у стовпчику 10 таблиці А глави 3.2 не призначена інструкція з переносних цистерн або яким призначена інструкція з переносних цистерн, що не застосовується до перевезень при температурах, що перевищують їх температуру плавлення, можуть перевозитися в переносних цистернах, за умови що ці тверді речовини включені в класи 4.1, 4.2, 4.3, 5.1, 6.1, 8 або 9, не мають додаткової небезпеки, крім небезпеки класу 6.1 або класу 8, і віднесені до групи упакування II або III.
4.2.1.19.2 Якщо в таблиці А глави 3.2. не зазначено іншого, переносні цистерни, використовувані для перевезення цих твердих речовин при температурах, що перевищують їх температуру плавлення, повинні відповідати положенням інструкції з переносних цистерн Т4 для твердих речовин групи упакування III або інструкції з переносних цистерн Т7 для твердих речовин групи упакування II. Може бути обрана відповідно до пункту 4.2.5.2.5 переносна цистерна, що гарантує рівноцінний або більш високий рівень безпеки. Максимальний ступінь наповнення (в %) повинен визначатися відповідно до пункту 4.2.1.9.5 (TP3).
4.2.2 Загальні положення, що стосуються використання переносних цистерн для перевезення неохолоджених скраплених газів і хімічних продуктів під тиском
4.2.2.1 У цьому розділі містяться загальні положення, що стосуються використання переносних цистерн для перевезення неохолоджених скраплених газів і хімічних продуктів під тиском.
4.2.2.2 Переносні цистерни повинні задовольняти вимогам розділу 6.7.3, що стосуються конструкції, виготовлення, перевірки й випробувань. Неохолоджені скраплені гази й хімічні продукти під тиском повинні перевозитися в переносних цистернах відповідно до інструкції з переносних цистерн T50, викладеної в пункті 4.2.5.2.6, і будь-якими спеціальними положеннями по переносних цистернах, зазначеними для конкретних неохолоджених скраплених газів у стовпчику 11 таблиці A глави 3.2 і викладеними в підрозділі 4.2.5.3.
4.2.2.3 Під час перевезення переносні цистерни повинні бути досить надійно захищені від ушкодження корпусу й експлуатаційного обладнання в результаті поперечного або поздовжнього удару й перекидання. Якщо корпус і експлуатаційне обладнання сконструйовані таким чином, щоб витримувати навантаження при ударі або перекиданні, то такий захист не потрібен. Приклади цього захисту наведено в пункті 6.7.3.13.5.
4.2.2.4 Деякі неохолоджені скраплені гази є хімічно нестійкими. Вони допускаються до перевезення тільки в тому випадку, якщо вжиті необхідні заходи по запобіганню їх небезпечному розкладанню, перетворенню або полімеризації в ході перевезення. Для цього слід, зокрема, забезпечити, щоб у переносних цистернах не містилося ніяких неохолоджених скраплених газів, здатних активувати ці реакції.
4.2.2.5 Якщо найменування газу(ів), що перевозиться(яться), не зазначене на металевій табличці, описаній в пункті 6.7.3.16.2, копія свідоцтва, передбаченого в пункті 6.7.3.14.1, повинна на вимогу компетентного органу або вповноваженої ним організації негайно надаватися у відповідних випадках відправником вантажу, вантажоодержувачем або іншим учасником процесу перевезення.
4.2.2.6 Неочищені й недегазовані порожні переносні цистерни повинні відповідати тим же самим вимогам, що й переносні цистерни, заповнені скрапленим газом, що перевозився раніше неохолодженим.
4.2.2.7 Наповнення
4.2.2.7.1 До наповнення переносна цистерна повинна пройти перевірку для переконання в тому, що вона допущена до перевезення даного неохолодженого скрапленого газу або газу-витиснювача хімічного продукту під тиском, і забезпечення того, щоб вона не завантажувалася неохолодженими скрапленими газами або хімічними продуктами під тиском, які при стиканні з матеріалами, з яких виготовлені корпус, прокладки й експлуатаційне обладнання, можуть, цілком ймовірно, вступити з ними в небезпечну реакцію з утворенням небезпечних продуктів або значно знизити міцність цих матеріалів. Під час наповнення температура неохолодженого скрапленого газу або газу-витиснювача хімічних продуктів під тиском повинна перебувати в розрахунковому температурному інтервалі.
4.2.2.7.2 Максимальна маса неохолодженого скрапленого газу на кожний літр місткості корпусу (кг/л) не повинна перевищувати щільність неохолодженого скрапленого газу при температурі 50 °C, помножену на 0,95. Крім того, при температурі 60 °C корпус не повинен бути повністю заповнений рідиною.
4.2.2.7.3 Переносні цистерни не повинні заповнюватися понад їх максимально припустиму масу брутто й максимально припустиму масу вантажу, встановлені для кожного газу, що перевозиться.
4.2.2.8 Переносні цистерни не повинні пред’являтися до перевезення:
a) якщо при недоливі хвилювання рідини усередині переносної цистерни може створити неприпустимі гідравлічні навантаження;
b) за наявності витоку;
c) коли вони ушкоджені настільки, що може бути порушена цілісність цистерни або її піднімальних або кріпильних приладів; і
d) якщо експлуатаційне обладнання не було оглянуто й не був засвідчений його справний робочий стан.
4.2.2.9 Під час завантаження переносних цистерн їх отвори для вилочного захоплювача автонавантажувача повинні бути закриті. Це положення не застосовується до переносних цистерн, для яких відповідно до пункту 6.7.3.13.4 наявності засобів закриття таких отворів не потрібно.
4.2.3 Загальні положення, що стосуються використання переносних цистерн для перевезення охолоджених скраплених газів
4.2.3.1 У цьому розділі містяться загальні положення, що стосуються використання переносних цистерн для перевезення охолоджених скраплених газів.
4.2.3.2 Переносні цистерни повинні задовольняти вимогам розділу 6.7.4, що стосуються конструкції, виготовлення, перевірки й випробувань. Охолоджені скраплені гази повинні перевозитися в переносних цистернах відповідно до інструкції з переносних цистерн T75, викладеної в пункті 4.2.5.2.6, і спеціальних положень по переносних цистернах, зазначених для кожної речовини в стовпчику 11 таблиці A глави 3.2 і викладених в підрозділі 4.2.5.3.
4.2.3.3 Під час перевезення переносні цистерни повинні бути досить надійно захищені від ушкодження корпусу й експлуатаційного обладнання в результаті поперечного або поздовжнього удару й перекидання. Якщо корпус і експлуатаційне обладнання сконструйовані таким чином, щоб витримувати навантаження при ударі або перекиданні, то такий захист не потрібен. Приклади цього захисту наведено в пункті 6.7.4.12.5.
4.2.3.4 Якщо найменування газу(ів), що перевозиться(яться), не зазначено на металевій табличці, описаній в пункті 6.7.4.15.2, копія свідоцтва, передбаченого в пункті 6.7.4.13.1, повинна на вимогу компетентного органу або вповноваженої ним організації негайно надаватися у відповідних випадках відправником вантажу, вантажоодержувачем або іншим учасником процесу перевезення.
4.2.3.5 Неочищені й недегазовані порожні переносні цистерни повинні відповідати тим же самим вимогам, що й переносні цистерни, заповнені речовиною, що перевозилася раніше.
4.2.3.6 Наповнення
4.2.3.6.1 До наповнення переносна цистерна повинна пройти перевірку для переконання в тому, що вона допущена до перевезення даного охолодженого скрапленого газу, і забезпечення того, щоб вона не завантажувалася охолодженими скрапленими газами, які при стиканні з матеріалами, з яких виготовлені корпус, прокладки й експлуатаційне обладнання, можуть, цілком ймовірно, вступити з ними в небезпечну реакцію з утворенням небезпечних продуктів або значно знизити міцність цих матеріалів. Під час наповнення температура охолодженого скрапленого газу повинна перебувати в розрахунковому температурному інтервалі.
4.2.3.6.2 При визначенні початкового ступеня наповнення повинен братися до уваги час утримання, необхідний для передбачуваної тривалості перевезення, з урахуванням будь-яких можливих затримок. Початковий ступінь наповнення корпусу, за винятком випадків, передбачених положеннями пунктів 4.2.3.6.3 і 4.2.3.6.4, повинен бути таким, щоб у випадку підвищення температури вмісту, за винятком гелію, до рівня, при якому тиск пар дорівнює максимально припустимому робочому тиску (МПРТ), об’єм, займаний рідиною, не перевищував 98%.
4.2.3.6.3 Цистерни, призначені для перевезення гелію, можуть заповнюватися до рівня впускного отвору пристрою для скидання тиску, але не вище цього рівня.
4.2.3.6.4 У випадку, коли передбачувана тривалість перевезення значно менше часу втримання, з дозволу компетентного органу допускається більш високий початковий ступінь наповнення.
4.2.3.7 Фактичний час утримання
4.2.3.7.1 Фактичний час утримання розраховується для кожного рейсу відповідно до процедури, визнаної компетентним органом, з урахуванням наступних показників:
a) контрольного часу втримання для призначеного до перевезення охолодженого скрапленого газу (див. пункт 6.7.4.2.8.1) (відповідно до вказівок на табличці, згаданій в пункті 6.7.4.15.1);
b) фактичної щільності наповнення;
c) фактичного тиску наповнення;
d) найбільш низького тиску, установленого для пристрою (пристроїв) обмеження тиску.
4.2.3.7.2 Фактичний час утримання вказується або на самій переносній цистерні, або на міцно прикріпленій до неї металевій табличці відповідно до пункту 6.7.4.15.2.
4.2.3.7.3 Дата закінчення фактичного часу втримання повинна бути зазначена в транспортному документі (див. пункт 5.4.1.2.2 d)).
4.2.3.8 Переносні цистерни не повинні пред’являтися до перевезення:
a) якщо при недоливі хвилювання рідини усередині цистерни може створити неприпустимі гідравлічні навантаження;
b) за наявності витоку;
c) коли вони ушкоджені настільки, що може бути порушена цілісність цистерни або її піднімальних або кріпильних приладів;
d) якщо експлуатаційне обладнання не було оглянуто й не був засвідчений його справний робочий стан;
e) якщо фактичний час утримання для охолодженого скрапленого газу, що перевозиться, не визначений відповідно до підрозділу 4.2.3.7 і переносна цистерна не маркірована відповідно до пункту 6.7.4.15.2; і
f) якщо тривалість перевезення з урахуванням будь-яких можливих затримок перевищує фактичний час утримання.
4.2.3.9 Під час завантаження переносних цистерн їх отвори для вилочного захоплювача автонавантажувача повинні бути закриті. Це положення не застосовується до переносних цистерн, для яких відповідно до пункту 6.7.4.12.4 наявності засобів закриття таких отворів не вимагається.
4.2.4 Загальні положення, що стосуються використання багатоелементних газових контейнерів (БЕГК) «UN»
4.2.4.1 У цьому розділі містяться загальні вимоги, що стосуються використання багатоелементних газових контейнерів (БЕГК) для перевезення неохолоджених газів, згаданих у розділі 6.7.5.
4.2.4.2 БЕГК повинні задовольняти вимогам розділу 6.7.5, що стосуються конструкції, виготовлення, перевірки й випробувань. Елементи БЕГК повинні проходити періодичну перевірку відповідно до положень інструкції з упакування Р200, викладеної в підрозділі 4.1.4.1, і положень підрозділу 6.2.1.6.
4.2.4.3 Під час перевезення БЕГК повинні бути захищені від ушкодження елементів і експлуатаційного обладнання в результаті поперечного або поздовжнього удару й перекидання. Якщо елементи й експлуатаційне обладнання сконструйовані таким чином, щоб витримувати навантаження при ударі або перекиданні, то такий захист не потрібен. Приклади цього захисту наведено в пункті 6.7.5.10.4.
4.2.4.4 Вимоги, що стосуються періодичних випробувань і перевірок БЕГК, зазначено в підрозділі 6.7.5.12. БЕГК або їх елементи не можна завантажувати або наповнювати після настання строку періодичної перевірки, однак вони можуть перевозитися після закінчення цього строку.
4.2.4.5 Наповнення
4.2.4.5.1 До наповнення БЕГК повинен пройти перевірку для переконання в тому, що він допущений до перевезення даного газу й задовольняє вимогам застосовних положень ДОПНВ.
4.2.4.5.2 Елементи БЕГК повинні наповнюватися відповідно до значень робочого тиску й коефіцієнта наповнення, а також положень, що стосуються наповнення, наведених в інструкції з упакування Р200 у підрозділі 4.1.4.1 для конкретного газу, що завантажується в кожний елемент. Ні за яких умов БЕГК або група елементів не повинні наповнюватися в якості єдиного цілого з перевищенням найменших значень робочого тиску для кожного даного елемента.
4.2.4.5.3 БЕГК не повинні наповнюватися з перевищенням їх максимально припустимої маси брутто.
4.2.4.5.4 Після наповнення ізолюючі клапани повинні бути закриті й залишатися в такому положенні протягом перевезення. Токсичні гази (гази груп T, TF, TC, TO, TFC і TOC) повинні перевозитися тільки в таких БЕГК, у яких кожний елемент обладнаний ізолюючим клапаном.
4.2.4.5.5 Отвір (отвори) для наповнення повинен (повинні) бути закритий (закриті) ковпаками або заглушками. Після наповнення герметичність затворів і обладнання повинна перевірятися відповідальним за наповнення.
4.2.4.5.6 БЕГК не повинні пред’являтися для наповнення:
а) коли вони ушкоджені настільки, що може бути порушена цілісність посудин під тиском або їх конструктивного або експлуатаційного обладнання;
b) якщо посудини під тиском і їх конструктивне й експлуатаційне обладнання не були оглянуті й не був засвідчений їх справний робочий стан; і
с) якщо необхідні маркувальні знаки щодо сертифікації, повторних випробувань і наповнення є нерозбірливими.
4.2.4.6 Завантажені БЕГК не повинні пред’являтися до перевезення:
а) за наявності витоку;
b) коли вони ушкоджені настільки, що може бути порушена цілісність посудин під тиском або їх конструктивного або експлуатаційного обладнання;
c) якщо посудини під тиском і їх конструктивне й експлуатаційне обладнання не були оглянуті й не був засвідчений їх справний робочий стан; і
d) якщо необхідні маркувальні знаки щодо сертифікації, повторних випробувань і наповнення є нерозбірливими.
4.2.4.7 Неочищені й недегазовані порожні БЕГК повинні відповідати тим же самим вимогам, що й БЕГК, заповнені речовиною, що перевозилася раніше.
4.2.5 Інструкції й спеціальні положення по переносних цистернах
4.2.5.1 Загальні положення
4.2.5.1.1 В цьому розділі містяться інструкції й спеціальні положення по переносних цистернах, застосовні до небезпечних вантажів, дозволених до перевезення в переносних цистернах. Кожна інструкція з переносних цистерн має буквено-цифровий код (наприклад, T1). У стовпчику 10 таблиці A глави 3.2 зазначена інструкція з переносних цистерн, застосовувана у випадку кожної речовини, дозволеної до перевезення в переносній цистерні. Якщо в стовпчику 10 проти позиції, передбаченої для якого-небудь конкретного небезпечного вантажу, інструкція з переносних цистерн не зазначена, то перевезення цієї речовини в переносних цистернах дозволяється лише за умови видачі офіційного дозволу компетентним органом відповідно до пункту 6.7.1.3. Спеціальні положення по переносних цистернах зазначені для конкретних небезпечних вантажів у стовпчику 11 таблиці A глави 3.2. Кожне спеціальне положення по переносних цистернах має буквено-цифровий код (наприклад, TP1). Перелік спеціальних положень по переносних цистернах наведено в підрозділі 4.2.5.3.
ПРИМІТКА: Гази, допущені до перевезення в БЕГК, позначені літерою «(М)» у стовпчику 10 таблиці А глави 3.2.
4.2.5.2 Інструкції з переносних цистерн
4.2.5.2.1 Інструкції з переносних цистерн застосовуються до небезпечних вантажів класів 1−9. В інструкціях з переносних цистерн міститься конкретна інформація, що стосується положень по переносних цистернах, застосовних до конкретних речовин. Ці положення повинні дотримуватися на додаток до загальних положень, що містяться в цій главі, і загальних вимог, що містяться в главі 6.7 або главі 6.9.
4.2.5.2.2 Для речовин класу 1 і класів 3–9 в інструкціях з переносних цистерн вказуються мінімальний випробувальний тиск, мінімальна товщина корпусу, вимоги відносно донних отворів і вимоги відносно скидання тиску. В інструкції з переносних цистерн T23 самореактивні речовини класу 4.1 і органічні пероксиди класу 5.2, дозволені до перевезення в переносних цистернах, перелічуються разом з відповідними значеннями контрольної й аварійної температур.
4.2.5.2.3 Неохолодженим скрапленим газам призначена інструкція з переносних цистерн T50. У цій інструкції зазначені значення максимально припустимого робочого тиску, вимоги відносно отворів, розташованих нижче рівня рідини, вимоги відносно скидання тиску й вимоги відносно максимальної щільності наповнення для неохолоджених скраплених газів, дозволених до перевезення в переносних цистернах.
4.2.5.2.4 Охолодженим скрапленим газам призначена інструкція з переносних цистерн T75.
4.2.5.2.5 Визначення належних інструкцій з переносних цистерн
Якщо в стовпчику 10 таблиці A глави 3.2 для того або іншого небезпечного вантажу зазначена яка-небудь конкретна інструкція з переносних цистерн, то можуть використовуватися й інші переносні цистерни, яким вказані більш високий мінімальний випробувальний тиск і більша товщина корпусу, а також більш жорсткі вимоги у відношенні дoнних отворів і пристроїв для скидання тиску. Для визначення належних переносних цистерн, які можуть використовуватися для перевезення окремих речовин, необхідно керуватися наступними засадами:
Зазначена інструкція з переносних цистерн |
Інші інструкції з переносних цистерн, які дозволяється застосовувати |
|
T2, T3, T4, T5, T6, T7, T8, T9, T10, T11, T12, T13, T14, T15, T16, T17, T18, T19, T20, T21, T22 |
|
|
T4, T5, T7, T8, T9, T10, T11, T12, T13, T14, T15, T16, T17, T18, T19, T20, T21, T22 |
|
|
T4, T5, T6, T7, T8, T9, T10, T11, T12, T13, T14, T15, T16, T17, T18, T19, T20, T21, T22 |
|
|
T5, T7, T8, T9, T10, T11, T12, T13, T14, T15, T16, T17, T18, T19, T20, T21, T22 |
|
|
T7, T8, T9, T10, T11, T12, T13, T14, T15, T16, T17, T18, T19, T20, T21, T22 |
|
|
T8, T9, T10, T11, T12, T13, T14, T15, T16, T17, T18, T19, T20, T21, T22 |
|
|
Немає |
|
|
Немає |
4.2.5.2.6 Інструкції з переносних цистерн
В інструкціях з переносних цистерн зазначені вимоги, застосовні до переносних цистерн, використовуваних для перевезення конкретних речовин. В інструкціях з переносних цистерн Т1–Т22 зазначені застосовний мінімальний випробувальний тиск, мінімальна товщина корпусу у мм стандартної сталі для корпусів металевих матеріалів або мінімальна товщина стінки корпусу з АВП і вимоги відносно пристроїв для скидання тиску й донних отворів.
|
T1–T22 ІНСТРУКЦІЇ З ПЕРЕНОСНИХ ЦИСТЕРН T1–T22 |
||||
|
Ці інструкції з переносних цистерн застосовуються до рідких і твердих речовин класу 1 і класів 3–9. Повинні виконуватися загальні положення розділу 4.2.1 і вимоги розділу 6.7.2. Інструкції, що стосуються переносних цистерн з корпусом з АВП, застосовуються до речовин класів 1, 3, 5.1, 6.1, 6.2, 8 і 9. Крім того, застосовуються вимоги глави 6.9. |
||||
|
Інструкція з переносних цистерн |
Мінімальний випробувальний тиск (бар) |
Мінімальна товщина корпусу (у мм стандартної сталі для корпусів з металевих матеріалів) (див. 6.7.2.4) |
||
|
T1 |
1,5 |
Див. 6.7.2.4.2 |
Звичайні |
Див. 6.7.2.6.2 |
|
T2 |
1,5 |
Див. 6.7.2.4.2 |
Звичайні |
Див. 6.7.2.6.3 |
|
T3 |
2,65 |
Див. 6.7.2.4.2 |
Звичайні |
Див. 6.7.2.6.2 |
|
T4 |
2,65 |
Див. 6.7.2.4.2 |
Звичайні |
Див. 6.7.2.6.3 |
|
T5 |
2,65 |
Див. 6.7.2.4.2 |
Див. 6.7.2.8.3 |
Не дозволені |
|
T6 |
4 |
Див. 6.7.2.4.2 |
Звичайні |
Див. 6.7.2.6.2 |
|
T7 |
4 |
Див. 6.7.2.4.2 |
Звичайні |
Див. 6.7.2.6.3 |
|
T8 |
4 |
Див. 6.7.2.4.2 |
Звичайні |
Не дозволені |
|
T9 |
4 |
6 мм |
Звичайні |
Не дозволені |
|
T10 |
4 |
6 мм |
Див. 6.7.2.8.3 |
Не дозволені |
|
T11 |
6 |
Див. 6.7.2.4.2 |
Звичайні |
Див. 6.7.2.6.3 |
|
T12 |
6 |
Див. 6.7.2.4.2 |
Див. 6.7.2.8.3 |
Див. 6.7.2.6.3 |
|
T13 |
6 |
6 мм |
Звичайні |
Не дозволені |
|
T14 |
6 |
6 мм |
Див. 6.7.2.8.3 |
Не дозволені |
|
T15 |
10 |
Див. 6.7.2.4.2 |
Звичайні |
Див. 6.7.2.6.3 |
|
T16 |
10 |
Див. 6.7.2.4.2 |
Див. 6.7.2.8.3 |
Див. 6.7.2.6.3 |
|
T17 |
10 |
6 мм |
Звичайні |
Див. 6.7.2.6.3 |
|
T18 |
10 |
6 мм |
Див. 6.7.2.8.3 |
Див. 6.7.2.6.3 |
|
T19 |
10 |
6 мм |
Див. 6.7.2.8.3 |
Не дозволені |
|
T20 |
10 |
8 мм |
Див. 6.7.2.8.3 |
Не дозволені |
|
T21 |
10 |
10 мм |
Звичайні |
Не дозволені |
|
T22 |
10 |
10 мм |
Див. 6.7.2.8.3 |
Не дозволені |
|
Ця інструкція з переносних цистерн застосовується до самореактивних речовин класу 4.1 і органічних пероксидів класу 5.2. Повинні виконуватися загальні положення розділу 4.2.1 і вимоги розділу 6.7.2. Повинні також виконуватися додаткові положення підрозділу 4.2.1.13, що конкретно стосуються самореактивних речовин класу 4.1 і органічних пероксидів класу 5.2. Склади, що не перелічені в підрозділі 2.2.41.4 або 2.2.52.4, але перелічені нижче можуть також перевозитися впакованими відповідно до методу упакування OP8 інструкції з упакування P520, викладеної в підрозділі 4.1.4.1, при таких самих контрольній та аварійній температурах, якщо це застосовно. |
|||||||||||||||
|
№ ООН |
Речовина |
Мінімальний випробувальний тиск (бар) |
Мінімальна товщина корпусу (у мм стандартної сталі) |
Донні отвори |
Пристрої для скидання тиску |
Ступінь наповнення |
Контрольна температура |
Аварійна температура |
|||||||
|
ОРГАНІЧНИЙ ПЕРОКСИД ТИПУ F РІДКИЙ Трет-бутилу гідропероксида, не більше 72%, з водою |
4 |
Див. 6.7.2.4.2 |
Див. 6.7.2.6.3 |
Див. 4.2.1.13.13 |
|||||||||||
|
трет-Бутилу гідропероксид, не більше 56 %, в розріджувачі типу B b |
|||||||||||||||
|
Кумілу гідропероксид, не більше 90%, у розріджувачі типу A |
|||||||||||||||
|
Ди-трет-бутилу пероксид, не більше 32%, у розріджувачі типу A |
|||||||||||||||
|
Ізопропілкумілу гідропероксид, не більше 72%, у розріджувачі типу A |
|||||||||||||||
|
пара-Ментилу гідропероксид, не більше 72%, у розріджувачі типу A |
|||||||||||||||
|
Пінанілу гідропероксид, не більше 56%, у розріджувачі типу A |
|||||||||||||||
|
ОРГАНІЧНИЙ ПЕРОКСИД ТИПУ F ТВЕРДИЙ Дикумілу пероксид c |
4 |
Див. 6.7.2.4.2 |
Див. 6.7.2.6.3 |
Див. 4.2.1.13.13 |
|||||||||||
|
ОРГАНІЧНИЙ ПЕРОКСИД ТИПУ F РІДКИЙ, З РЕГУЛЬОВАНОЮ ТЕМПЕРАТУРОЮ |
4 |
Див. 6.7.2.4.2 |
Див. 6.7.2.6.3 |
Див. 4.2.1.13.13 |
d |
||||||||||
|
трет-Аміл-пероксинеодеканоат, не більше 47%, у розріджувачі типу А |
–10 °C |
–5 °C |
|||||||||||||
|
трет-Бутилпероксі- ацетат, не більше 32%, у розріджувачі типу B |
+30 °C |
+35 °C |
|||||||||||||
|
Ця інструкція з переносних цистерн застосовується до самореактивних речовин класу 4.1 і органічних пероксидів класу 5.2. Повинні виконуватися загальні положення розділу 4.2.1 і вимоги розділу 6.7.2. Повинні також виконуватися додаткові положення підрозділу 4.2.1.13, що конкретно стосуються самореактивних речовин класу 4.1 і органічних пероксидів класу 5.2. Перелічені нижче склади можуть також перевозитися впакованими відповідно до методу упакування OP8 інструкції з упакування P520, викладеної в підрозділі 4.1.4.1, при таких самих контрольній та аварійній температурах, якщо це застосовно. |
||||||||
№ ООН |
Речовина |
Мінімальний випробувальний тиск (бар) |
Мінімальна товщина корпусу (у мм стандартної сталі) |
Донні отвори |
Пристрої для скидання тиску |
Ступінь наповнення |
Контрольна температура |
Аварійна температура |
(продовж.) |
трет-Бутилперокси-2‑етилгексаноат, не більше 32%, у розріджувачі типу B |
+15 °C |
+20 °C |
|||||
трет-Бутилперокси-півалат, не більше 27%, у розріджувачі типу B |
+5 °C |
+10 °C |
||||||
|
трет-Бутилперокси-3,5,5-триметилгекса-ноат, не більше 32%, у розріджувачі типу B |
+35 °C |
+40 °C |
||||||
|
Ди-(3,5,5-триметил- гексаноїл) пероксид, не більше 38%, у розріджувачі типу A або типу B |
0 °C |
+5 °C |
||||||
|
Надоцтова кислота, дистильована, типу F, стабілізованаe |
+30 °C |
+35 °C |
||||||
|
ОРГАНІЧНИЙ ПЕРОКСИД ТИПУ F ТВЕРДИЙ, З РЕГУЛЬОВАНОЮ ТЕМПЕРАТУРОЮ |
4 |
Див. 6.7.2.4.2 |
Див. 6.7.2.6.3 |
Див. 4.2.1.13.13 |
d |
|||
|
САМОРЕАКТИВНА РІДИНА ТИПУ F |
4 |
Див. 6.7.2.4.2 |
Див. 6.7.2.6.3 |
Див. 4.2.1.13.13 |
||||
|
САМОРЕАКТИВНА ТВЕРДА РЕЧОВИНА ТИПУ F |
4 |
Див. 6.7.2.4.2 |
Див. 6.7.2.6.3 |
Див. 4.2.1.13.13 |
||||
|
САМОРЕАКТИВНА РІДИНА ТИПУ F, З РЕГУЛЬОВАНОЮ ТЕМПЕРАТУРОЮ |
4 |
Див. 6.7.2.4.2 |
Див. 6.7.2.6.3 |
Див. 4.2.1.13.13 |
d |
d |
||
|
САМОРЕАКТИВНА ТВЕРДА РЕЧОВИНА ТИПУ F, З РЕГУЛЬОВАНОЮ ТЕМПЕРАТУРОЮ |
4 |
Див. 6.7.2.4.2 |
Див. 6.7.2.6.3 |
Див. 4.2.1.13.13 |
d |
d |
||
|
Ця інструкція з переносних цистерн застосовується до неохолоджених скраплених газів і хімічних продуктів під тиском (№ ООН 3500, 3501, 3502, 3503, 3504 і 3505). Повинні виконуватися загальні положення розділу 4.2.2 і вимоги розділу 6.7.3. |
|||||
|
№ ООН |
Неохолоджені скраплені гази |
Максимально припустимий робочий тиск (бар): цистерна малого об’єму; цистерна без теплоізоляції; цистерна із сонцезахисним екраном; ізотермічна цистерна а |
Отвори, розташовані нижче рівня рідини |
Максимальний коефіцієнт наповнення |
|
|
Аміак безводний |
29,0 25,7 22,0 19,7 |
Дозволені |
Див. 6.7.3.7.3 |
0,53 |
|
|
Бромтрифторметан (газ рефрижераторний R 13B1) |
38,0 34,0 30,0 27,5 |
Дозволені |
Звичайні |
1,13 |
|
|
Бутадієни стабілізовані |
7,5 7,0 7,0 7,0 |
Дозволені |
Звичайні |
0,55 |
|
|
Бутадієнів і вуглеводню суміш стабілізована |
Див. визначення МПРТ у підрозділі 6.7.3.1 |
Дозволені |
Звичайні |
Див. підрозділ 4.2.2.7 |
|
|
Бутан |
7,0 7,0 7,0 7,0 |
Дозволені |
Звичайні |
0,51 |
|
|
Бутилен |
8,0 7,0 7,0 7,0 |
Дозволені |
Звичайні |
0,53 |
|
|
Хлор |
19,0 17,0 15,0 13,5 |
Не дозволені |
Див. 6.7.3.7.3 |
1,25 |
|
|
Хлордифторметан (газ рефрижераторний R 22) |
26,0 24,0 21,0 19,0 |
Дозволені |
Звичайні |
1,03 |
|
|
Хлорпентафторетан (газ рефрижераторний R 115) |
23,0 20,0 18,0 16,0 |
Дозволені |
Звичайні |
1,06 |
|
|
1-Хлор-1,2,2,2-тетрафторетан (газ рефрижераторний R 124) |
10,3 9,8 7,9 7,0 |
Дозволені |
Звичайні |
1,20 |
|
|
Циклопропан |
18,0 16,0 14,5 13,0 |
Дозволені |
Звичайні |
0,53 |
|
|
Ця інструкція з переносних цистерн застосовується до неохолоджених скраплених газів і хімічних продуктів під тиском (№ ООН 3500, 3501, 3502, 3503, 3504 і 3505). Повинні виконуватися загальні положення розділу 4.2.2 і вимоги розділу 6.7.3. |
||||||
|
№ ООН |
Неохолоджені скраплені гази |
Максимально припустимий робочий тиск (бар): цистерна малого об’єму; цистерна без теплоізоляції; цистерна із сонцезахисним екраном; ізотермічна цистерна a |
Отвори, розташовані нижче рівня рідини |
Максимальний коефіцієнт наповнення |
||
|
Дихлордифторметан (газ рефрижераторний R 12) |
16,0 15,0 13,0 11,5 |
Дозволені |
Звичайні |
1,15 |
||
|
Дихлорфторметан (газ рефрижераторний R 21) |
7,0 7,0 7,0 7,0 |
Дозволені |
Звичайні |
1,23 |
||
|
1,1-Дифторетан (газ рефрижераторний R 152a) |
16,0 14,0 12,4 11,0 |
Дозволені |
Звичайні |
0,79 |
||
|
Диметиламін безводний |
7,0 7,0 7,0 7,0 |
Дозволені |
Звичайні |
0,59 |
||
|
Ефір диметиловий |
15,5 13,8 12,0 10,6 |
Дозволені |
Звичайні |
0,58 |
||
|
Етиламін |
7,0 7,0 7,0 7,0 |
Дозволені |
Звичайні |
0,61 |
||
|
Етилхлорид |
7,0 7,0 7,0 7,0 |
Дозволені |
Звичайні |
0,80 |
||
|
Етилену оксид з азотом при загальному тиску до 1 МПа (10 бар) при 50 °C |
– – – 10,0 |
Не дозволені |
Див. 6.7.3.7.3 |
0,78 |
||
|
Етилену оксиду й вуглецю діоксиду суміш, що містить більше 9%, але не більше 87% етилену оксиду |
Див. визначення МПРТ в 6.7.3.1 |
Дозволені |
Звичайні |
Див. 4.2.2.7 |
||
|
Ізобутілен |
8,1 7,0 7,0 7,0 |
Дозволені |
Звичайні |
0,52 |
||
|
(продовж. на наст. стор.) |
||||||
|
Ця інструкція з переносних цистерн застосовується до неохолоджених скраплених газів і хімічних продуктів під тиском (№ ООН 3500, 3501, 3502, 3503, 3504 і 3505). Повинні виконуватися загальні положення розділу 4.2.2 і вимоги розділу 6.7.3. |
|||||
|
№ ООН |
Неохолоджені скраплені гази |
Максимально припустимий робочий тиск (бар): цистерна малого об’єму; цистерна без теплоізоляції; цистерна із сонцезахисним екраном; ізотермічна цистерна a |
Отвори, розташовані нижче рівня рідини |
Максимальний коефіцієнт наповнення |
|
|
Метилацетилену й пропадієну суміш стабілізована |
28,0 24,5 22,0 20,0 |
Дозволені |
Звичайні |
0,43 |
|
|
Метиламін безводний |
10,8 9,6 7,8 7,0 |
Дозволені |
Звичайні |
0,58 |
|
|
Метилбромід, що містить не більше 2% хлорпікрину |
7,0 7,0 7,0 7,0 |
Не дозволені |
Див. 6.7.3.7.3 |
1,51 |
|
|
Метилхлорид (газ рефрижераторний R 40) |
14,5 12,7 11,3 10,0 |
Дозволені |
Звичайні |
0,81 |
|
|
Метилмеркаптан |
7,0 7,0 7,0 7,0 |
Не дозволені |
Див. 6.7.3.7.3 |
0,78 |
|
|
Діазоту тетраоксид |
7,0 7,0 7,0 7,0 |
Не дозволені |
Див. 6.7.3.7.3 |
1,30 |
|
|
Гази нафтові скраплені |
Див. визначення МПРТ в 6.7.3.1 |
Дозволені |
Звичайні |
Див. 4.2.2.7 |
|
|
Пропілен |
28,0 24,5 22,0 20,0 |
Дозволені |
Звичайні |
0,43 |
|
|
Газ рефрижераторний, н.з.к. |
Див. визначення МПРТ в 6.7.3.1 |
Дозволені |
Звичайні |
Див. 4.2.2.7 |
|
|
Сірки діоксид |
11,6 10,3 8,5 7,6 |
Не дозволені |
Див. 6.7.3.7.3 |
1,23 |
|
|
Трифторхлоретилен cтабілізований (газ рефрижераторний R 1113) |
17,0 15,0 13,1 11,6 |
Не дозволені |
Див. 6.7.3.7.3 |
1,13 |
|
|
Ця інструкція з переносних цистерн застосовується до неохолоджених скраплених газів і хімічних продуктів під тиском (№ ООН 3500, 3501, 3502, 3503, 3504 і 3505). Повинні виконуватися загальні положення розділу 4.2.2 і вимоги розділу 6.7.3. |
|||||
|
№ ООН |
Неохолоджені скраплені гази |
Максимально припустимий робочий тиск (бар): цистерна малого об’єму; цистерна без теплоізоляції; цистерна із сонцезахисним екраном; ізотермічна цистерна a |
Отвори, розташовані нижче рівня рідини |
Максимальний коефіцієнт наповнення |
|
|
Триметиламін безводний |
7,0 7,0 7,0 7,0 |
Дозволені |
Звичайні |
0,56 |
|
|
Вінілбромід стабілізований |
7,0 7,0 7,0 7,0 |
Дозволені |
Звичайні |
1,37 |
|
|
Вінілхлорид стабілізований |
10,6 9,3 8,0 7,0 |
Дозволені |
Звичайні |
0,81 |
|
|
Ефір вінілметиловий стабілізований |
7,0 7,0 7,0 7,0 |
Дозволені |
Звичайні |
0,67 |
|
|
Хлорпікрину й метилброміду суміш, що містить більше 2% хлорпікрину |
7,0 7,0 7,0 7,0 |
Не дозволені |
Див. 6.7.3.7.3 |
1,51 |
|
|
Хлорпікрину й метилхлориду суміш |
19,2 16,9 15,1 13,1 |
Не дозволені |
Див. 6.7.3.7.3 |
0,81 |
|
|
Гексафторпропілен (газ рефрижераторний R 1216) |
19,2 16,9 15,1 13,1 |
Дозволені |
Звичайні |
1,11 |
|
|
Метилхлориду й метиленхлориду суміш |
15,2 13,0 11,6 10,1 |
Дозволені |
Звичайні |
0,81 |
|
|
1,2-Дихлор-1,1,2,2-тетра-фторетан (газ рефрижераторний R 114) |
7,0 7,0 7,0 7,0 |
Дозволені |
Звичайні |
1,30 |
|
|
Газів вуглеводневих суміш скраплена, н.з.к. |
Див. визначення МПРТ в 6.7.3.1 |
Дозволені |
Звичайні |
Див. 4.2.2.7 |
|
|
Ізобутан |
8,5 7,5 7,0 7,0 |
Дозволені |
Звичайні |
0,49 |
|
|
Ця інструкція з переносних цистерн застосовується до неохолоджених скраплених газів і хімічних продуктів під тиском (№ ООН 3500, 3501, 3502, 3503, 3504 і 3505). Повинні виконуватися загальні положення розділу 4.2.2 і вимоги розділу 6.7.3. |
|||||
|
№ ООН |
Неохолоджені скраплені гази |
Максимально припустимий робочий тиск (бар): цистерна малого об’єму; цистерна без теплоізоляції; цистерна із сонцезахисним екраном; ізотермічна цистерна a |
Отвори, розташовані нижче рівня рідини |
Максимальний коефіцієнт наповнення |
|
|
Хлордифторметану й хлорпентафторетану суміш із постійною температурою кипіння, що містить приблизно 49% хлордифторметану (газ рефрижераторний R 502) |
28,3 25,3 22,8 20,3 |
Дозволені |
Звичайні |
1,05 |
|
|
Хлордифторбромметан (газ рефрижераторний R 12B1) |
7,4 7,0 7,0 7,0 |
Дозволені |
Звичайні |
1,61 |
|
|
Октафторциклобутан (газ рефрижераторний RC 318) |
8,8 7,8 7,0 7,0 |
Дозволені |
Звичайні |
1,34 |
|
|
Пропан |
22,5 20,4 18,0 16,5 |
Дозволені |
Звичайні |
0,42 |
|
|
1-Хлор-2,2,2-трифторетан (газ рефрижераторний R 133a) |
7,0 7,0 7,0 7,0 |
Дозволені |
Звичайні |
1,18 |
|
|
1,1,1-Трифторетан (газ рефрижераторний R 143a) |
31,0 27,5 24,2 21,8 |
Дозволені |
Звичайні |
0,76 |
|
|
Октафторпропан (газ рефрижераторний R 218) |
23,1 20,8 18,6 16,6 |
Дозволені |
Звичайні |
1,07 |
|
|
1-Хлор-1,1-дифторетан (газ рефрижераторний R 142b) |
8,9 7,8 7,0 7,0 |
Дозволені |
Звичайні |
0,99 |
|
|
Дихлордифторметану й дифторетану азеотропна суміш, що містить приблизно 74% дихлордифторметану (газ рефрижераторний R 500) |
20,0 18,0 16,0 14,5 |
Дозволені |
Звичайні |
1,01 |
|
|
Ця інструкція з переносних цистерн застосовується до неохолоджених скраплених газів і хімічних продуктів під тиском (№ ООН 3500, 3501, 3502, 3503, 3504 і 3505). Повинні виконуватися загальні положення розділу 4.2.2 і вимоги розділу 6.7.3. |
|||||
|
№ ООН |
Неохолоджені скраплені гази |
Максимально припустимий робочий тиск (бар): цистерна малого об’єму; цистерна без теплоізоляції; цистерна із сонцезахисним екраном; ізотермічна цистерна a |
Отвори, розташовані нижче рівня рідини |
Максимальний коефіцієнт наповнення |
|
|
Хлорангідрид трифтороцтової кислоти |
14,6 12,9 11,3 9,9 |
Не дозволені |
Див. 6.7.3.7.3 |
1,17 |
|
|
Етилену оксиду й дихлордифторметану суміш, що містить не більше 12,5% етилену оксиду |
14,0 12,0 11,0 9,0 |
Дозволені |
Див. 6.7.3.7.3 |
1,09 |
|
|
Ефір перфтор(вінілметиловий) |
14,3 13,4 11,2 10,2 |
Дозволені |
Звичайні |
1,14 |
|
|
1,1,1,2-Тетрафторетан (газ рефрижераторний R 134a) |
17,7 15,7 13,8 12,1 |
Дозволені |
Звичайні |
1,04 |
|
|
Газ скраплений займистий, н.з.к. |
Див. визначення МПРТ в 6.7.3.1 |
Дозволені |
Звичайні |
Див. 4.2.2.7 |
|
|
Газ скраплений, н.з.к. |
Див. визначення МПРТ в 6.7.3.1 |
Дозволені |
Звичайні |
Див. 4.2.2.7 |
|
|
Пентафторетан (газ рефрижераторний R 125) |
34,4 30,8 27,5 24,5 |
Дозволені |
Звичайні |
0,87 |
|
|
Дифторметан (газ рефрижераторний R 32) |
43,0 39,0 34,4 30,5 |
Дозволені |
Звичайні |
0,78 |
|
|
Гептафторпропан (газ рефрижераторний R 227) |
16,0 14,0 12,5 11,0 |
Дозволені |
Звичайні |
1,20 |
|
|
Етилену оксиду й хлортетрафторетану суміш, що містить не більше 8,8% етилену оксиду |
8,1 7,0 7,0 7,0 |
Дозволені |
Звичайні |
1,16 |
|
|
Ця інструкція з переносних цистерн застосовується до неохолоджених скраплених газів і хімічних продуктів під тиском (№ ООН 3500, 3501, 3502, 3503, 3504 і 3505). Повинні виконуватися загальні положення розділу 4.2.2 і вимоги розділу 6.7.3. |
|||||
|
№ ООН |
Неохолоджені скраплені гази |
Максимально припустимий робочий тиск (бар): цистерна малого об’єму; цистерна без теплоізоляції; цистерна із сонцезахисним екраном; ізотермічна цистерна a |
Отвори, розташовані нижче рівня рідини |
Максимальний коефіцієнт наповнення |
|
|
Етилену оксиду й пентафторетану суміш, що містить не більше 7,9% етилену оксиду |
25,9 23,4 20,9 18,6 |
Дозволені |
Звичайні |
1,02 |
|
|
Етилену оксиду й тетрафтор-етану суміш, що містить не більше 5,6% етилену оксиду |
16,7 14,7 12,9 11,2 |
Дозволені |
Звичайні |
1,03 |
|
|
Аміаку розчин у воді з відносною щільністю менше 0,880 при 15 °C, що містить більше 50% аміаку |
Див. визначення МПРТ в 6.7.3.1 |
Дозволені |
Див. 6.7.3.7.3 |
Див. 4.2.2.7 |
|
|
Газ рефрижераторний R 404A |
31,6 28,3 25,3 22,5 |
Дозволені |
Звичайні |
0,84 |
|
|
Газ рефрижераторний R 407A |
31,3 28,1 25,1 22,4 |
Дозволені |
Звичайні |
0,95 |
|
|
Газ рефрижераторний R 407B |
33,0 29,6 26,5 23,6 |
Дозволені |
Звичайні |
0,95 |
|
|
Газ рефрижераторний R 407C |
29,9 26,8 23,9 21,3 |
Дозволені |
Звичайні |
0,95 |
|
|
Хімічний продукт під тиском, н.з.к. |
Див. визначення МПРТ в 6.7.3.1 |
Дозволені |
Див. 6.7.3.7.3 |
TP4 c |
|
|
Хімічний продукт під тиском, легкозаймистий, н.з.к. |
Див. визначення МПРТ в 6.7.3.1 |
Дозволені |
Див. 6.7.3.7.3 |
TP4 c |
|
|
Хімічний продукт під тиском, токсичний, н.з.к. |
Див. визначення МПРТ в 6.7.3.1 |
Дозволені |
Див. 6.7.3.7.3 |
TP4 c |
|
|
Хімічний продукт під тиском, корозійний, н.з.к. |
Див. визначення МПРТ в 6.7.3.1 |
Дозволені |
Див. 6.7.3.7.3 |
TP4 c |
|
|
Хімічний продукт під тиском, легкозаймистий, токсичний, н.з.к. |
Див. визначення МПРТ в 6.7.3.1 |
Дозволені |
Див. 6.7.3.7.3 |
TP4 c |
|
|
Хімічний продукт під тиском, легкозаймистий, корозійний, н.з.к. |
Див. визначення МПРТ в 6.7.3.1 |
Дозволені |
Див. 6.7.3.7.3 |
TP4 c |
|
|
ІНСТРУКЦІЯ З ПЕРЕНОСНИХ ЦИСТЕРН |
||
|
Ця інструкція з переносних цистерн застосовується до охолоджених скраплених газів. Повинні виконуватися загальні положення розділу 4.2.3 і вимоги розділу 6.7.4. |
||
4.2.5.3 Спеціальні положення по переносних цистернах
Спеціальні положення по переносних цистернах призначаються деяким речовинам з метою зазначення положень, що доповнюють або заміняють вимоги, що містяться в інструкціях з переносних цистерн, або вимоги глави 6.7. Спеціальні положення по переносних цистернах позначаються за допомогою буквено-цифрового коду, що починається з літер «ТР» (від англійського «tank provision»), і вказуються для окремих речовин у стовпчику 11 таблиці A глави 3.2. Нижче наведено перелік спеціальних положень по переносним цистернам:
TP1 Не повинен перевищуватися ступінь наповнення, вказаний в пункті 4.2.1.9.2.
(Ступінь наповнення =
)
TP2 Не повинен перевищуватися ступінь наповнення, вказаний в пункті 4.2.1.9.3.
(Ступінь наповнення =
)
TP3 Максимальний ступінь наповнення (в %) для твердих речовин, що перевозяться при температурах, що перевищують їх температуру плавлення, і для рідин, що перевозяться при високій температурі, повинен визначатися відповідно до пункту 4.2.1.9.5.
(Ступінь наповнення =
)
TP4 Ступінь наповнення не повинен перевищувати 90% або, альтернативно, будь-якого іншого значення, затвердженого компетентним органом (див. пункт 4.2.1.16.2).
TP5 Повинен дотримуватися ступінь наповнення, вказаний в підрозділі 4.2.3.6.
TP6 Для запобігання розриву цистерни за будь-яких умов, включаючи охоплення цистерни вогнем, цистерна повинна бути обладнана пристроями для скидання тиску, що відповідають місткості цистерни й властивостям речовини, що перевозиться. Ці пристрої повинні бути сумісні з речовиною, що перевозиться.
TP7 З парового простору за допомогою азоту або іншим способом має бути витиснуте повітря.
TP8 Випробувальний тиск може бути зменшений до 1,5 бар, якщо температура спалаху речовин, що перевозяться, перевищує 0 °C.
TP9 Речовина, що відповідає цьому опису, повинна перевозитися в переносній цистерні лише з дозволу компетентного органу.
TP10 Потрібно свинцеве облицювання товщиною не менше 5 мм, яке щорічно проходить випробування, або облицювання з якого-небудь іншого придатного матеріалу, затверджене компетентним органом. Переносна цистерна може пред’являтися до перевезення після дати витікання терміну дії останньої перевірки облицювання протягом періоду, що не перевищує трьох місяців, починаючи із вказаної дати, після спорожнювання до очищення – для цілей проведення чергового необхідного випробування або перевірки перед черговим наповненням.
TP12 (Виключено)
TP13 (Зарезервовано)
TP16 Цистерна повинна бути обладнана спеціальним пристроєм для запобігання виникненню зниженого або надлишкового тиску у нормальних умовах перевезення. Це обладнання повинно бути затверджене компетентним органом.
У пункті 6.7.2.8.3 викладені вимоги відносно скидання тиску, які повинні дотримуватися з метою запобігання кристалізації речовини в запобіжному клапані.
TP17 Для теплоізоляції цистерни повинні використовуватися лише неорганічні негорючі матеріали.
TP18 Температура повинна підтримуватися в діапазоні 18–40 °C. Переносні цистерни, що містять отверділу метакрилову кислоту, не повинні повторно підігріватися в ході перевезення.
TP19 При виготовленні мінімальна товщина стінки корпусу, визначена відповідно до підрозділу 6.7.3.4, повинна бути збільшена на 3 мм у якості допуску на корозію. Товщина стінки корпусу повинна регулярно перевірятися за допомогою ультразвуку в середині періоду між строками проведення періодичних гідравлічних випробувань і ніколи не повинна бути менше мінімальної товщини стінки корпусу, визначеної відповідно до підрозділу 6.7.3.4.
TP20 Ця речовина повинна перевозитися тільки в ізотермічних цистернах під азотною подушкою.
TP21 Товщина корпусу повинна бути не менше 8 мм. Не рідше одного разу в 2,5 роки цистерни повинні проходити випробування на гідравлічний тиск і внутрішній огляд.
TP22 Мастильний матеріал для сполук або інших пристроїв повинен бути сумісним з киснем.
TP23 (Виключено)
TP24 Переносна цистерна може бути оснащена пристроєм, розташованим в умовах максимального наповнення в паровому просторі корпусу й призначеним для запобігання утворенню надлишкового тиску в результаті повільного розкладання речовини, що перевозиться. Цей пристрій повинен також запобігати неприпустимому об’єму витоку рідини у випадку перекидання цистерни або потрапляння в неї чужорідної речовини. Цей пристрій повинен бути затверджений компетентним органом або вповноваженою ним організацією.
TP25 Триоксид сірки чистотою 99,95% або більше може перевозитися в цистернах без використання інгібітору, якщо при цьому його температура підтримується на рівні 32,5 °C або вище.
TP26 У випадку перевезення в умовах підігріву нагрівальний пристрій повинен бути встановлений зовні корпусу. У відношенні № ООН 3176 ця вимога застосовується тільки в тому випадку, якщо речовина небезпечно реагує з водою.
TP27 Може використовуватися переносна цистерна, розрахована на мінімальний випробувальний тиск в 4 бар, якщо доведено, що випробувальний тиск в 4 бар або менше припустимий відповідно до визначення випробувального тиску, наведеного у підрозділі 6.7.2.1.
TP28 Може використовуватися переносна цистерна, розрахована на мінімальний випробувальний тиск в 2,65 бар, якщо доведено, що випробувальний тиск в 2,65 бар або менше припустимий відповідно до визначення випробувального тиску, наведеного у підрозділі 6.7.2.1.
TP29 Може використовуватися переносна цистерна, розрахована на мінімальний випробувальний тиск в 1,5 бар, якщо доведено, що випробувальний тиск в 1,5 бар або менше припустимий відповідно до визначення випробувального тиску, наведеного у підрозділі 6.7.2.1.
ТР30 Ця речовина повинна перевозитися в ізотермічних цистернах.
TP31 Ця речовина може перевозитися в цистернах тільки у твердому стані.
TP32 Для № ООН 0331, 0332 і 3375: переносні цистерни можуть використовуватися за умови дотримання наступних вимог:
a) для уникнення зайвої герметизації кожна металева переносна цистерна, виготовлена з металу або армованих волокном пластмас, повинна бути обладнана пристроєм для скидання тиску, який може бути пружинного типу, розривною мембраною або плавким елементом. Тиск скидання або тиск розриву мембрани, залежно від конкретного випадку, не повинен перевищувати 2,65 бар для переносних цистерн із мінімальним випробувальним тиском більше 4 бар;
b) тільки для № ООН 3375 − придатність для перевезення в цистернах повинна бути підтверджена. Одним з методів оцінки такої придатності є випробування 8 d) серії випробувань 8 (див. Керівництво з випробувань і критеріїв, частина 1, підрозділ 18.7);
c) речовини не повинні залишатися в переносній цистерні протягом часу, після якого може початися процес спікання. Необхідно вживати відповідних заходів (наприклад, очищення і т.д.) для запобігання відкладанню й злежуванню речовин у цистерні.
TP33 Інструкція з переносних цистерн, призначена цій речовині, застосовується до гранульованих і порошкоподібних твердих речовин, а також до твердих речовин, які завантажуються й вивантажуються при температурах, що перевищують їх температуру плавлення, а потім охолоджуються й перевозяться як тверда маса. Відносно твердих речовин, що перевозяться при температурах, що перевищують їх температуру плавлення, див. підрозділ 4.2.1.19.
TP34 Переносні цистерни не повинні піддаватися випробуванню на удар, передбаченому в пункті 6.7.4.14.1, якщо на табличці, згаданій в пункті 6.7.4.15.1, а також літерами висотою не менше 10 см на обох бічних сторонах зовнішнього кожуха зроблений запис «НЕ ДЛЯ ЗАЛІЗНИЧНОГО ПЕРЕВЕЗЕННЯ».
TP35 (Виключено)
TP36 В переносних цистернах можуть використовуватися плавкі елементи, розташовані в паровому просторі.
TP37 (Виключено)
TP38 (Виключено)
TP39 (Виключено)
TP40 Переносні цистерни не повинні перевозитися, якщо вони з’єднані з обладнанням для застосування розпилення.
TP41 За згодою компетентного органу проведений кожні два з половиною роки внутрішній огляд може бути відмінений або замінений іншими методами випробування або процедурами перевірки за умови, що переносна цистерна призначена для перевезення металоорганічних речовин, яким призначено дане спеціальне положення по переносних цистернах. Однак цей огляд потрібний, коли виконуються умови, передбачені в пункті 6.7.2.19.7.
ПРИМІТКА: Відносно переносних цистерн і багатоелементних газових контейнерів (БЕГК) «UN» див. главу 4.2; відносно цистерн із армованих волокном пластмас див. главу 4.4; відносно вакуумних цистерн для відходів див. главу 4.5.
4.3.1 Сфера застосування
4.3.1.1 Положення, надруковані по всій ширині сторінки, застосовуються як до вбудованих цистерн (автоцистерн), знімних цистерн і транспортних засобів-батарей, так і до контейнерів-цистерн, знімних кузовів-цистерн і БЕГК. Положення, викладені тільки в одному стовпчику, застосовуються винятково до:
– вбудованих цистерн (автоцистерн), знімних цистерн і транспортних засобів-батарей (лівий стовпчик);
– контейнерів-цистерн, знімних кузовів-цистерн і БЕГК (правий стовпчик).
4.3.1.2 Ці положення застосовуються до:
|
вбудованих цистерн (автоцистерн), знімних цистерн і транспортних засобів-батарей, |
контейнерів-цистерн, знімних кузовів- цистерн і БЕГК, |
які використовуються для перевезення газоподібних, рідких, порошкоподібних або гранульованих речовин.
4.3.1.3 У розділі 4.3.2 викладені положення, застосовувані до вбудованих цистерн (автоцистерн), знімних цистерн, контейнерів-цистерн і знімних кузовів-цистерн, призначених для перевезення речовин усіх класів, а також до транспортних засобів-батарей і БЕГК, призначених для перевезення газів класу 2. У розділах 4.3.3 і 4.3.4 містяться спеціальні положення, що доповнюють або змінюють положення розділу 4.3.2.
4.3.1.4 Відносно вимог, що стосуються виготовлення, обладнання, офіційного затвердження типу, перевірок і випробувань і маркування, див. главу 6.8.
4.3.1.5 Відносно перехідних заходів, що стосуються застосування цієї глави, див. розділи
1.6.3. |
4.3.2 Положення, застосовувані до всіх класів
4.3.2.1 Використання
4.3.2.1.1 Речовина, що підпадає під дію ДОПНВ, може перевозитися у вбудованих цистернах (автоцистернах), знімних цистернах, транспортних засобах-батареях, контейнерах-цистернах, знімних кузовах-цистернах і БЕГК тільки в тому випадку, якщо в стовпчику 12 таблиці A глави 3.2 зазначений код цистерни відповідно до пунктів 4.3.3.1.1 і 4.3.4.1.1.
4.3.2.1.2 Необхідний тип цистерни, транспортного засобу-батареї й БЕГК наведено у закодованому вигляді в стовпчику 12 таблиці А глави 3.2. Зазначені в ній ідентифікаційні коди складаються з літер і цифр, розташованих у певному порядку. Пояснення, що допомагають розшифрувати чотири частини коду, викладено в пункті 4.3.3.1.1 (коли речовина, що перевозиться, відноситься до класу 2) і в пункті 4.3.4.1.1 (коли речовина, що перевозиться, відноситься до класів 1 і 3–9)[3] .
4.3.2.1.3 Необхідний тип цистерни, згаданий у пункті 4.3.2.1.2, відповідає найменш строгим вимогам відносно конструкції, які прийнятні для розглядуваної небезпечної речовини, якщо в цій главі або в главі 6.8 не передбачено інше. Можна використовувати цистерни, що відповідають кодам, які встановлюють більш високий мінімальний розрахунковий тиск або більш строгі вимоги відносно отворів для наповнення або спорожнювання або запобіжних клапанів/пристроїв (див. пункт 4.3.3.1.1 для класу 2 і пункт 4.3.4.1.1 для класів 3–9).
4.3.2.1.4 У випадку деяких речовин до цистерн, транспортних засобів-батареям або БЕГК пред’являються додаткові вимоги, які зазначені як спеціальні положення в стовпчику 13 таблиці А глави 3.2.
4.3.2.1.5 Цистерни, транспортні засоби-батареї й БЕГК повинні завантажуватися тільки тими небезпечними речовинами, до перевезення яких вони допущені відповідно до пункту 6.8.2.3.2 і які при контакті з матеріалами, з яких виготовлені корпус, прокладки, обладнання й захисне облицювання, не можуть вступати з ними в небезпечну реакцію (див. термін «небезпечна реакція» у розділі 1.2.1), утворювати небезпечні продукти або значно знижувати міцність цих матеріалів[4] .
4.3.2.1.6 Харчові продукти можуть перевозитися в цистернах, що використовувалися для перевезення небезпечних речовин, лише в тому випадку, якщо вжиті необхідні заходи для запобігання нанесенню будь-якої шкоди здоров’ю людей.
4.3.2.1.7 Комплект технічної документації на цистерну повинен знаходитися у власника або оператора, який повинен бути здатний надати цю документацію на вимогу компетентного органу. Комплект технічної документації на цистерну повинен вестися протягом усього терміну служби цистерни й зберігатися протягом 15 місяців після виведення цистерни з експлуатації.
У випадку зміни власника або оператора протягом терміну служби цистерни комплект технічної документації на цистерну повинен невідкладно передаватися новому власнику або оператору.
Копії комплекту технічної документації на цистерну або всіх необхідних документів повинні передаватися в розпорядження перевіряючого органу з випробувань і перевірок цистерн, згаданого в пункті 6.8.2.4.5 або 6.8.3.4.18, під час періодичних або позапланових перевірок.
4.3.2.2 Ступінь наповнення
4.3.2.2.1 Зазначені нижче значення ступеня наповнення не повинні перевищуватися у випадку цистерн, призначених для перевезення рідин при температурі довкілля:
a) для легкозаймистих речовин, речовин, небезпечних для довкілля, і легкозаймистих речовин, небезпечних для довкілля, без додаткових видів небезпеки (як, наприклад, токсичність або корозійна активність), що перевозяться у цистернах з дихальним пристроєм або запобіжними клапанами (навіть у тому випадку, якщо перед ними встановлена розривна мембрана):
ступінь наповнення
місткості
b) для токсичних або корозійних речовин (легкозаймистих або небезпечних для довкілля або, що не є такими), що перевозяться у цистернах з дихальним пристроєм або запобіжними клапанами (навіть у тому випадку, якщо перед ними встановлена розривна мембрана):
ступінь наповнення
місткості
c) для легкозаймистих речовин, речовин, небезпечних для довкілля, і слаботоксичних або слабокорозійних речовин (легкозаймистих або небезпечних для довкілля або, що не є такими), що перевозяться у герметично закритих цистернах без запобіжного пристрою:
ступінь наповнення
місткості
d) для сильнотоксичних або токсичних, сильнокорозійних або корозійних речовин (легкозаймистих або небезпечних для довкілля або, що не є такими), що перевозяться у герметично закритих цистернах без запобіжного пристрою:
ступінь наповнення
місткості
4.3.2.2.2 В цих формулах a означає середню величину коефіцієнта об’ємного термічного розширення рідини в межах між 15 °C і 50 °C, тобто при максимальній зміні температури на 35 °C.
a обчислюється за формулою:
де d15 і d50 – відносна щільність рідини при температурах відповідно 15 °C і 50 °C; tf – середня температура рідини під час наповнення.
4.3.2.2.3 Положення пунктів 4.3.2.2.1 а)–d) вище не застосовуються до цистерн, температура вмісту яких під час перевезення підтримується за допомогою нагрівального пристрою на рівні вище 50 °C. У подібних випадках ступінь наповнення при завантаженні повинен бути такий, щоб у будь-який момент під час перевезення цистерна не була наповнена більше ніж на 95% її місткості, а температура повинна бути відрегульована так, щоб у будь-який момент під час перевезення вона не перевищувала температуру наповнення.
4.3.2.2.4 Якщо корпусу цистерн, призначених для перевезення речовин у рідкому стані або скраплених газів або охолоджених скраплених газів, не розділені за допомогою перегородок або хвилегасильних перегородок на відсіки місткістю не більше 7 500 л, вони повинні наповнюватися не менше ніж на 80% або не більше ніж на 20% їх місткості.
Ця вимога не застосовується до:
– рідин, кінематична в’язкість яких при 20 °С становить щонайменше 2 680 мм2/с;
– розплавлених речовин, кінематична в’язкість яких при температурі наповнення становить щонайменше 2 680 мм2/с;
– № ООН 1963 ГЕЛІЮ ОХОЛОДЖЕНОГО РІДКОГО й № ООН 1966 ВОДНЮ ОХОЛОДЖЕНОГО РІДКОГО.
4.3.2.3 Експлуатація
4.3.2.3.1 Товщина стінок корпусу протягом усього періоду його експлуатації повинна бути не менше мінімальної величини, вказаної в пунктах
4.3.2.3.2 |
Під час перевезення контейнери-цистерни/БЕГК повинні бути завантажені на транспортний засіб, що їх перевозить, таким чином, щоб вони були в достатньому ступені захищені обладнанням транспортного засобу або самого контейнера-цистерни/БЕГК від бічних і поздовжніх ударів і від перекидання[5]. Якщо конструкція контейнерів-цистерн/БЕГК, включаючи експлуатаційне обладнання, така, що вони можуть витримувати удари й є стійкими до перекидання, то в такому захисті немає необхідності. |
4.3.2.3.3 Під час наповнення й спорожнювання цистерн, транспортних засобів-батарей і БЕГК повинні вживатися належні заходи для запобігання випуску небезпечних кількостей газів і пар. Цистерни, транспортні засоби-батареї й БЕГК повинні закриватися таким чином, щоб уміст не міг безконтрольно проливатися або просипатися назовні. Отвори корпусів, що спорожнюються знизу, повинні закриватися гвинтовими пробками, глухими фланцями або іншими настільки ж ефективними пристроями. Після наповнення відповідальний за наповнення повинен упевнитися в закритті всіх затворів цистерн, транспортних засобів-батарей і БЕГК і у відсутності витоку. Це також стосується верхньої частини заглибної труби.
4.3.2.3.4 Якщо є кілька запірних систем, розміщених послідовно одна за другою, то система, що знаходиться ближче за інші до речовин, що перевозяться, повинна закриватися в першу чергу.
4.3.2.3.5 Під час перевезення не допускається наявності залишків завантаженої речовини на зовнішній поверхні цистерни.
4.3.2.3.6 Речовини, здатні вступати в небезпечну реакцію одна з одною, не повинні перевозитися в суміжних секціях цистерн.
Речовини, здатні вступати в небезпечну реакцію одна з одною, можуть перевозитися в суміжних секціях цистерн за умови, що між цими секціями є перегородка, товщина якої дорівнює товщині стінок самої цистерни або перевищує її. Вони можуть також перевозитися в суміжних секціях, якщо між завантаженими секціями є незаповнений простір або порожня секція.
4.3.2.3.7 Вбудовані цистерни (автоцистерни), знімні цистерни, транспортні засоби-батареї, контейнери-цистерни, знімні кузови-цистерни й БЕГК не можуть наповнюватися або пред’являтися до перевезення після дати, зазначеної для перевірки, призначеної у пунктах 6.8.2.4.2, 6.8.2.4.3, 6.8.3.4.6 і 6.8.3.4.12.
Однак вбудовані цистерни (автоцистерни), знімні цистерни, транспортні засоби-батареї, контейнери-цистерни, знімні кузови-цистерни й БЕГК, наповнені до дати, зазначеної для наступної перевірки, можуть перевозитися:
a) протягом періоду, що не перевищує одного місяця, після зазначеної дати, якщо необхідна перевірка є періодичною перевіркою згідно з пунктами 6.8.2.4.2, 6.8.3.4.6 а) і 6.8.3.4.12;
b) якщо компетентним органом не встановлено інше, протягом періоду, що не перевищує трьох місяців, після зазначеної дати, якщо необхідна перевірка є періодичною перевіркою згідно з пунктами 6.8.2.4.2, 6.8.3.4.6 а) і 6.8.3.4.12 з метою повернення небезпечних вантажів для їх належного видалення або утилізації. Інформація про звільнення від дії відповідної вимоги заноситься в транспортний документ;
с) протягом періоду, що не перевищує трьох місяців, після зазначеної дати, якщо необхідна перевірка є проміжною перевіркою згідно з пунктами 6.8.2.4.3, 6.8.3.4.6 b) і 6.8.3.4.12.
4.3.2.4 Порожні неочищені цистерни, транспортні засоби-батареї й БЕГК
ПРИМІТКА: До порожніх неочищених цистерн, транспортних засобів-батарей і БЕГК можуть застосовуватися спеціальні положення TU1, TU2, TU4, TU16 і TU35, викладені в розділі 4.3.5.
4.3.2.4.1 Під час перевезення не допускається наявності залишків завантаженої речовини на зовнішній поверхні цистерни.
4.3.2.4.2 Порожні неочищені цистерни, транспортні засоби-батареї й БЕГК допускаються до перевезення за умови, що вони закриті в такий же самий спосіб і забезпечують таку ж саму герметичність, як і в наповненому стані.
4.3.2.4.3 Якщо порожні неочищені цистерни, транспортні засоби-батареї й БЕГК не закриті в такий же самий спосіб і не забезпечують таку ж саму герметичність, як і в наповненому стані, і якщо положення ДОПНВ не можуть бути виконані, вони повинні бути перевезені – з дотриманням вимог відносно достатньої безпеки – у найближче підходяще місце, де можна зробити їх очищення або ремонт. Перевезення є досить безпечним, якщо вжиті відповідні заходи для забезпечення еквівалентного рівня безпеки, сумірного з вимогами ДОПНВ, і для запобігання безконтрольному вивільненню небезпечних вантажів.
4.3.2.4.4 Порожні неочищені вбудовані цистерни (автоцистерни), знімні цистерни, транспортні засоби-батареї, контейнери-цистерни, знімні кузови-цистерни й БЕГК можуть також перевозитися після закінчення строків, установлених у пунктах 6.8.2.4.2 і 6.8.2.4.3 для проходження перевірок.
4.3.3 Спеціальні положення, застосовувані до класу 2
4.3.3.1 Кодування й ієрархія цистерн
4.3.3.1.1 Кодування цистерн, транспортних засобів-батарей і БЕГК
Чотири частини кодів (кодів цистерн), зазначених у стовпчику 12 таблиці А глави 3.2, мають наступні значення:
Частина |
Опис |
Код цистерни |
1 |
Типи цистерн, транспортних засобів-батарей і БЕГК |
C = цистерна, транспортний засіб-батарея або БЕГК для стиснених газів; P = цистерна, транспортний засіб-батарея або БЕГК для скраплених газів або розчинених газів; R = цистерна для охолоджених скраплених газів. |
2 |
Розрахунковий тиск |
Х = величина відповідного мінімального випробувального тиску згідно з таблицею в пункті 4.3.3.2.5; або 22 = мінімальний розрахунковий тиск у барах. |
3 |
B = цистерна з отворами для наповнення або спорожнювання знизу, із трьома затворами; або транспортний засіб-батарея або БЕГК із отворами, розташованими нижче рівня рідини, або для стиснених газів; C = цистерна з отворами для наповнення або спорожнювання зверху, із трьома затворами, що має нижче рівня рідини тільки отвори для очищення; D = цистерна з отворами для наповнення або спорожнювання зверху, із трьома затворами; або транспортний засіб-батарея або БЕГК, що не мають отворів, розташованих нижче рівня рідини. |
|
4 |
Запобіжні клапани/пристрої |
N = цистерна, транспортний засіб-батарея або БЕГК із запобіжним клапаном відповідно до пунктів 6.8.3.2.9 або 6.8.3.2.10, які не закриваються герметично; H = герметично закрита цистерна, транспортний засіб-батарея або БЕГК (див. розділ 1.2.1). |
ПРИМІТКА 1: Спеціальне положення TU17, зазначене для деяких газів у стовпчику 13 таблиці А глави 3.2, означає, що газ може перевозитися тільки в транспортному засобі-батареї або БЕГК, елементами яких є посудини.
ПРИМІТКА 2: Спеціальне положення TU40, зазначене для деяких газів у стовпчику 13 таблиці А глави 3.2, означає, що газ може перевозитися тільки в транспортному засобі-батареї або БЕГК, елементами яких є безшовні посудини.
ПРИМІТКА 3: Тиск, зазначений на самій цистерні або на табличці, повинен бути не менше величини «Х» або мінімального розрахункового тиску.
4.3.3.1.2 Ієрархія цистерн
Код цистерни |
Інші коди цистерн, які дозволяється використовувати для речовин під даним кодом |
|
C*BN C*BH C*CN C*CH C*DN C*DH P*BN P*BH P*CN P*CH P*DN P*DH R*BN R*CN R*DN |
C#BN, C#CN, C#DN, C#BH, C#CH, C#DH C#BH, C#CH, C#DH C#CN, C#DN, C#CH, C#DH C#CH, C#DH C#DN, C#DH C#DH P#BN, P#CN, P#DN, P#BH, P#CH, P#DH P#BH, P#CH, P#DH P#CN, P#DN, P#CH, P#DH P#CH, P#DH P#DN, P#DH P#DH R#BN, R#CN, R#DN R#CN, R#DN R#DN |
Цифра, позначена як «#», повинна дорівнювати цифрі, що представлена значком «*», або перевищувати її.
ПРИМІТКА: У цій ієрархії не враховані будь-які спеціальні положення (див. розділи 4.3.5 і 6.8.4) для кожної позиції.
4.3.3.2 Умови наповнення й значення випробувального тиску
4.3.3.2.1 Випробувальний тиск для цистерн, призначених для перевезення стиснених газів, повинен принаймні в 1,5 рази перевищувати робочий тиск, як воно визначено в розділі 1.2.1 для посудин під тиском.
4.3.3.2.2 Випробувальний тиск для цистерн, призначених для перевезення:
– скраплених газів високого тиску; і
– розчинених газів,
повинен бути таким, щоб при максимальному коефіцієнті наповнення корпусу тиск речовини усередині корпусу при 55 °С для цистерн із теплоізоляцією або при 65 °C для цистерн без теплоізоляції не перевищував випробувального тиску.
4.3.3.2.3 Випробувальний тиск для цистерн, призначених для перевезення скраплених газів низького тиску, повинен:
а) якщо цистерна обладнана теплоізоляцією – щонайменше дорівнювати тиску пар рідини при температурі 60 °C, зменшеному на 0,1 МПа (1 бар), але становити не менше 1 МПа (10 бар);
b) якщо цистерна не обладнана теплоізоляцією – щонайменше дорівнювати тиску пар рідини при температурі 65 °C, зменшеному на 0,1 МПа (1 бар), але становити не менше 1 МПа (10 бар).
Значення максимально припустимої маси вмісту на літр місткості розраховується в такий спосіб:
максимально припустима маса вмісту на літр місткості = 0,95 × щільність рідкої фази при 50 °C (у кг/л).
Крім того, газова фаза не повинна зникати при температурі нижче 60 °C.
Якщо діаметр корпусів не перевищує 1,5 м, застосовуються значення випробувального тиску й максимального коефіцієнта наповнення, зазначені в інструкції з упакування Р200, наведеній в підрозділі 4.1.4.1.
4.3.3.2.4 Випробувальний тиск для цистерн, призначених для перевезення охолоджених скраплених газів, повинен щонайменше в 1,3 рази перевищувати максимально припустимий робочий тиск, зазначений на цистерні, але становити не менше 300 кПа (3 бар) (манометричний тиск); для цистерн із вакуумною ізоляцією випробувальний тиск повинен щонайменше в 1,3 рази перевищувати максимально припустимий робочий тиск, збільшений на 100 кПа (1 бар).
4.3.3.2.5 Таблиця з переліком газів і сумішей газів, які можуть перевозитися у вбудованих цистернах (автоцистернах), транспортних засобах-батареях, знімних цистернах, контейнерах-цистернах або БЕГК, із зазначенням мінімального випробувального тиску для цистерн і, за необхідності, коефіцієнта наповнення.
У випадку газів і сумішей газів, віднесених до позицій «н.з.к.», значення випробувального тиску й коефіцієнта наповнення повинні встановлюватися перевіряючим органом.
Якщо цистерни, призначені для стиснених газів або скраплених газів високого тиску, піддавалися меншому випробувальному тиску, ніж той, який зазначено в таблиці, і якщо ці цистерни обладнані теплоізоляцією, то перевіряючий орган може встановити більш низьке максимальне навантаження за умови, що тиск речовини в цистерні при 55 °C не перевищує випробувального тиску, зазначеного на цистерні штампуванням.
|
№ ООН |
Найменування |
Класифікаційний код |
Мінімальний випробувальний тиск для цистерн |
Максимально припустима маса вмісту на літр місткості |
|||
|
з теплоізоляцією |
без теплоізоляції |
||||||
|
МПа |
бар |
МПа |
бар |
кг |
|||
|
Ацетилен розчинений |
4 F |
тільки в транспортних засобах-батареях і БЕГК, що складаються із посудин |
|||||
|
Повітря стиснене |
1 A |
див. 4.3.3.2.1 |
|||||
|
Повітря охолоджене скраплене |
3 O |
див. 4.3.3.2.4 |
|||||
|
Аміак безводний |
2 TC |
2,6 |
26 |
2,9 |
29 |
0,53 |
|
|
Аргон стиснений |
1 A |
див. 4.3.3.2.1 |
|||||
|
Бору трифторид |
2 TC |
22,5 |
225 |
22,5 |
225 |
0,715 |
|
|
30 |
300 |
30 |
300 |
0,86 |
|||
|
Бромтрифторметан (газ рефрижераторний R13B1) |
2 A |
12 |
120 |
1,50 |
|||
|
4,2 |
42 |
1,13 |
|||||
|
12 |
120 |
1,44 |
|||||
|
25 |
250 |
1,60 |
|||||
|
БУТАДІЄНИ СТАБІЛІЗОВАНІ (1,2-бутадієн) або |
2 F |
1 |
10 |
1 |
10 |
0,59 |
|
|
БУТАДІЄНИ СТАБІЛІЗОВАНІ (1,3-бутадієн) або |
2 F |
1 |
10 |
1 |
10 |
0,55 |
|
|
БУТАДІЄНІВ І ВУГЛЕВОДНЮ СУМІШ СТАБІЛІЗОВАНА |
2 F |
1 |
10 |
1 |
10 |
0,50 |
|
|
Бутан |
2 F |
1 |
10 |
1 |
10 |
0,51 |
|
|
БУТИЛЕН (1-бутилен) або |
2 F |
1 |
10 |
1 |
10 |
0,53 |
|
|
БУТИЛЕН (транс-2-бутилен) або |
2 F |
1 |
10 |
1 |
10 |
0,54 |
|
|
БУТИЛЕН (цис-2-бутилен) або |
2 F |
1 |
10 |
1 |
10 |
0,55 |
|
|
БУТИЛЕН (бутиленів суміш) |
2 F |
1 |
10 |
1 |
10 |
0,50 |
|
|
Вуглецю діоксин |
2 A |
19 |
190 |
0,73 |
|||
|
22,5 |
225 |
0,78 |
|||||
|
19 |
190 |
0,66 |
|||||
|
25 |
250 |
0,75 |
|||||
|
Вуглецю монооксид стиснений |
1 TF |
див. 4.3.3.2.1 |
|||||
|
Хлор |
2 TОC |
1,7 |
17 |
1,9 |
19 |
1,25 |
|
|
Хлордифторметан (газ рефрижераторний R22) |
2 A |
2,4 |
24 |
2,6 |
26 |
1,03 |
|
|
Хлорпентафторетан (газ рефрижераторний R115) |
2 A |
2 |
20 |
2,3 |
23 |
1,08 |
|
|
1-Хлор-1,2,2,2-тетрафторетан (газ рефрижераторний R124) |
2 A |
1 |
10 |
1,1 |
11 |
1,2 |
|
|
Хлортрифторметан (газ рефрижераторний R13) |
2 A |
12 |
120 |
0,96 |
|||
|
22,5 |
225 |
1,12 |
|||||
|
10 |
100 |
0,83 |
|||||
|
12 |
120 |
0,90 |
|||||
|
19 |
190 |
1,04 |
|||||
|
25 |
250 |
1,10 |
|||||
|
Газ кам’яновугільний стиснений |
TF |
див. 4.3.3.2.1 |
|||||
|
Ціан |
2 TF |
10 |
100 |
10 |
100 |
0,70 |
|
|
Циклопропан |
2 F |
1,6 |
16 |
1,8 |
18 |
0,53 |
|
|
Дихлордифторметан (газ рефрижераторний R12) |
2 A |
1,5 |
15 |
1,6 |
16 |
1,15 |
|
|
Дихлорфторметан (газ рефрижераторний R21) |
2 A |
1 |
10 |
1 |
10 |
1,23 |
|
|
1,1-Дифторетан (газ рефрижераторний R152a) |
2 F |
1,4 |
14 |
1,6 |
16 |
0,79 |
|
|
Диметиламін безводний |
2 F |
1 |
10 |
1 |
10 |
0,59 |
|
|
Ефір дим етиловий |
2 F |
1,4 |
14 |
1,6 |
16 |
0,58 |
|
|
Етан |
2 F |
12 |
120 |
0,32 |
|||
|
9,5 |
95 |
0,25 |
|||||
|
12 |
120 |
0,29 |
|||||
|
30 |
300 |
0,39 |
|||||
|
Етиламін |
2 F |
1 |
10 |
1 |
10 |
0,61 |
|
|
Етилхлорид |
2 F |
1 |
10 |
1 |
10 |
0,8 |
|
|
Етилен охолоджений рідкий |
3 F |
див. 4.3.3.2.4 |
|||||
|
Ефір етил метиловий |
2 F |
1 |
10 |
1 |
10 |
0,64 |
|
|
Етилену оксид з азотом при загальному тиску до 1 МПа (10 бар) при 50 °C |
2 TF |
1,5 |
15 |
1,5 |
15 |
0,78 |
|
|
Етилену оксиду й вуглецю діоксиду суміш, що містить більше 9%, але не більше 87% етилену оксиду |
2 F |
2,4 |
24 |
2,6 |
26 |
0,73 |
|
|
Гелій стиснений |
1 A |
див. 4.3.3.2.1 |
|||||
|
Водень бромистий безводний |
2 TC |
5 |
50 |
5,5 |
55 |
1,54 |
|
|
Водень стиснений |
1 F |
див. 4.3.3.2.1 |
|||||
|
Водень хлористий безводний |
2 ТС |
12 |
120 |
0,69 |
|||
|
10 |
100 |
0,30 |
|||||
|
12 |
120 |
0,56 |
|||||
|
15 |
150 |
0,67 |
|||||
|
20 |
200 |
0,74 |
|||||
|
Сірководень |
2 TF |
4,5 |
45 |
5 |
50 |
0,67 |
|
|
Ізобутілен |
2 F |
1 |
10 |
1 |
10 |
0,52 |
|
|
Криптон стиснений |
1 A |
див. 4.3.3.2.1 |
|||||
|
Гази скраплені незаймисті, що містять азот, вуглецю діоксид або повітря |
2 A |
||||||
|
Метилацетилену й пропадієну суміш стабілізована: |
2 F |
||||||
|
суміш P1 |
2 F |
2,5 |
25 |
2,8 |
28 |
0,49 |
|
|
суміш P2 |
2 F |
2,2 |
22 |
2,3 |
23 |
0,47 |
|
|
Пропадієн, що містить 1–4% метил ацетилену |
2 F |
2,2 |
22 |
2,2 |
22 |
0,50 |
|
|
Метиламін безводний |
2 F |
1 |
10 |
1,1 |
11 |
0,58 |
|
|
Метилбромід, що містить не більше 2% хлорпікрину |
2 T |
1 |
10 |
1 |
10 |
1,51 |
|
|
Метилхлорид (газ рефрижераторний R40) |
2 F |
1,3 |
13 |
1,5 |
15 |
0,81 |
|
|
Метилмеркаптан |
2 TF |
1 |
10 |
1 |
10 |
0,78 |
|
|
Неон стиснений |
1 A |
див. 4.3.3.2.1 |
|||||
|
Азот стиснений |
1 A |
див. 4.3.3.2.1 |
|||||
|
Діазоту тетраоксид (азоту діоксид) |
2 TOC |
тільки в транспортних засобах-батареях і БЕГК, що складаються із посудин |
|||||
|
Азоту гемі оксид |
2 O |
22,5 |
225 |
0,78 |
|||
|
18 |
180 |
0,68 |
|||||
|
22,5 |
225 |
0,74 |
|||||
|
25 |
250 |
0,75 |
|||||
|
Газ нафтовий стиснений |
1 TF |
див. 4.3.3.2.1 |
|||||
|
Кисень стиснений |
1 O |
див. 4.3.3.2.1 |
|||||
|
Кисень охолоджений рідкий |
3 O |
див. 4.3.3.2.4 |
|||||
|
Гази нафтові скраплені |
2 F |
||||||
|
Фосген |
2 TC |
тільки в транспортних засобах-батареях і БЕГК, що складаються із посудин |
|||||
|
Пропілен |
2 F |
2,5 |
25 |
2,7 |
27 |
0,43 |
|
|
Гази рефрижераторні, н.з.к., такі як: |
2 A |
||||||
|
суміш F1 |
2 A |
1 |
10 |
1,1 |
11 |
1,23 |
|
|
суміш F2 |
2 A |
1,5 |
15 |
1,6 |
16 |
1,15 |
|
|
суміш F3 |
2 A |
2,4 |
24 |
2,7 |
27 |
1,03 |
|
|
інші суміші |
2 A |
||||||
|
Сірки діоксин |
2 TC |
1 |
10 |
1,2 |
12 |
1,23 |
|
|
Сірки гексафторид |
2 A |
12 |
120 |
1,34 |
|||
|
7 |
70 |
1,04 |
|||||
|
14 |
140 |
1,33 |
|||||
|
16 |
160 |
1,37 |
|||||
|
Тетрафторетилен стабілізований |
2 F |
тільки в транспортних засобах-батареях і БЕГК, що складаються із безшовних посудин |
|||||
|
Трифторхлоретилен стабілізований (газ рефрижераторний R1113) |
2 TF |
1,5 |
15 |
1,7 |
17 |
1,13 |
|
|
Триметиламін безводний |
2 F |
1 |
10 |
1 |
10 |
0,56 |
|
|
Вінілбромід стабілізований |
2 F |
1 |
10 |
1 |
10 |
1,37 |
|
|
Вінілхлорид стабілізований |
2 F |
1 |
10 |
1,1 |
11 |
0,81 |
|
|
Ефір вінілметиловий стабілізований |
2 F |
1 |
10 |
1 |
10 |
0,67 |
|
|
Хлорпікрину й метилброміду суміш, що містить більше 2% хлорпікрину |
2 Т |
1 |
10 |
1 |
10 |
1,51 |
|
|
Хлорпікрину й метилхлориду суміш |
2 Т |
1,3 |
13 |
1,5 |
15 |
0,81 |
|
|
Гексаетилтетрафосфату й газу стисненого суміш |
1 T |
див. 4.3.3.2.1 |
|||||
|
Хлору трифторид |
2 TOC |
3 |
30 |
3 |
30 |
1,40 |
|
|
Гексафторпропілен (газ рефрижераторний R1216) |
2 A |
1,7 |
17 |
1,9 |
19 |
1,11 |
|
|
Кремнію тетрафторид |
2 TC |
20 30 |
200 300 |
20 30 |
200 300 |
0,74 1,10 |
|
|
Вінілфторид стабілізований |
2 F |
12 |
120 |
0,58 |
|||
|
22,5 |
225 |
0,65 |
|||||
|
25 |
250 |
0,64 |
|||||
|
Метилхлориду й метиленхлориду суміш |
2 F |
1,3 |
13 |
1,5 |
15 |
0,81 |
|
|
Неон охолоджений рідкий |
3 A |
див. 4.3.3.2.4 |
|||||
|
Аргон охолоджений рідкий |
3 A |
див. 4.3.3.2.4 |
|||||
|
Етилену оксиду й вуглецю діоксиду суміш, що містить не більше 9% етилену оксиду |
2 A |
19 |
190 |
19 |
190 |
0,66 |
|
|
25 |
250 |
25 |
250 |
0,75 |
|||
|
Газ стиснений токсичний займистий, н.з.к. а |
1 TF |
||||||
|
Газ стиснений займистий, н.з.к. |
1 F |
||||||
|
Газ стиснений токсичний, н.з.к. а |
1 T |
||||||
|
Газ стиснений н.з.к. |
1А |
||||||
|
Дейтерій стиснений |
1 F |
див. 4.3.3.2.1 |
|||||
|
1,2-Дихлор-1,1,2,2-тетрафторетан (газ рефрижераторний R114) |
2 A |
1 |
10 |
1 |
10 |
1,3 |
|
|
1,1-Дифторетилен (газ рефрижераторний R1132a) |
2 F |
12 |
120 |
0,66 |
|||
|
22,5 |
225 |
0,78 |
|||||
|
25 |
250 |
0,77 |
|||||
|
Етан охолоджений рідкий |
3 F |
див. 4.3.3.2.4 |
|||||
|
Етилен |
2 F |
12 |
120 |
0,25 |
|||
|
22,5 |
225 |
0,36 |
|||||
|
22,5 |
225 |
0,34 |
|||||
|
30 |
300 |
0,37 |
|||||
|
Гелій охолоджений рідкий |
3 A |
див. 4.3.3.2.4 |
|||||
|
Газів вуглеводневих суміш стиснена, н.з.к. |
1 F |
||||||
|
Газів вуглеводневих суміш скраплена, н.з.к. |
2 F |
||||||
|
суміш A |
2 F |
1 |
10 |
1 |
10 |
0,50 |
|
|
суміш A01 |
2 F |
1,2 |
12 |
1,4 |
14 |
0,49 |
|
|
суміш A02 |
2 F |
1,2 |
12 |
1,4 |
14 |
0,48 |
|
|
суміш A0 |
2 F |
1,2 |
12 |
1,4 |
14 |
0,47 |
|
|
суміш A1 |
2 F |
1,6 |
16 |
1,8 |
18 |
0,46 |
|
|
суміш B1 |
2 F |
2 |
20 |
2,3 |
23 |
0,45 |
|
|
суміш B2 |
2 F |
2 |
20 |
2,3 |
23 |
0,44 |
|
|
суміш B |
2 F |
2 |
20 |
2,3 |
23 |
0,43 |
|
|
суміш C |
2 F |
2,5 |
25 |
2,7 |
27 |
0,42 |
|
|
інші суміші |
|||||||
|
Водень охолоджений рідкий |
3 F |
див. 4.3.3.2.4 |
|||||
|
Газ інсектицидний токсичний, н.з.к. а |
2 T |
||||||
|
Газ інсектицидний, н.з.к. |
2 A |
||||||
|
Ізобутан |
2 F |
1 |
10 |
1 |
10 |
0,49 |
|
|
Криптон охолоджений рідкий |
3 A |
див. 4.3.3.2.4 |
|||||
|
Метан стиснений або газ природний стиснений з високим вмістом метану |
1 F |
див. 4.3.3.2.1 |
|||||
|
Метан охолоджений рідкий або газ природний охолоджений рідкий з високим вмістом метану |
3 F |
див. 4.3.3.2.4 |
|||||
|
Хлордифторметану й хлорпентафторетану суміш із постійною температурою кипіння, що містить приблизно 49% хлордифторметану (газ рефрижераторний R502) |
2 A |
2,5 |
25 |
2,8 |
28 |
1,05 |
|
|
Хлордифторбромметан (газ рефрижераторний R12B1) |
2 A |
1 |
10 |
1 |
10 |
1,61 |
|
|
Октафторциклобутан (газ рефрижераторний RC318) |
2 A |
1 |
10 |
1 |
10 |
1,34 |
|
|
Азот охолоджений рідкий |
3 A |
див. 4.3.3.2.4 |
|||||
|
Пропан |
2 F |
2,1 |
21 |
2,3 |
23 |
0,42 |
|
|
Тетрафторметан (газ рефрижераторний R14) |
2 A |
20 |
200 |
20 |
200 |
0,62 |
|
|
30 |
300 |
30 |
300 |
0,94 |
|||
|
1-Хлор-2,2,2-трифторетан (газ рефрижераторний R133a) |
2 A |
1 |
10 |
1 |
10 |
1,18 |
|
|
Трифторметан (газ рефрижераторний R23) |
2 A |
19 |
190 |
0,92 |
|||
|
25 |
250 |
0,99 |
|||||
|
19 |
190 |
0,87 |
|||||
|
25 |
250 |
0,95 |
|||||
|
Водню й метану суміш стиснена |
1 F |
див. 4.3.3.2.1 |
|||||
|
1,1,1-Трифторетан (газ рефрижераторний R143a) |
2 F |
2,8 |
28 |
3,2 |
32 |
0,79 |
|
|
Ксенон |
2 A |
12 |
120 |
1,30 |
|||
|
13 |
130 |
1,24 |
|||||
|
2,2-Диметилпропан |
2 F |
1 |
10 |
1 |
10 |
0,53 |
|
|
Аміаку розчин у воді з відносною щільністю менше 0,880 при 15 °С, |
4 A |
||||||
|
що містить більше 35%, але не більше 40% аміаку |
4 A |
1 |
10 |
1 |
10 |
0,80 |
|
|
що містить більше 40%, але не більше 50% аміаку |
4 A |
1,2 |
12 |
1,2 |
12 |
0,77 |
|
|
Вуглецю діоксид охолоджений рідкий |
3 A |
див. 4.3.3.2.4 |
|||||
|
Дихлорсилан |
2 TFC |
1 |
10 |
1 |
10 |
0,90 |
|
|
Сульфурилфторид |
2 T |
5 |
50 |
5 |
50 |
1,1 |
|
|
Гексафторетан (газ рефрижераторний R116) |
2 A |
16 |
160 |
1,28 |
|||
|
20 |
200 |
1,34 |
|||||
|
20 |
200 |
1,10 |
|||||
|
Водень йодистий безводний |
2 TC |
1,9 |
19 |
2,1 |
21 |
2,25 |
|
|
Пропадієн стабілізований |
2 F |
1,8 |
18 |
2,0 |
20 |
0,50 |
|
|
Азоту геміоксид охолоджений рідкий |
3 O |
див. 4.3.3.2.4 |
|||||
|
Силан b |
2 F |
22,5 |
225 |
22,5 |
225 |
0,32 |
|
|
25 |
250 |
25 |
250 |
0,36 |
|||
|
Карбонілсульфід |
2 TF |
2,7 |
27 |
3,0 |
30 |
0,84 |
|
|
Карбонілфторид |
2 TC |
20 |
200 |
20 |
200 |
0,47 |
|
|
30 |
300 |
30 |
300 |
0,70 |
|||
|
Бромтрифторетилен |
2 F |
1 |
10 |
1 |
10 |
1,19 |
|
|
Гексафторацетон |
2 TC |
1,6 |
16 |
1,8 |
18 |
1,08 |
|
|
Октафторбутен-2 (газ рефрижераторний R1318) |
2 A |
1 |
10 |
1 |
10 |
1,34 |
|
|
Октафторпропан (газ рефрижераторний R218) |
2 A |
2,1 |
21 |
2,3 |
23 |
1,07 |
|
|
Азоту трифторид |
2 O |
20 |
200 |
20 |
200 |
0,50 |
|
|
30 |
300 |
30 |
300 |
0,75 |
|||
|
Етилацетилен стабілізований |
2 F |
1 |
10 |
1 |
10 |
0,57 |
|
|
Етилфторид (газ рефрижераторний R161) |
2 F |
2,1 |
21 |
2,5 |
25 |
0,57 |
|
|
Метилфторид (газ рефрижераторний R41) |
2 F |
30 |
300 |
30 |
300 |
0,36 |
|
|
1-Хлор-1,1-дифторетан (газ рефрижераторний R142b) |
2 F |
1 |
10 |
1 |
10 |
0,99 |
|
|
Ксенон охолоджений рідкий |
3 A |
див. 4.3.3.2.4 |
|||||
|
Хлортрифторметану й трифторметану азеотропна суміш, що містить приблизно 60% хлортрифторметану (газ рефрижераторний R503) |
2 A |
3,1 |
31 |
3,1 |
31 |
0,11 |
|
|
4,2 |
42 |
0,21 |
|||||
|
10 |
100 |
0,76 |
|||||
|
4,2 |
42 |
0,20 |
|||||
|
10 |
100 |
0,66 |
|||||
|
Циклобутан |
2 F |
1 |
10 |
1 |
10 |
0,63 |
|
|
Дихлордифторметану й 1,1-дифторетану азеотропна суміш, що містить приблизно 74% дихлордифторметану (газ рефрижераторний R500) |
2 A |
1,8 |
18 |
2 |
20 |
1,01 |
|
|
Брому хлорид |
2 TOC |
1 |
10 |
1 |
10 |
1,50 |
|
|
Хлорангідрид трифтороцтової кислоти |
2 TC |
1,3 |
13 |
1,5 |
15 |
1,17 |
|
|
Етилену оксиду й дихлордифторметану суміш, що містить не більше 12,5% етилену оксиду |
2 A |
1,5 |
15 |
1,6 |
16 |
1,09 |
|
|
Перхлорилфторид |
2 TO |
2,7 |
27 |
3,0 |
30 |
1,21 |
|
|
Трифторметан охолоджений рідкий |
3 A |
див. 4.3.3.2.4 |
|||||
|
Етилену, ацетилену й пропілену суміш охолоджена рідка, що містить не менше 71,5% етилену, не більше 22,5% ацетилену й не більше 6% пропілену |
3 F |
див. 4.3.3.2.4 |
|||||
|
Ефір перфтор(метилвініловий) |
2 F |
1,4 |
14 |
1,5 |
15 |
1,14 |
|
|
Ефір перфтор(етилвініловий) |
2 F |
1 |
10 |
1 |
10 |
0,98 |
|
|
Газ стиснений окиснювальний, н.з.к. |
1 O |
||||||
|
Газ скраплений окиснювальний, н.з.к. |
2 O |
||||||
|
Газ охолоджений рідкий, н.з.к. |
3 A |
див. 4.3.3.2.4 |
|||||
|
1,1,1,2-Тетрафторетан (газ рефрижераторний R134a) |
2 A |
1,6 |
16 |
1,8 |
18 |
1,04 |
|
|
Газ скраплений токсичний займистий, н.з.к. a |
2 TF |
||||||
|
Газ скраплений займистий, н.з.к. |
2 F |
||||||
|
Газ скраплений токсичний, н.з.к. а |
2 T |
||||||
|
Газ скраплений, н.з.к. |
2 A |
||||||
|
Пентафторетан (газ рефрижераторний R125) |
2 A |
4,1 |
41 |
4,9 |
49 |
0,95 |
|
|
Дифторметан (газ рефрижераторний R32) |
2 F |
3,9 |
39 |
4,3 |
43 |
0,78 |
|
|
Гептафторпропан (газ рефрижераторний R227) |
2 A |
1,4 |
14 |
1,6 |
16 |
1,20 |
|
|
Етилену оксиду й хлортетрафторетану суміш, що містить не більше 8,8% етилену оксиду |
2 A |
1 |
10 |
1 |
10 |
1,16 |
|
|
Етилену оксиду й пентафторетану суміш, що містить не більше 7,9% етилену оксиду |
2 A |
2,4 |
24 |
2,6 |
26 |
1,02 |
|
|
Етилену оксиду й тетрафторетану суміш, що містить не більше 5,6% етилену оксиду |
2 A |
1,5 |
15 |
1,7 |
17 |
1,03 |
|
|
Етилену оксиду й вуглецю діоксиду суміш, що містить більше 87% етилену оксиду |
2 TF |
2,8 |
28 |
2,8 |
28 |
0,73 |
|
|
Газ стиснений токсичний окиснювальний, н.з.к. а |
1 TO |
||||||
|
Газ стиснений токсичний корозійний, н.з.к. а |
1 TC |
||||||
|
Газ стиснений токсичний займистий корозійний, н.з.к. а |
1 TFC |
||||||
|
Газ стиснений токсичний окиснювальний корозійний, н.з.к. а |
1 TOC |
||||||
|
Газ скраплений токсичний окиснювальний, н.з.к. а |
2 TO |
||||||
|
Газ скраплений токсичний корозійний, н.з.к. a |
2 TC |
||||||
|
Газ скраплений токсичний займистий корозійний, н.з.к. а |
2 TFC |
||||||
|
Газ скраплений токсичний окиснювальний корозійний, н.з.к. а |
2 TOC |
||||||
|
Газ охолоджений рідкий окиснювальний, н.з.к. |
3 O |
див. 4.3.3.2.4 |
|||||
|
Газ охолоджений рідкий займистий, н.з.к. |
3 F |
див. 4.3.3.2.4 |
|||||
|
Аміаку розчин у воді з відносною щільністю менше 0,880 при 15 °С, що містить більше 50% аміаку |
4 TC |
див. 4.3.3.2.2 |
|||||
|
Газ рефрижераторний R404А |
2 A |
2,9 |
29 |
3,2 |
32 |
0,84 |
|
|
Газ рефрижераторний R407А |
2 A |
2,8 |
28 |
3,2 |
32 |
0,95 |
|
|
Газ рефрижераторний R407B |
2 A |
3,0 |
30 |
3,3 |
33 |
0,95 |
|
|
Газ рефрижераторний R407С |
2 A |
2,7 |
27 |
3,0 |
30 |
0,95 |
|
|
Газ інсектицидний займистий, н.з.к. |
2 F |
||||||
|
Газ інсектицидний токсичний займистий, н.з.к. а |
2 TF |
||||||
4.3.3.3 Експлуатація
4.3.3.3.1 Якщо цистерни, транспортні засоби-батареї або БЕГК затверджені для перевезення різних газів, то перед наповненням іншим газом їх слід, за необхідності, попередньо спорожнити, продути й вакуумувати для забезпечення їх безпечної експлуатації.
4.3.3.3.2 (Виключено)
4.3.3.3.3 У всіх елементах транспортного засобу-батареї або БЕГК повинен міститися тільки один і той самий газ.
4.3.3.3.4 В тих випадках, коли надлишковий зовнішній тиск може досягати величин, що перевищують величину граничного опору цистерни зовнішньому тиску (наприклад, у зв’язку з низькою температурою довкілля), повинні вживатися відповідні заходи для захисту цистерн, у яких перевозяться скраплені гази низького тиску, від погрози деформації, наприклад шляхом заповнення цистерни азотом або іншим інертним газом для підтримки в ній достатнього тиску.
4.3.3.4 (Зарезервовано)
4.3.3.5 |
Фактичний час утримання розраховується для кожного рейсу контейнера-цистерни, що перевозить охолоджений скраплений газ, на підставі наступних даних: а) контрольного часу втримання для охолодженого скрапленого газу, що підлягає перевезенню, (див. пункт 6.8.3.4.10) відповідно до вказівок на табличці, згаданій в пункті 6.8.3.5.4; b) фактичної щільності наповнення; с) фактичного тиску наповнення; d) найбільш низького тиску, на який відрегульований(і) пристрій (пристрої) обмеження тиску; е) зниження ефективності системи ізоляції[6] . ПРИМІТКА: У стандарті ISO 21014:2006 «Сосуди криогенні − Криогенна ізоляція» міститься докладна інформація про методи визначення ізоляційних характеристик криогенних посудин і зазначений метод розрахунків часу втримання. |
|
4.3.3.6 |
Дата закінчення фактичного часу втримання повинна бути зазначена в транспортному документі (див. пункт 5.4.1.2.2 d)). Цистерни не повинні пред’являтися до перевезення: a) якщо при недоливі хвилювання рідини усередині цистерни може створити неприпустимі гідравлічні навантаження; b) за наявності витоку; c) коли вони ушкоджені настільки, що може бути порушена цілісність цистерни або її піднімальних або кріпильних приладів; d) якщо експлуатаційне обладнання не було оглянуто й не був засвідчений його справний робочий стан; e) якщо не був визначений фактичний час утримання охолодженого скрапленого газу, що перевозиться; f) якщо тривалість перевезення з урахуванням будь-яких можливих затримок перевищує фактичний час утримання; g) якщо тиск нестабільний та не був знижений до рівня, що дозволяє забезпечити фактичний час утримання4. |
4.3.4 Спеціальні положення, застосовувані до класів 1 і 3–9
4.3.4.1 Кодування, раціоналізований підхід та ієрархія цистерн
4.3.4.1.1 Кодування цистерн
Чотири частини кодів (кодів цистерн), зазначених у стовпчику 12 таблиці А глави 3.2, мають наступні значення:
|
Частина |
Опис |
Код цистерни |
1 |
Типи цистерн |
L = цистерна для речовин у рідкому стані (рідин або твердих речовин, пред’явлених до перевезення в розплавленому стані); |
2 |
Розрахунковий тиск |
G = мінімальний розрахунковий тиск відповідно до загальних вимог пункту 6.8.2.1.14; або 1,5; 2,65; 4; 10; 15 або 21 = мінімальний розрахунковий тиск у барах (див. пункт 6.8.2.1.14). |
3 |
Отвори (див. пункт 6.8.2.2.2) |
A = цистерна з отворами для наповнення знизу або спорожнювання знизу, із двома затворами; B = цистерна з отворами для наповнення знизу або спорожнювання знизу, із трьома затворами; C = цистерна з отворами для наповнення й спорожнювання зверху, що має нижче рівня рідини тільки отвори для очищення; D = цистерна з отворами для наповнення й спорожнювання зверху, що не має отворів, розташованих нижче рівня рідини. |
4 |
Запобіжні клапани/ обладнання |
V = цистерна з дихальним пристроєм згідно з пунктом 6.8.2.2.6, але без пристрою, що запобігає поширенню полум’я; або цистерна, не стійка до ударного тиску вибуху; F = цистерна з дихальним пристроєм згідно з пунктом 6.8.2.2.6, оснащеним пристроєм, що запобігає поширенню полум’я; або цистерна, стійка до ударного тиску вибуху; N = цистерна, що не має дихального пристрою згідно з пунктом 6.8.2.2.6, й що не є герметично закритою; H = герметично закрита цистерна (див. розділ 1.2.1). |
4.3.4.1.2 Раціоналізований підхід до призначення кодів цистерн ДОПНВ групам речовин і ієрархія цистерн
ПРИМІТКА: Деякі речовини й групи речовин не включені в раціоналізований підхід, див. пункт 4.3.4.1.3.
Раціоналізований підхід
|
Код цистерни |
Група допущених речовин |
||
|
Клас |
Класифікаційний код |
Група упакування |
|
|
РІДИНИ |
|||
|
LGAV |
3 |
F2 |
III |
|
9 |
М9 |
III |
|
|
LGBV |
4.1 |
F2 |
II, III |
|
5.1 |
O1 |
III |
|
|
9 |
M6 |
III |
|
|
M11 |
III |
||
|
а також групи речовин, допущених до перевезення в цистернах під кодом LGAV |
|||
|
LGBF |
3 |
F1 |
II тиск пар при 50 °C ≤ 1,1 бар |
|
F1 |
III |
||
|
D |
II тиск пар при 50 °C ≤ 1,1 бар |
||
|
D |
III |
||
|
а також групи речовин, допущених до перевезення в цистернах під кодами LGAV і LGBV |
|||
|
L1.5BN |
3 |
F1 |
II тиск пар при 50 °C > 1,1 бар |
|
F1 |
III температура спалаху < 23 °С, в’язкі, тиск пар при 50 °C > 1,1 бар температура кипіння > 35 °С |
||
|
D |
II тиск пар при 50 °C > 1,1 бар |
||
|
а також групи речовин, допущених до перевезення в цистернах під кодами LGAV, LGBV і LGBF |
|||
|
4BN |
3 |
F1 |
I, III температура кипіння ≤ 35 °C |
|
FC |
III |
||
|
D |
I |
||
|
5.1 |
O1 |
I, II |
|
|
OT1 |
I |
||
|
8 |
C1 |
II, III |
|
|
C3 |
II, III |
||
|
C4 |
II, III |
||
|
C5 |
II, III |
||
|
C7 |
II, III |
||
|
C8 |
II, III |
||
|
C9 |
II, III |
||
|
C10 |
II, III |
||
|
CF1 |
II |
||
|
CF2 |
II |
||
|
CS1 |
II |
||
|
CW1 |
II |
||
|
CW2 |
II |
||
|
CO1 |
II |
||
|
CO2 |
II |
||
|
CT1 |
II, III |
||
|
CT2 |
II, III |
||
|
CFT |
II |
||
|
9 |
M11 |
III |
|
|
а також групи речовин, допущених до перевезення в цистернах під кодами LGAV, LGBV, LGBF і L1.5BN |
|||
|
L4BH |
3 |
FT1 |
II, III |
|
FT2 |
II |
||
|
FC |
II |
||
|
FTC |
II |
||
|
6.1 |
T1 |
II, III |
|
|
T2 |
II, III |
||
|
T3 |
II, III |
||
|
T4 |
II, III |
||
|
T5 |
II, III |
||
|
T6 |
II, III |
||
|
T7 |
II, III |
||
|
TF1 |
II |
||
|
TF2 |
II, III |
||
|
TF3 |
II |
||
|
TS |
II |
||
|
TW1 |
II |
||
|
TW2 |
II |
||
|
TO1 |
II |
||
|
TO2 |
II |
||
|
TC1 |
II |
||
|
TC2 |
II |
||
|
TC3 |
II |
||
|
TC4 |
II |
||
|
TFC |
II |
||
|
6.2 |
I3 |
II |
|
|
I4 |
|||
|
9 |
M2 |
II |
|
|
а також групи речовин, допущених до перевезення в цистернах під кодами LGAV, LGBV, LGBF, L1.5BN і L4BN |
|||
|
L4DH |
4.2 |
S1 |
II, III |
|
S3 |
II, III |
||
|
ST1 |
II, III |
||
|
ST3 |
II, III |
||
|
SC1 |
II, III |
||
|
SC3 |
II, III |
||
|
4.3 |
W1 |
II, III |
|
|
WF1 |
II, III |
||
|
WT1 |
II, III |
||
|
WC1 |
II, III |
||
|
8 |
CT1 |
II, III |
|
|
а також групи речовин, допущених до перевезення в цистернах під кодами LGAV, LGBV, LGBF, L1.5BN, L4BN і L4BH |
|||
|
L10BH |
8 |
С1 |
I |
|
С3 |
I |
||
|
С4 |
I |
||
|
С5 |
I |
||
|
С7 |
I |
||
|
С8 |
I |
||
|
C9 |
I |
||
|
C10 |
I |
||
|
СF1 |
I |
||
|
CF2 |
I |
||
|
CS1 |
I |
||
|
CW1 |
I |
||
|
CW2 |
I |
||
|
CO1 |
I |
||
|
CO2 |
I |
||
|
CT1 |
I |
||
|
CT2 |
I |
||
|
COT |
I |
||
|
а також групи речовин, допущених до перевезення в цистернах під кодами LGAV, LGBV, LGBF, L1.5BN, L4BN і L4BH |
|||
|
L10CH |
3 |
FT1 |
I |
|
FT2 |
I |
||
|
FC |
I |
||
|
FTC |
I |
||
|
6.1* |
T1 |
I |
|
|
T2 |
I |
||
|
T3 |
I |
||
|
T4 |
I |
||
|
T5 |
I |
||
|
T6 |
I |
||
|
T7 |
I |
||
|
TF1 |
I |
||
|
TF2 |
I |
||
|
TF3 |
I |
||
|
TS |
I |
||
|
TW1 |
I |
||
|
TO1 |
I |
||
|
TC1 |
I |
||
|
TC2 |
I |
||
|
TC3 |
I |
||
|
TC4 |
I |
||
|
TFC |
I |
||
|
TFW |
I |
||
|
а також групи речовин, допущених до перевезення в цистернах під кодами LGAV, LGBV, LGBF, L1.5BN, L4BN, L4BH і L10BH |
|||
|
* Речовинам, у яких ЛК50 не перевищує 200 мл/м3 і концентрація насичених пар становить не менше 500 ЛК50, повинен присвоюватися код цистерни L15CH. |
|||
|
L10DH |
4.3 |
W1 |
I |
|
WF1 |
I |
||
|
WT1 |
I |
||
|
WC1 |
I |
||
|
WFC |
I |
||
|
5.1 |
OTC |
I |
|
|
8 |
CT1 |
I |
|
|
а також групи речовин, допущених до перевезення в цистернах під кодами LGAV, LGBV, LGBF, L1.5BN, L4BN, L4BH, L4DH, L10BH і L10CH |
|||
|
L15CH |
3 |
FT1 |
I |
|
6.1** |
T1 |
I |
|
|
T4 |
I |
||
|
TF1 |
I |
||
|
TW1 |
I |
||
|
TO1 |
I |
||
|
TC1 |
I |
||
|
TC3 |
I |
||
|
TFC |
I |
||
|
TFW |
I |
||
|
а також групи речовин, допущених до перевезення в цистернах під кодами LGAV, LGBV, LGBF, L1.5BN, L4BN, L4BH, L10BH і L10CH |
|||
|
** Речовинам, у яких ЛК50 не перевищує 200 мл/м3 і концентрація насичених пар становить не менше 500 ЛК50, повинен присвоюватися даний код цистерни. |
|||
|
L21DH |
4.2 |
S1 |
I |
|
S3 |
I |
||
|
SW |
I |
||
|
ST3 |
I |
||
|
а також групи речовин, допущених до перевезення в цистернах під кодами LGAV, LGBV, LGBF, L1.5BN, L4BN, L4BH, L4DH, L10BH, L10CH, L10DH і L15CH |
|||
|
ТВЕРДІ РЕЧОВИНИ |
|||
|
SGAV |
4.1 |
F1 |
III |
|
F3 |
III |
||
|
4.2 |
S2 |
II, III |
|
|
S4 |
III |
||
|
5.1 |
O2 |
II, III |
|
|
8 |
C2 |
II, III |
|
|
C4 |
III |
||
|
C6 |
III |
||
|
C8 |
III |
||
|
C10 |
II, III |
||
|
СT2 |
III |
||
|
9 |
M7 |
III |
|
|
M11 |
II, III |
||
|
SGAN |
4.1 |
F1 |
II |
|
F3 |
II |
||
|
FT1 |
II, III |
||
|
FT2 |
II, III |
||
|
FC1 |
II, III |
||
|
FC2 |
II, III |
||
|
4.2 |
S2 |
II |
|
|
S4 |
II, III |
||
|
ST2 |
II, III |
||
|
ST4 |
II, III |
||
|
SC2 |
II, III |
||
|
SC4 |
II, III |
||
|
4.3 |
W2 |
II, III |
|
|
WF2 |
II |
||
|
WS |
II, III |
||
|
WT2 |
II, III |
||
|
WC2 |
II, III |
||
|
5.1 |
O2 |
II, III |
|
|
OT2 |
II, III |
||
|
OC2 |
II, III |
||
|
8 |
C2 |
II |
|
|
C4 |
II |
||
|
C6 |
II |
||
|
C8 |
II |
||
|
C10 |
II |
||
|
CF2 |
II |
||
|
CS2 |
II |
||
|
CW2 |
II |
||
|
CO2 |
II |
||
|
CT2 |
II |
||
|
9 |
M3 |
III |
|
|
а також групи речовин, допущених до перевезення в цистернах під кодом SGAV |
|||
|
SGAH |
6.1 |
T2 |
II, III |
|
T3 |
II, III |
||
|
T5 |
II, III |
||
|
T7 |
II, III |
||
|
T9 |
II |
||
|
TF3 |
II |
||
|
TS |
II |
||
|
TW2 |
II |
||
|
TO2 |
II |
||
|
TC2 |
II |
||
|
TC4 |
II |
||
|
9 |
M1 |
II, III |
|
|
а також групи речовин, допущених до перевезення в цистернах під кодами SGAV і SGAN |
|||
|
S4AH |
6.2 |
I3 |
II |
|
9 |
M2 |
II |
|
|
а також групи речовин, допущених до перевезення в цистернах під кодами SGAV, SGAN і SGAH |
|||
|
S10AN |
8 |
C2 |
I |
|
C4 |
I |
||
|
C6 |
I |
||
|
C8 |
I |
||
|
C10 |
I |
||
|
CF2 |
I |
||
|
CS2 |
I |
||
|
CW2 |
I |
||
|
CO2 |
I |
||
|
CT2 |
I |
||
|
а також групи речовин, допущених до перевезення в цистернах під кодами SGAV і SGAN |
|||
|
S10AH |
6.1 |
T2 |
I |
|
T3 |
I |
||
|
T5 |
I |
||
|
T7 |
I |
||
|
TS |
I |
||
|
TW2 |
I |
||
|
TO2 |
I |
||
|
TC2 |
I |
||
|
TC4 |
I |
||
|
а також групи речовин, допущених до перевезення в цистернах під кодами SGAV, SGAN, SGAH і S10AN |
|||
Ієрархія цистерн
Цистерни з кодами, відмінними від тих, які зазначені в цій таблиці або в таблиці А глави 3.2, можуть також використовуватися за умови, що кожний елемент (цифра або літера) частин 1–4 цих кодів цистерн відповідає рівню безпеки, щонайменше еквівалентному відповідному елементу коду, зазначеного в таблиці А глави 3.2, відповідно до наступної зростаючої послідовності:
Частина 1: Типи цистерн
S → L
Частина 2: Розрахунковий тиск
G → 1,5 → 2,65 → 4 → 10 → 15 → 21 бар
Частина 3: Отвори
A → B → C → D
Частина 4: Запобіжні клапани/пристрої
V → F → N → H.
Приклади:
– цистерну з кодом L10CN дозволяється використовувати для перевезення речовини, якій присвоєний код цистерни L4BN;
– цистерну з кодом L4BN дозволяється використовувати для перевезення речовини, якій присвоєний код цистерни SGAN;
ПРИМІТКА: У цій ієрархії не враховані будь-які спеціальні положення для кожної позиції (див. розділи 4.3.5 і 6.8.4).
4.3.4.1.3 На перелічені нижче речовини й групи речовин, для яких після коду цистерни, зазначеного в стовпчику 12 таблиці А глави 3.2, проставлено знак »(+)», поширюються спеціальні положення. У цьому випадку альтернативне використання цистерн для інших речовин і груп речовин дозволяється тільки тоді, коли це прямо зазначено у свідоцтві про офіційне затвердження типу. З урахуванням спеціальних положень, зазначених у стовпчику 13 таблиці А глави 3.2, можуть використовуватися цистерни, що відповідають більш жорстким вимогам згідно з положеннями, наведеними після таблиці в пункті 4.3.4.1.2. Вимоги відносно цих цистерн вказано за допомогою нижченаведених кодів цистерн, що доповнюються відповідними спеціальними положеннями, вказаними в стовпчику 13 таблиці А глави 3.2.
|
Клас |
№ ООН |
Найменування й опис |
Код цистерни |
|
1 |
Вибухова речовина бризантна, тип В |
S2.65AN |
|
|
4.1 |
Сірка розплавлена |
LGBV |
|
|
Речовина, що полімеризується, тверда, стабілізована, н.з.к. |
SGAN |
||
|
Речовина, що полімеризується, тверда, що перевозиться при регульованій температурі, н.з.к. |
|||
|
Речовина, що полімеризується, рідка, стабілізована, н.з.к. |
L4BN |
||
|
Речовина, що полімеризується, рідка, що перевозиться при регульованій температурі, н.з.к. |
|||
|
4.2 |
Фосфор білий або жовтий сухий, під водою або в розчині |
L10DH |
|
|
Фосфор білий розплавлений |
|||
|
4.3 |
Амальгама лужних металів рідка |
L10BN |
|
|
Метал лужний диспергований або метал лужноземельний диспергований |
|||
|
Амальгама лужноземельних металів рідка |
|||
|
Літій |
|||
|
Калію металеві сплави, рідкі |
|||
|
Лужних металів сплав рідкий, н.з.к. |
|||
|
Калію-натрію сплави, рідкі |
|||
|
Натрій |
|||
|
Калій |
|||
|
Амальгама лужних металів, тверда |
|||
|
Амальгама лужноземельних металів, тверда |
|||
|
Калію металеві сплави, тверді |
|||
|
Калію-натрію сплави, тверді |
|||
|
Метал лужний диспергований легкозаймистий або метал лужноземельний диспергований легкозаймистий |
|||
|
Цезій |
L10CH |
||
|
Рубідій |
|||
|
Кальцію карбід, група упакування I |
S2.65AN |
||
|
5.1 |
Кислота хлорна з масовою часткою кислоти більше 50%, але не більше 72% |
L4DN |
|
|
Водню пероксиду водний розчин стабілізований, що містить більше 70% пероксиду водню |
L4DV |
||
|
Водню пероксиду водний розчин, що містить не менше 20%, але не більше 60% пероксиду водню |
L4BV |
||
|
Водню пероксиду водний розчин стабілізований, що містить більше 60% і не більше 70% пероксиду водню |
|||
|
Амонію нітрат рідкий (гарячий концентрований розчин) |
|||
|
Водню пероксиду й кислоти надоцтової суміш стабілізована |
|||
|
Амонію нітрату емульсія, суспензія або гель, що використовується для виробництва бризантних вибухових речовин, проміжна сировина для бризантних вибухових речовин, рідкі |
LGAV |
||
|
Амонію нітрату емульсія, суспензія або гель, що використовується для виробництва бризантних вибухових речовин, проміжна сировина для бризантних вибухових речовин, тверді |
SGAV |
||
|
5.2 |
Органічний пероксид типу F, рідкий |
L4BN |
|
|
Органічний пероксид типу F, рідкий, що перевозиться при регульованій температурі |
|||
|
Органічний пероксид типу F, твердий |
S4AN |
||
|
Органічний пероксид типу F, твердий, що перевозиться при регульованій температурі |
|||
|
6.1 |
Водню ціаністого водний розчин |
L15DH |
|
|
Водню ціаністого спиртовий розчин |
|||
|
7а |
Усі речовини |
спеціальні цистерни |
|
|
Мінімальні вимоги для рідин |
L2.65CN |
||
|
Мінімальні вимоги для твердих речовин |
S2.65AN |
||
|
8 |
Водень фтористий безводний |
L21DH |
|
|
Бром або брому розчин |
|||
|
Кислоти фтористоводневої розчин зі вмістом фтористоводневої кислоти більше 85% |
|||
|
Гіпохлориту розчин |
L4BV |
||
|
Хлориту розчин |
а Незалежно від загальних вимог цього пункту цистерни, використовувані для радіоактивного матеріалу, можуть також використовуватися для перевезення інших вантажів за умови дотримання вимог пункту 5.1.3.2.
4.3.4.1.4 Цистернам, призначеним для перевезення рідких відходів, що відповідають вимогам глави 6.10 і оснащеним двома затворами згідно з підрозділом 6.10.3.2, повинен призначатися код цистерни L4AH. Якщо розглядувані цистерни обладнані для альтернативного перевезення рідин і твердих речовин, їм повинен призначатися комбінований код L4AH+S4AH.
4.3.4.2 Загальні положення
4.3.4.2.1 У випадку завантаження речовин у гарячому стані температура зовнішньої поверхні цистерни або теплоізоляції під час перевезення не повинна перевищувати 70 °C.
|
4.3.4.2.2 |
Сполучні трубопроводи між окремими, але зв’язаними між собою цистернами транспортної одиниці під час перевезення повинні бути порожніми. Гнучкі шланги для наповнення й спорожнювання, які не з’єднані з цистерною постійним кріпленням, під час перевезення повинні бути порожніми. |
4.3.4.2.3 (Зарезервовано)
4.3.5 Спеціальні положення
Наведені нижче спеціальні положення застосовуються в тому випадку, якщо вони зазначені для якої-небудь позиції в стовпчику 13 таблиці А глави 3.2:
TU1 Цистерни повинні пред’являтися до перевезення тільки після повного затвердіння речовини й покриття її шаром інертного газу. Неочищені порожні цистерни, що містили ці речовини, повинні заповнюватися інертним газом.
TU2 Ця речовина повинна перебувати під шаром інертного газу. Неочищені порожні цистерни, що містили ці речовини, повинні заповнюватися інертним газом.
TU3 Внутрішня частина корпусу й усі частини, які можуть увійти в стикання з речовиною, повинні втримуватися в чистоті. Для змащення насосів, клапанів та інших пристроїв не повинні використовуватися матеріали, здатні утворювати небезпечні сполуки із цією речовиною.
TU4 Під час перевезення ці речовини повинні перебувати під шаром інертного газу при тиску не менше 50 кПа (0,5 бар) (манометричний тиск).
При пред’явленні до перевезення неочищені порожні цистерни, що містили ці речовини, повинні заповнюватися інертним газом при тиску не менше 50 кПа (0,5 бар) (манометричний тиск).
TU5 (Зарезервовано)
TU6 Не допускаються до перевезення в цистернах, транспортних засобах-батареях і БЕГК, якщо ЛК50 менше 200 млн.–1.
TU7 Матеріали, використовувані для забезпечення герметичності сполук або для обслуговування затворів, повинні бути сумісні із умістом.
TU8 Для перевезення цієї речовини не повинна використовуватися цистерна з алюмінієвого сплаву, за винятком тих випадків, коли ця цистерна призначена винятково для такого перевезення, і за умови, що ацетальдегід не містить кислоти.
TU9 № ООН 1203 бензин моторний з тиском пар при 50 °С більше 110 кПа (1,1 бар), але не більше 150 кПа (1,5 бар) може також перевозитися в цистернах, які розраховані відповідно до пункту 6.8.2.1.14 а) і обладнання яких відповідає вимогам пункту 6.8.2.2.6.
TU10 (Зарезервовано)
TU11 При наповненні температура цієї речовини не повинна перевищувати 60 °C. Максимальна температура наповнення, яка дорівнює 80 °C, допускається за умови, що не виникне точкового загоряння й що будуть дотримані наступні умови. Після наповнення в корпусах повинен бути створений надлишковий тиск (наприклад, за допомогою стисненого повітря) для перевірки їх герметичності. Слід переконатися, що під час перевезення не відбудеться зниження тиску. Перед спорожнюванням слід упевнитися в тому, що тиск у цистернах як і раніше перевищує атмосферний. У протилежному випадку перед спорожнюванням у них накачується інертний газ.
TU12 У випадку перепрофілювання слід ретельно очищати корпусу і їх обладнання від усіх залишків до й після перевезення цієї речовини.
TU13 Під час наповнення в цистернах не повинно міститися ніяких домішок. Експлуатаційне обладнання, таке як затвори й зовнішні трубопроводи, повинно спорожнятися після наповнення або спорожнювання цистерни.
TU14 Під час перевезення запобіжні ковпаки затворів повинні бути заблоковані.
TU15 Цистерни не повинні використовуватися для перевезення продуктів харчування, інших предметів споживання або кормів для тварин.
TU16 При пред’явленні до перевезення неочищені порожні цистерни повинні заповнюватися захисним агентом за допомогою одного з наступних методів:
|
Захисний агент |
Ступінь заповнення водою |
Додаткові вимоги, що стосуються перевезення при низькій температурі довкілля |
|
Азот a |
– |
– |
|
Вода й азот a |
– |
– |
|
Вода |
не менше 96% і не більше 98% |
У воді повинна міститися достатня кількість антифризу для запобігання її замерзанню. Антифриз повинен бути позбавлений корозійної активності й здатності вступати в реакцію з речовиною. |
a Вільний простір цистерни повинен заповнюватися азотом таким чином, щоб тиск ніколи, навіть після охолодження, не опускався нижче атмосферного. Цистерна повинна бути закрита герметично, щоб не відбувалося витоку газу.
TU17 Дозволяється перевозити тільки в транспортних засобах-батареях або БЕГК, елементами яких є посудини.
TU18 Ступінь наповнення повинен бути нижче рівня, при якому – у випадку, якщо температура вмісту досягала б величини, коли тиск пар дорівнює тиску спрацьовування запобіжного клапана, – об’єм рідини склав би 95% місткості цистерни при даній температурі. Положення пункту 4.3.2.3.4 не застосовується.
TU19 Цистерни можуть наповнюватися на 98% їх місткості при температурі й тиску наповнення. Положення пункту 4.3.2.3.4 не застосовується.
TU20 (Зарезервовано)
TU21 Речовина повинна покриватися захисним агентом одним з наступних способів:
|
Захисний агент |
Шар води в цистерні |
Ступінь заповнення речовиною (включаючи воду, якщо вона присутня) при температурі 60 °С не повинен перевищувати |
Додаткові вимоги, що стосуються перевезення при низькій температурі довкілля |
|
Азот a |
– |
96% |
– |
|
Вода й азот a |
– |
98% |
У воді повинна міститися достатня кількість антифризу для запобігання її замерзанню. Антифриз повинен бути позбавлений корозійної активності й здатності вступати в реакцію з речовиною. |
|
Вода |
не менше 12 см |
98% |
a Вільний простір цистерни повинен заповнюватися азотом таким чином, щоб тиск ніколи, навіть після охолодження, не опускався б нижче атмосферного. Цистерна повинна бути закрита герметично, щоб не відбувалося витоку газу.
TU22 Цистерни повинні наповнюватися не більше ніж на 90% їх місткості; у випадку рідин при середній температурі рідини 50 °C повинен залишатися вільний простір, що становить 5%.
TU23 При наповненні по масі ступінь наповнення не повинен перевищувати 0,93 кг на літр місткості. При наповненні за об’ємом ступінь наповнення не повинен перевищувати 85%.
TU24 При наповненні по масі ступінь наповнення не повинен перевищувати 0,95 кг на літр місткості. При наповненні за об’ємом ступінь наповнення не повинен перевищувати 85%.
TU25 При наповненні по масі ступінь наповнення не повинен перевищувати 1,14 кг на літр місткості. При наповненні за об’ємом ступінь наповнення не повинен перевищувати 85%.
TU26 Ступінь наповнення не повинен перевищувати 85%.
TU27 Цистерни повинні наповнюватися не більше ніж на 98% їх місткості.
TU28 Цистерни повинні наповнюватися не більше ніж на 95% їх місткості при стандартній температурі 15 °C.
TU29 Цистерни повинні наповнюватися не більше ніж на 97% їх місткості, і максимальна температура після наповнення не повинна перевищувати 140 °C.
TU30 Цистерни повинні наповнюватися відповідно до протоколу випробувань для офіційного затвердження типу цистерни, але не більше ніж на 90% їх місткості.
TU31 Цистерни повинні наповнюватися з розрахунку не більше 1 кг на літр місткості.
TU32 Цистерни повинні наповнюватися не більше ніж на 88% їх місткості.
TU33 Цистерни повинні наповнюватися не менше ніж на 88%, але не більше ніж на 92% їх місткості або з розрахунку не більше 2,86 кг на літр місткості.
TU34 Цистерни повинні наповнюватися з розрахунку не більше 0,84 кг на літр місткості.
TU35 Неочищені порожні вбудовані цистерни (автоцистерни), знімні цистерни й контейнери-цистерни, що містили ці речовини, не підпадають під дію вимог ДОПНВ, якщо вжиті заходи по усуненню будь-якої небезпеки.
TU36 Ступінь наповнення, згідно з вимогами підрозділу 4.3.2.2, при стандартній температурі 15 °С не повинен перевищувати 93% місткості.
TU37 Перевезення в цистернах дозволяється тільки для речовин, що містять патогенні організми, які навряд чи становлять серйозну небезпеку й у відношенні яких – хоча вони й здатні викликати гостру інфекцію в результаті свого впливу – існують ефективні методи лікування й ефективна профілактика, а ризик поширення інфекції обмежений (тобто організми, що становлять помірну небезпеку для індивіда або особини й незначну небезпеку для їх груп).
TU38 (Зарезервовано)
TU39 Придатність речовини для перевезення в цистернах повинна бути підтверджена. Метод оцінки такої придатності повинен бути затверджений компетентним органом. Одним з методів є випробування 8 d) серії випробувань 8 (див. Керівництво з випробувань і критеріїв, частина 1, розділ 18.7).
Речовини не повинні залишатися в цистерні протягом часу, після закінчення якого може початися процес спікання. Для запобігання відкладанню й злежуванню речовин у цистерні повинні вживатися відповідні заходи (наприклад, очищення і т.д.).
TU40 Дозволяється перевозити тільки в транспортних засобах-батареях або БЕГК, елементами яких є безшовні посудини.
TU41 Придатність речовини для перевезення в цистернах повинна бути підтверджена до задоволення компетентного органу кожної країни, через територію або на територію якої здійснюється перевезення.
Метод оцінки такої придатності повинен бути затверджений компетентним органом будь-якої Договірної сторони ДОПНВ, який може також визнати затвердження, надане компетентним органом країни, що не є Договірною стороною ДОПНВ, за умови, що це затвердження було надано відповідно до процедур, застосовуваних згідно з ДОПНВ, МПНВ, ВОПНВ або МКМПНВ.
Речовини не повинні залишатися в цистерні протягом будь-якого періоду часу, після закінчення якого може початися процес спікання. Для запобігання відкладанню й злежуванню речовин у цистерні повинні вживатися відповідні заходи (наприклад, очищення і т.д.).
TU42 Цистерни з корпусом, виготовленим з алюмінієвого сплаву, у тому числі цистерни із захисним облицюванням, використовуються тільки в тому випадку, якщо значення рН речовини становить не менше 5,0 і не більше 8,0.
TU43 Порожня неочищена цистерна може пред’являтися до перевезення після дати закінчення терміну дії останньої перевірки облицювання протягом періоду, що не перевищує трьох місяців починаючи з вказаної дати, для цілей проведення чергової перевірки облицювання перед черговим наповненням (див. спеціальне положення TT2 у пункті 6.8.4 d)).
ПРИМІТКА: Відносно переносних цистерн і багатоелементних газових контейнерів (БЕГК) «UN» див. главу 4.2; відносно вбудованих цистерн (автоцистерн), знімних цистерн, контейнерів-цистерн і знімних кузовів-цистерн, корпуси яких виготовлені з металевих матеріалів, а також транспортних засобів-батарей і багатоелементних газових контейнерів (БЕГК), крім БЕГК «UN», див. главу 4.3; відносно вакуумних цистерн для відходів див. главу 4.5.
4.4.1 Загальні положення
Перевезення небезпечних речовин у цистернах з армованих волокном пластмас (волокніту) дозволяється тільки при дотриманні наступних умов:
а) речовина віднесена до класів 3, 5.1, 6.1, 6.2, 8 або 9;
b) максимальний тиск пар (абсолютний тиск) речовини при 50 °С не перевищує 110 кПа (1,1 бар);
с) перевезення речовини в металевих цистернах дозволене згідно з пунктом 4.3.2.1.1;
d) розрахунковий тиск, зазначений для цієї речовини в частині 2 коду цистерни, наведеного в стовпчику 12 таблиці А глави 3.2, не перевищує 4 бар (див. також пункт 4.3.4.1.1); і
е) цистерна відповідає положенням глави 6.13, застосовним до перевезення даної речовини.
4.4.2 Експлуатація
4.4.2.1 Застосовуються положення пунктів 4.3.2.1.5–4.3.2.2.4, 4.3.2.3.3–4.3.2.3.6, 4.3.2.4.1, 4.3.2.4.2, 4.3.4.1 і 4.3.4.2.
4.4.2.2 При наповненні температура речовини, що перевозиться, не повинна перевищувати максимальну робочу температуру, зазначену на прикріпленій до цистерни табличці, згаданій в розділі 6.13.6.
4.4.2.3 Застосовуються також спеціальні положення (TU) розділу 4.3.5, зазначені в стовпчику 13 таблиці А глави 3.2, якщо ці спеціальні положення застосовуються до перевезення в металевих цистернах.
ПРИМІТКА: Відносно переносних цистерн і багатоелементних газових контейнерів (БЕГК) «UN» див. главу 4.2; відносно вбудованих цистерн (автоцистерн), знімних цистерн, контейнерів-цистерн і знімних кузовів-цистерн, корпуси яких виготовлені з металевих матеріалів, а також транспортних засобів-батарей і багатоелементних газових контейнерів (БЕГК), крім БЕГК «UN», див. главу 4.3; відносно цистерн із армованих волокном пластмас див. главу 4.4.
4.5.1 Використання
4.5.1.1 Відходи, що складаються із речовин класів 3, 4.1, 5.1, 6.1, 6.2, 8 і 9, можуть перевозитися у вакуумних цистернах для відходів, що відповідають вимогам глави 6.10, якщо згідно з положеннями глави 4.3 дозволяється їх перевезення у вбудованих цистернах, знімних цистернах, контейнерах-цистернах або знімних кузовах-цистернах. Відходи, що складаються із речовин, яким призначений код цистерни L4BH у стовпчику 12 таблиці A глави 3.2 або інший код цистерни, дозволений відповідно до ієрархії, передбаченої в пункті 4.3.4.1.2, можуть перевозитися у вакуумних цистернах для відходів, що мають букву «А» або «В» у частині 3 коду цистерни, зазначеного в пункті 9.5 свідоцтва про допущення транспортного засобу до перевезення, наведеного в підрозділі 9.1.3.5.
4.5.1.2 Речовини, що не є відходами, можуть перевозитися у вакуумних цистернах для відходів за тих самих умов, що й умови, згадані в пункті 4.5.1.1.
4.5.2 Експлуатація
4.5.2.1 До перевезення у вакуумних цистернах для відходів застосовуються положення розділу 4.3 (за винятком пунктів 4.3.2.2.4 і 4.3.2.3.3), які доповнюються положеннями пунктів 4.5.2.2–4.5.2.6 нижче.
4.5.2.2 У випадку перевезення рідин, що відповідають критеріям класу 3 відносно температури спалаху, вакуумні цистерни для відходів наповнюються через наливні пристрої, вихідні отвори яких розташовані усередині цистерни на низькому рівні. Повинні бути вжиті заходи до того, щоб звести до мінімуму утворення бризів.
4.5.2.3 Якщо легкозаймисті рідини, що мають температуру спалаху нижче 23 °С, вивантажуються за допомогою стисненого повітря, максимально припустимий тиск дорівнює 100 кПа (1 бар).
4.5.2.4 Використання цистерн, обладнаних поршневим виштовхувачем, застосовуваним у якості розділової перегородки, допускається лише в тому випадку, якщо речовини, що знаходяться по обидва боки перегородки (виштовхувача), не вступають у небезпечну реакцію одна з одною (див. пункт 4.3.2.3.6).
4.5.2.5 (Зарезервовано)
4.5.2.6 Коли для наповнювання або зливу легкозаймистих рідин використовується вакуумний насос/ексгаустер, здатний стати джерелом загоряння, слід вжити запобіжних заходів з метою уникнення займання речовини або уникнення поширення наслідків займання за межі цистерни.
(Зарезервовано)
ПРИМІТКА 1: Відносно тари див. главу 4.1; відносно переносних цистерн див. главу 4.2; відносно вбудованих цистерн (автоцистерн), знімних цистерн, контейнерів-цистерн і знімних кузовів-цистерн, корпуси яких виготовлені з металевих матеріалів, див. главу 4.3; відносно цистерн із армованих волокном пластмас (волокніту) див. главу 4.4; відносно вакуумних цистерн для відходів див. главу 4.5.
ПРИМІТКА 2: Відносно вимог, що стосуються конструкції, обладнання, офіційного затвердження типу, перевірок і випробувань і маркування, див. глави 6.7, 6.8, 6.9, 6.11, 6.12 та 6.13.
4.7.1 Використання
4.7.1.1 Речовини класів 3, 5.1, 6.1 і 8 можуть перевозитися на MEMU, що відповідають главі 6.12, у переносних цистернах, якщо їх перевезення дозволяється відповідно до глави 4.2; або у вбудованих цистернах, знімних цистернах, контейнерах-цистернах або знімних кузовах-цистернах, якщо їх перевезення дозволяється відповідно до глави 4.3; або в цистернах з армованих волокном пластмас (волокніту), якщо їх перевезення дозволяється відповідно до глави 4.4; або в контейнерах для масових вантажів, якщо їх перевезення дозволяється відповідно до глави 7.3.
4.7.1.2 З дозволу компетентного органу (див. пункт 7.5.5.2.3) вибухові речовини або вироби класу 1 можуть перевозитися в упаковках, поміщених у спеціальні відділення відповідно до розділу 6.12.5, якщо їх тара дозволяється відповідно до глави 4.1 і їх перевезення дозволяється відповідно до глав 7.2 і 7.5.
4.7.2 Експлуатація
4.7.2.1 Відносно експлуатації цистерн відповідно до глави 6.12 застосовуються наступні положення:
a) У випадку цистерн місткістю 1 000 л або більше до перевезення на MEMU застосовуються положення розділу 4.2, глави 4.3, за винятком 4.3.1.4, 4.3.2.3.1, 4.3.3 і 4.3.4, або глави 4.4, і ці положення доповнюються положеннями наведених нижче пунктів 4.7.2.2, 4.7.2.3 і 4.7.2.4.
b) У випадку цистерн місткістю менше 1 000 л до перевезення на MEMU застосовуються положення розділу 4.2, глави 4.3, за винятком 4.3.1.4, 4.3.2.1, 4.3.2.3.1, 4.3.3 і 4.3.4, або глави 4.4, і ці положення доповнюються положеннями наведених нижче пунктів 4.7.2.2, 4.7.2.3 і 4.7.2.4.
4.7.2.2 Товщина стінок корпусу протягом усього періоду його експлуатації повинна бути не менше мінімальної величини, вказаної у відповідних вимогах, що стосуються конструкції.
4.7.2.3 Гнучкі розвантажувальні трубопроводи, або постійно з’єднані, або ні, й завантажувальні лійки під час перевезення не повинні містити змішаних або сенсибілізованих вибухових речовин.
4.7.2.4 Застосовуються також спеціальні положення (TU) розділу 4.3.5, зазначені в стовпчику 13 таблиці А глави 3.2, якщо ці спеціальні положення застосовуються до перевезення в цистернах.
4.7.2.5 Оператори повинні забезпечувати, щоб під час перевезення використовувалися замки, зазначені в розділі 9.8.8.
1 Термін «відносна щільність» (d) вважається синонімом терміна «питома вага» та використовується в усьому тексті цієї глави.
2 Якщо країна походження не є Договірною стороною ДОПНВ, то компетентний орган першої країни, що є Договірною стороною ДОПНВ, за маршрутом перевезення вантажу.
2 Якщо країна походження не є Договірною стороною ДОПНВ, то компетентним органом першої країни, що є Договірною стороною ДОПНВ, за маршрутом перевезення вантажу.
3 Якщо країна походження не є Договірною стороною ДОПНВ, то ця думка має бути підтверджена компетентним органом першої країни, що є Договірною стороною ДОПНВ, за маршрутом перевезення вантажу.
а У випадках, коли вказано слово «Звичайні», застосовуються всі вимоги підрозділу 6.7.2.8, за виключенням пункту 6.7.2.8.3.
b У тих випадках, коли в цьому стовпчику вказано «Не дозволені», наявність донних отворів не дозволяється, якщо речовина, що підлягає перевезенню, є рідиною (див. пункт 6.7.2.6.1). Якщо речовина, що підлягає перевезенню, є твердою речовиною при будь-яких температурах, що виникають в нормальних умовах перевезення, донні отвори, що відповідають вимогам пункту 6.7.2.6.2, допускаються.
а За умови вживання заходів, що забезпечують рівень безпеки, що дорівнює рівню безпеки суміші 65% трет‑бутилу гідропероксиду з 35% води.
b Розчинник типу B — спирт трет-бутиловий.
c Максимальна кількість на переносну цистерну: 2 000 кг.
d Відповідно до вказівки компетентного органу.
e Склад, отриманий в результаті дистиляції надоцтової кислоти з водного розчину надоцтової кислоти в концентрації не більше 41%, при загальній місткості вільного кисню (надоцтова кислота + Н2О2) ≤ 9,5% й що задовольняє критеріям пункту 20.4.3 f) Керівництва з випробувань і критеріїв. Вимагається великий знак додаткової небезпеки «КОРОЗІЙНА РЕЧОВИНА» (зразок № 8, див. пункт 5.2.2.2.2).
d Відповідно до вказівки компетентного органу.
а «Малого об’єму» означає цистерни, діаметр корпусу яких складає не більше 1,5 м; «без теплоізоляції» означає цистерни, діаметр корпусу яких перевищує 1,5 м, без теплоізоляції або сонцезахисного екрана (див. пункт 6.7.3.2.12); «з сонцезахисним екраном» означає цистерни, діаметр корпусу яких перевищує 1,5 м, з сонцезахисним екраном (див. пункт 6.7.3.2.12); «ізотермічна» означає цистерни, діаметр корпусу яких перевищує 1,5 м, з теплоізоляцією (див. пункт 6.7.3.2.12) (визначення розрахункової вихідної температури див. в підрозділі 6.7.3.1).
b Слово «Звичайні» у стовпчику вимог щодо скидання тиску вказує на те, що розривна мембрана, описана в пункті 6.7.3.7.3, не потрібна.
a «Малого об’єму» означає цистерни, діаметр корпусу яких складає не більше 1,5 м; «без теплоізоляції» означає цистерни, діаметр корпусу яких перевищує 1,5 м, без теплоізоляції або сонцезахисного екрана (див. пункт 6.7.3.2.12); «з сонцезахисним екраном» означає цистерни, діаметр корпусу яких перевищує 1,5 м, з сонцезахисним екраном (див. пункт 6.7.3.2.12); «ізотермічна» означає цистерни, діаметр корпусу яких перевищує 1,5 м, з теплоізоляцією (див. пункт 6.7.3.2.12) (визначення розрахункової вихідної температури див. в підрозділі 6.7.3.1).
b Слово «Звичайні» у стовпчику вимог щодо скидання тиску вказує на те, що розривна мембрана, описана в пункті 6.7.3.7.3, не потрібна.
a «Малого об’єму» означає цистерни, діаметр корпусу яких складає не більше 1,5 м; «без теплоізоляції» означає цистерни, діаметр корпусу яких перевищує 1,5 м, без теплоізоляції або сонцезахисного екрана (див. пункт 6.7.3.2.12); «з сонцезахисним екраном» означає цистерни, діаметр корпусу яких перевищує 1,5 м, з сонцезахисним екраном (див. пункт 6.7.3.2.12); «ізотермічна» означає цистерни, діаметр корпусу яких перевищує 1,5 м, з теплоізоляцією (див. пункт 6.7.3.2.12) (визначення розрахункової вихідної температури див. в підрозділі 6.7.3.1).
b Слово «Звичайні» у стовпчику вимог щодо скидання тиску вказує на те, що розривна мембрана, описана в пункті 6.7.3.7.3, не потрібна.
a «Малого об’єму» означає цистерни, діаметр корпусу яких складає не більше 1,5 м; «без теплоізоляції» означає цистерни, діаметр корпусу яких перевищує 1,5 м, без теплоізоляції або сонцезахисного екрана (див. пункт 6.7.3.2.12); «з сонцезахисним екраном» означає цистерни, діаметр корпусу яких перевищує 1,5 м, з сонцезахисним екраном (див. пункт 6.7.3.2.12); «ізотермічна» означає цистерни, діаметр корпусу яких перевищує 1,5 м, з теплоізоляцією (див. пункт 6.7.3.2.12) (визначення розрахункової вихідної температури див. в підрозділі 6.7.3.1).
b Слово «Звичайні» у стовпчику вимог щодо скидання тиску вказує на те, що розривна мембрана, описана в пункті 6.7.3.7.3, не потрібна.
a «Малого об’єму» означає цистерни, діаметр корпусу яких складає не більше 1,5 м; «без теплоізоляції» означає цистерни, діаметр корпусу яких перевищує 1,5 м, без теплоізоляції або сонцезахисного екрана (див. пункт 6.7.3.2.12); «з сонцезахисним екраном» означає цистерни, діаметр корпусу яких перевищує 1,5 м, з сонцезахисним екраном (див. пункт 6.7.3.2.12); «ізотермічна» означає цистерни, діаметр корпусу яких перевищує 1,5 м, з теплоізоляцією (див. пункт 6.7.3.2.12) (визначення розрахункової вихідної температури див. в підрозділі 6.7.3.1).
b Слово «Звичайні» у стовпчику вимог щодо скидання тиску вказує на те, що розривна мембрана, описана в пункті 6.7.3.7.3, не потрібна.
a «Малого об’єму» означає цистерни, діаметр корпусу яких складає не більше 1,5 м; «без теплоізоляції» означає цистерни, діаметр корпусу яких перевищує 1,5 м, без теплоізоляції або сонцезахисного екрана (див. пункт 6.7.3.2.12); «з сонцезахисним екраном» означає цистерни, діаметр корпусу яких перевищує 1,5 м, з сонцезахисним екраном (див. пункт 6.7.3.2.12); «ізотермічна» означає цистерни, діаметр корпусу яких перевищує 1,5 м, з теплоізоляцією (див. пункт 6.7.3.2.12) (визначення розрахункової вихідної температури див. в підрозділі 6.7.3.1).
b Слово «Звичайні» у стовпчику вимог щодо скидання тиску вказує на те, що розривна мембрана, описана в пункті 6.7.3.7.3, не потрібна.
a«Малого об’єму» означає цистерни, діаметр корпусу яких складає не більше 1,5 м; «без теплоізоляції» означає цистерни, діаметр корпусу яких перевищує 1,5 м, без теплоізоляції або сонцезахисного екрана (див. пункт 6.7.3.2.12); «з сонцезахисним екраном» означає цистерни, діаметр корпусу яких перевищує 1,5 м, з сонцезахисним екраном (див. пункт 6.7.3.2.12); «ізотермічна» означає цистерни, діаметр корпусу яких перевищує 1,5 м, з теплоізоляцією (див. пункт 6.7.3.2.12) (визначення розрахункової вихідної температури див. в підрозділі 6.7.3.1).
bСлово «Звичайні» у стовпчику вимог щодо скидання тиску вказує на те, що розривна мембрана, описана в пункті 6.7.3.7.3, не потрібна.
с Для № ООН 3500, 3501, 3502, 3503, 3504 і 3505 замість максимального коефіцієнту наповнення повинен враховуватися ступінь наповнення.
[3] Виняток становлять цистерни, призначені для перевезення речовин класів 1, 5.2 або 7 (див. пункт 4.3.4.1.3).
[4] Може стати необхідною консультація з виробником речовини і компетентним органом з приводу сумісності речовини з матеріалами цистерни, транспортного засобу-батареї або БЕГК.
[5] Приклади захисту корпусів:
– захист від бічних ударів може складатися, наприклад, із поздовжніх балок, що захищають корпус с обох бічних сторін на рівні середньої лінії;
– захист від перекидання може складатися, наприклад, із підсилювальних кілець або балок, закріплених поперек рами;
– захист від удару ззаду може складатися, наприклад, із бампера або рами.
а Дозволяється, якщо ЛК50 становить не менше 200 млн–1.
b Вважається пірофорною речовиною.
a Дозволяється, якщо ЛК50 становить не менше 200 млн.–1.
a Дозволяється, якщо ЛК50 становить не менше 200 млн–1.
[6] Відповідні керівні вказівки викладено в документі Європейської асоціації з промислових газів (ЄАПГ) «Methods to prevent the premature activation of relief devices on tanks», з яким можна ознайомитися на веб-сайті www.eiga.eu.
4 Відповідні керівні вказівки викладено в документі Європейської асоціації з промислових газів (ЄАПГ) «Methods to prevent the premature activation of relief devices on tanks», з яким можна ознайомитися на веб-сайті www.eiga.eu.